آخر تحديث :
18/03/2026
المضادة للسرطان المخدرات   Cyclophosphamide  
كبسولة
حقن عن طريق الفم
استقرار المستحضرات الصيدلانية استقرار مخاليط العوامل التي تؤثر على الاستقرار التوافق مراجع pdf
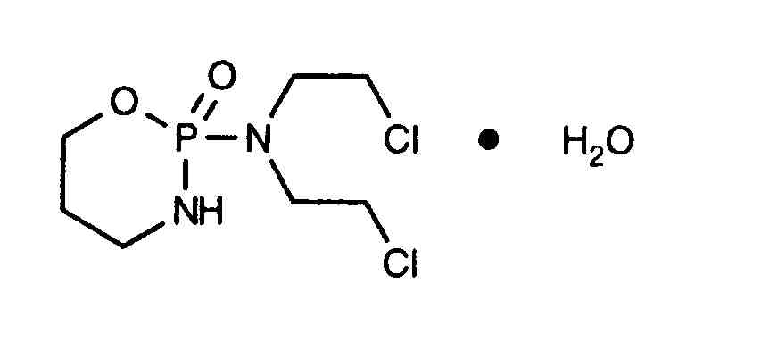
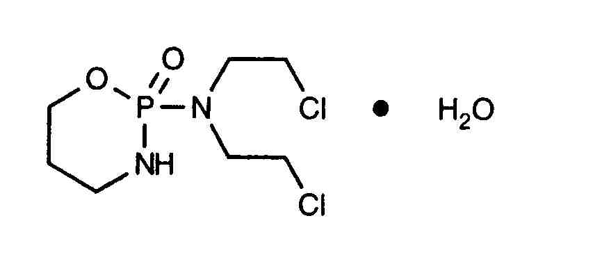
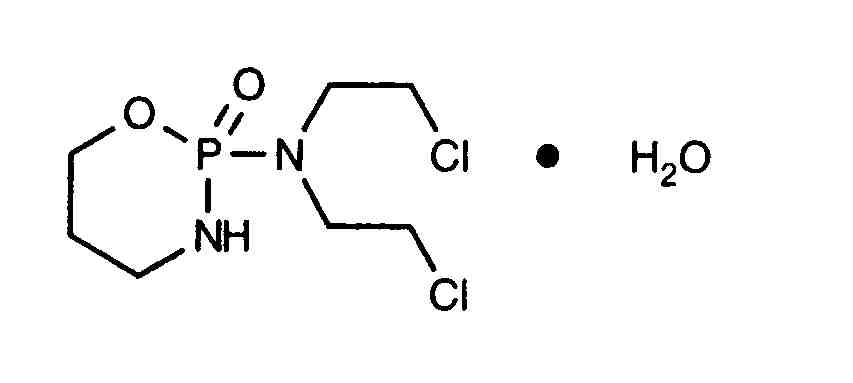
   التركيب الكيميائي  

كبسولة

العوامل التي تؤثر على الاستقرار   كبسولة   العوامل التي تؤثر على الاستقرار : Cyclophosphamide        
لا توجد بيانات

  Mentions Légales