Última actualização :
18/03/2026
droga contra o câncer   Cyclophosphamide  
Cápsula
injetável Solução Oral
Estabilidade de preparações farmacêuticas Estabilidade em misturas Factores que afectam a sua estabilidade Compatibilidade Bibliografía pdf
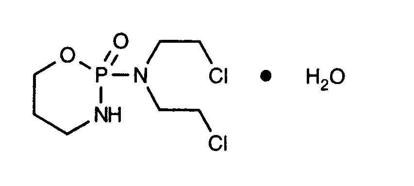
   estrutura química  

Cápsula

Factores que afectam a sua estabilidade   Cápsula   Factores que afectam a sua estabilidade : Cyclophosphamide        
Ausência de dados

  Mentions Légales