Siste oppdatering :
18/03/2026
Infostab
Lister
Sammendrag
Søk etter kompatibilitet
Y-side kompatibilitetstabell
Referanser
Forskerteamet
valistab
plakat
Tilkoblinger
sponsorer
Forfatter
Instruksjon
Nyhetsbrev
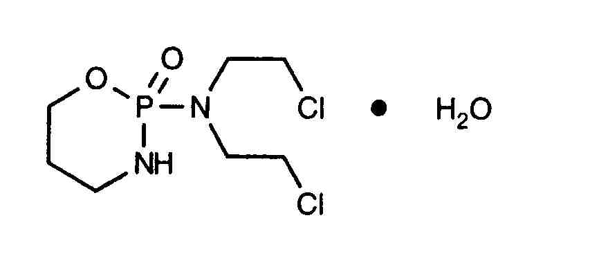
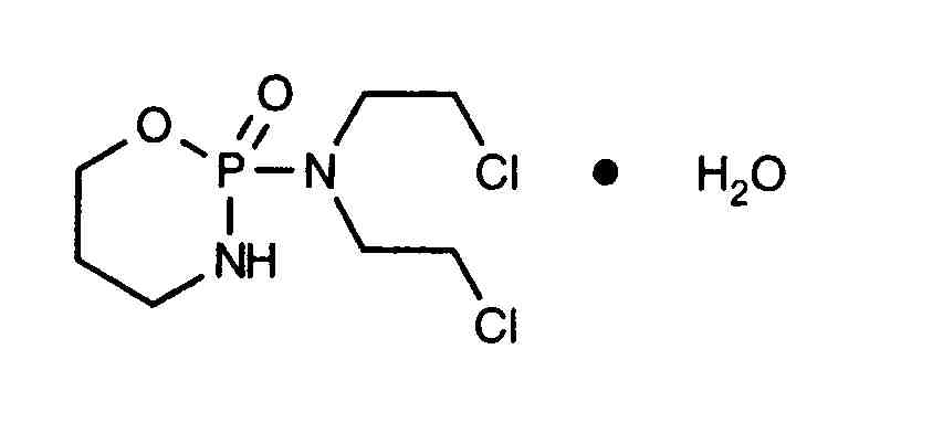
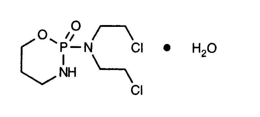
Cyclophosphamide
Kjemisk struktur
Faktorer som påvirker stabiliteten : Cyclophosphamide
Ingen opplysninger
Mentions Légales