Ostatnia aktualizacja :
05/12/2025
Lek cytostatyk   Cyclophosphamide  
Kapsułka
Injekcje Roztwór doustny
Stabilność preparatów farmaceutycznych Trwałość w mieszaninie Czynnik wpływający na trwałość Zgodność Bibliografia pdf
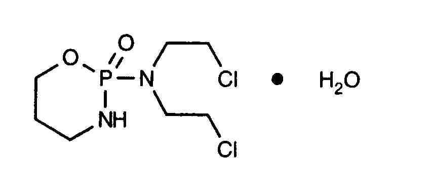
   Struktura chemiczna  

Kapsułka

Czynnik wpływający na trwałość   Kapsułka   Czynnik wpływający na trwałość : Cyclophosphamide        
Brak danych

  Mentions Légales