Poslední aktualizace :
18/03/2026
rakovina drog   Cyclophosphamide  
kapsle
injekce Perorální roztok
Stabilita farmaceutických přípravků Stabilita směsí Faktory ovlivňující stabilitu Kompatibilita Odkazy pdf
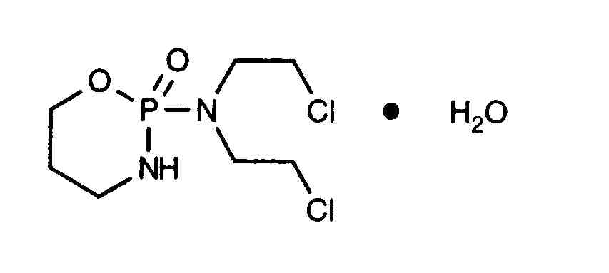
   Chemický vzorec  

kapsle

Faktory ovlivňující stabilitu   kapsle   Faktory ovlivňující stabilitu : Cyclophosphamide        
žádná data

  Mentions Légales