Laatste update :
18/03/2026
geneesmiddel tegen kanker   Cyclophosphamide  
Capsule
injecteerbaar geneesmiddel Orale Oplossing
Stabiliteit van farmaceutische preparaten Stabiliteit in mengsels Factoren die de stabiliteit beïnvloeden Verenigbaarheden Literatuur pdf
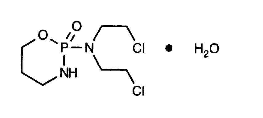
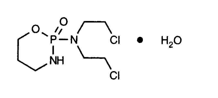
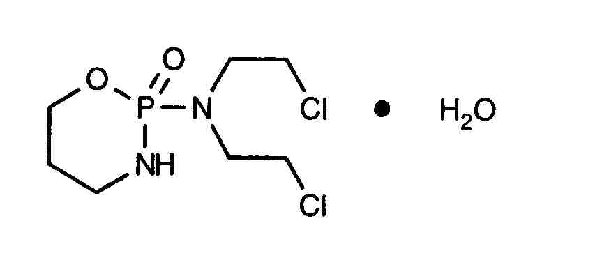
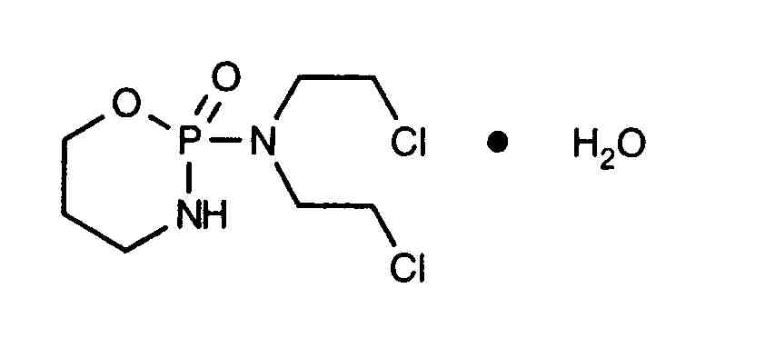
   Molecuulstructuur  

Capsule

Factoren die de stabiliteit beïnvloeden   Capsule   Factoren die de stabiliteit beïnvloeden : Cyclophosphamide        
geen gegevens

  Mentions Légales