Последнее обновление :
17/12/2025
Цитостатическое средство   Cyclophosphamide  
Капсула
Инъекция Раствор для перорального приёма
Стабильность фармацевтических препаратов Стабильность смесей Факторы, которые влияют на стабильность Совместимость Библиография pdf
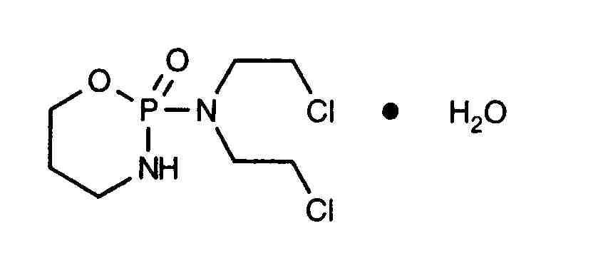
   Химическая структура  

Капсула
Совместимость   Капсула   Совместимость : Cyclophosphamide              
данных нет

  Mentions Légales