Utolsó frissítés :
18/03/2026
rákellenes gyógyszer   Cyclophosphamide  
kapszula
belsőleges oldat Injekció
Stabilitása gyógyszerészeti készítmények A keverékek stabilitása Stabilitást befolyásoló tényezők Kompatibilitás Irodalom pdf
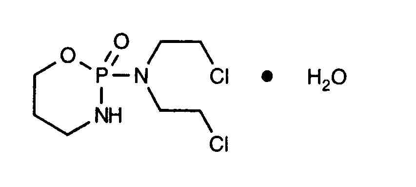
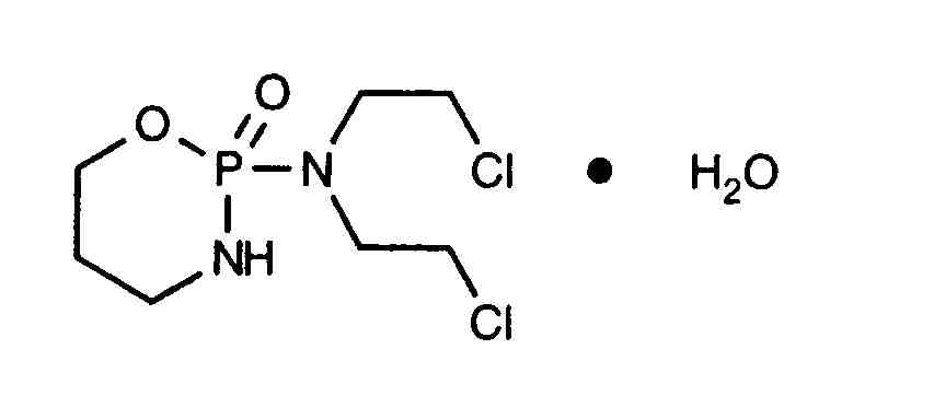
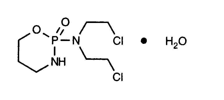
   Kémiai szerkezet   

kapszula

Stabilitást befolyásoló tényezők   kapszula   Stabilitást befolyásoló tényezők : Cyclophosphamide        
Hiányzó adat

  Mentions Légales