Posledná aktualizácia :
18/03/2026
Protinádorová liečba   Cyclophosphamide  
Kapsula
Injekcia Perorálny roztok
Stabilita farmaceutických prípravkov Stabilita v zmesiach Faktory ovplyvňujúce stabilitu Kompatibility Odkazy na literatúru PDF
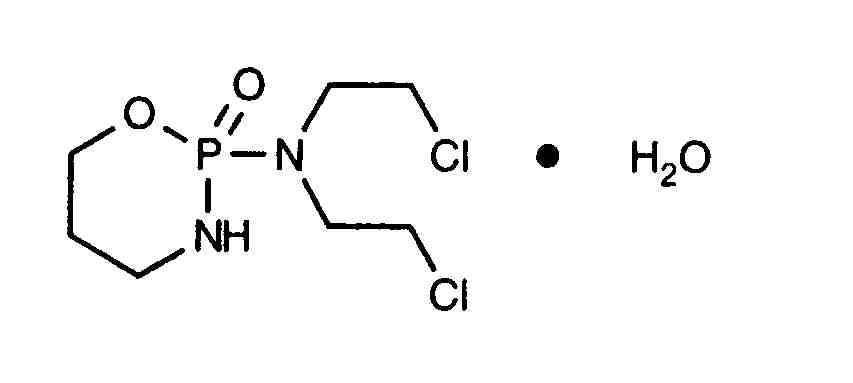
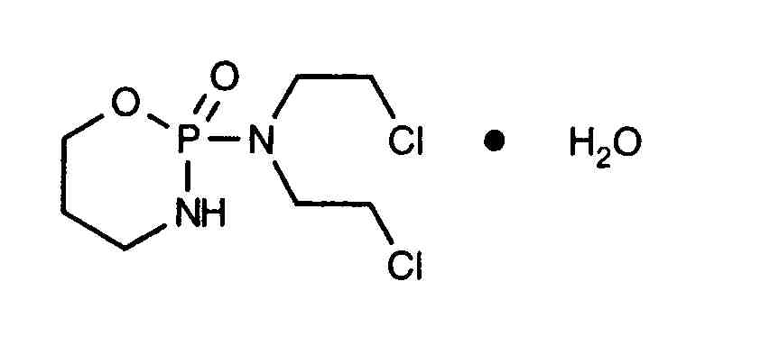
   Chemický vzorec  

Kapsula

Faktory ovplyvňujúce stabilitu   Kapsula   Faktory ovplyvňujúce stabilitu : Cyclophosphamide        
žiadne údaje

  Mentions Légales