Последнее обновление :
27/11/2025
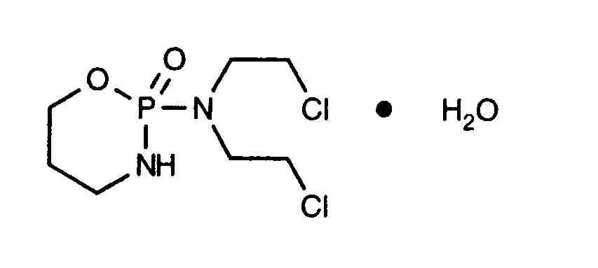
Цитостатическое средство   Cyclophosphamide  
Капсула
Инъекция Раствор для перорального приёма
Стабильность фармацевтических препаратов Стабильность смесей Факторы, которые влияют на стабильность Совместимость Библиография pdf
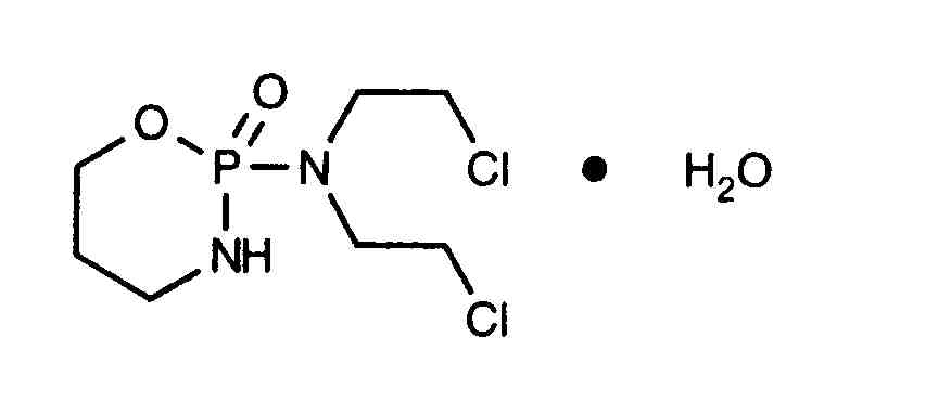
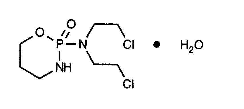
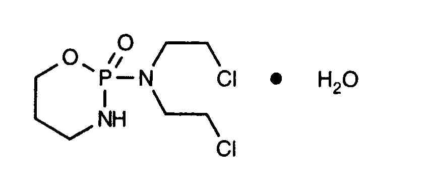
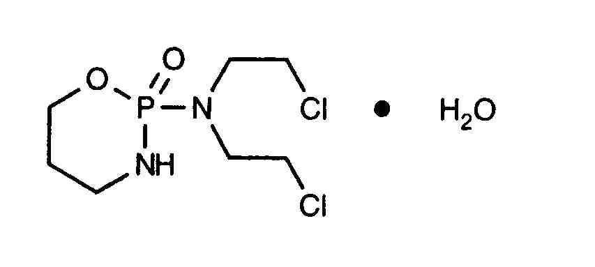
   Химическая структура  

Капсула
Стабильность смесей   Капсула   Стабильность смесей : Cyclophosphamide     
данных нет

  Mentions Légales