Seneste opdatering :
18/03/2026
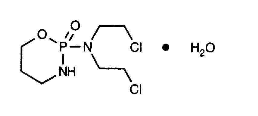
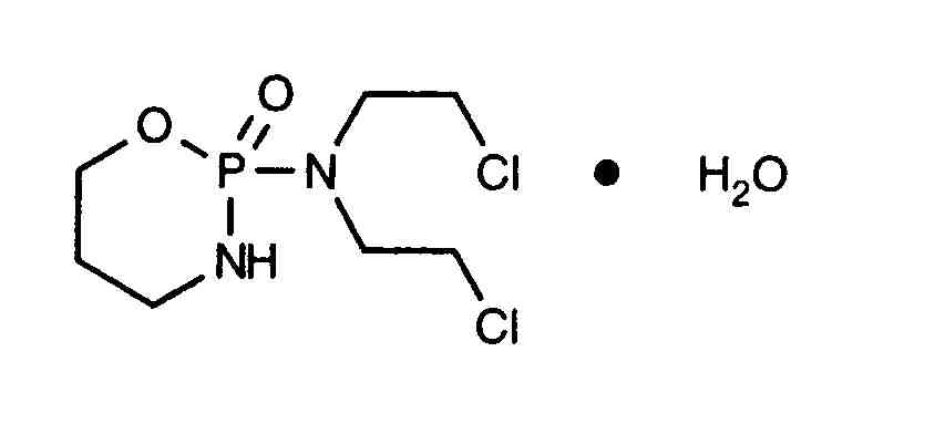
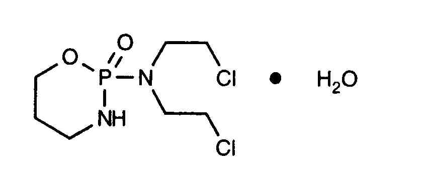
anticancer medicin   Cyclophosphamide  
Kapsel
Injektion Oral opløsning
Stabilitet af farmaceutiske tilberedninger Stabilitet i blandinger Faktorer der påvirker stabiliteten Kompatibilitet Bibliografi pdf
   Kemisk struktur  

Kapsel

Faktorer der påvirker stabiliteten   Kapsel   Faktorer der påvirker stabiliteten : Cyclophosphamide        
Ingen data

  Mentions Légales