最新更新 :
18/03/2026
抗癌藥物   Cyclophosphamide  
胶囊
口服剂 注射液
制剂的稳定性 混合物稳定性 影响稳定性的因素 兼容性 引用文献 PDF
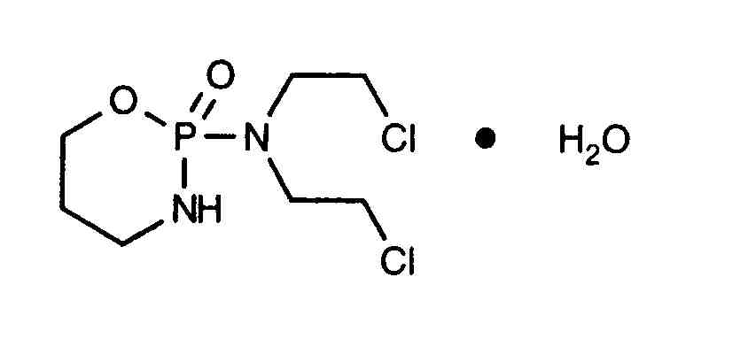
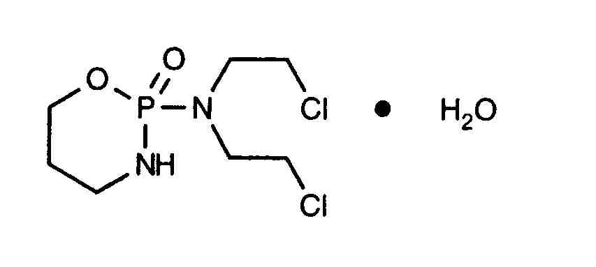
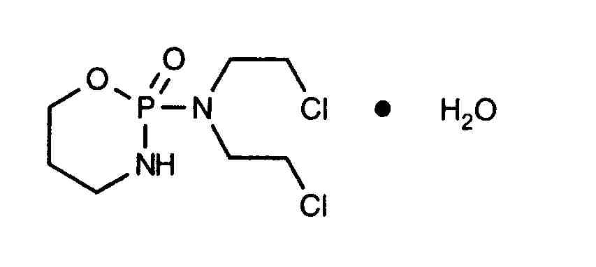
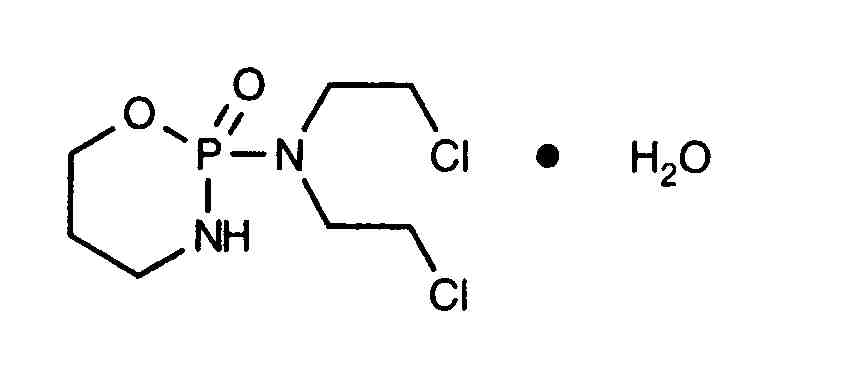
   化学式  

胶囊

影响稳定性的因素   胶囊   影响稳定性的因素 : Cyclophosphamide        
无数据

  Mentions Légales