Last update :
18/03/2026
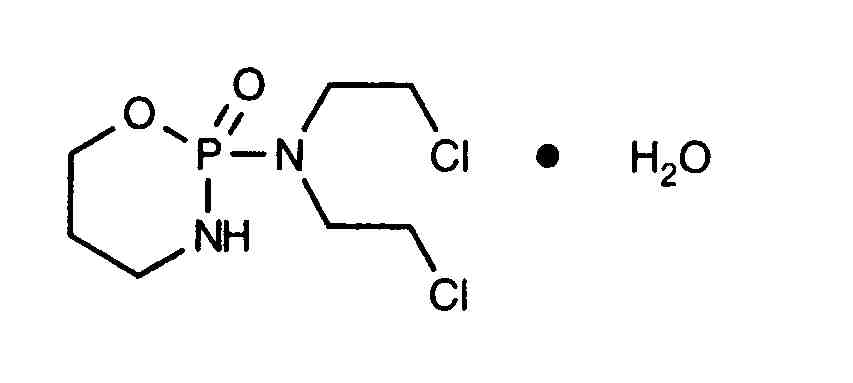
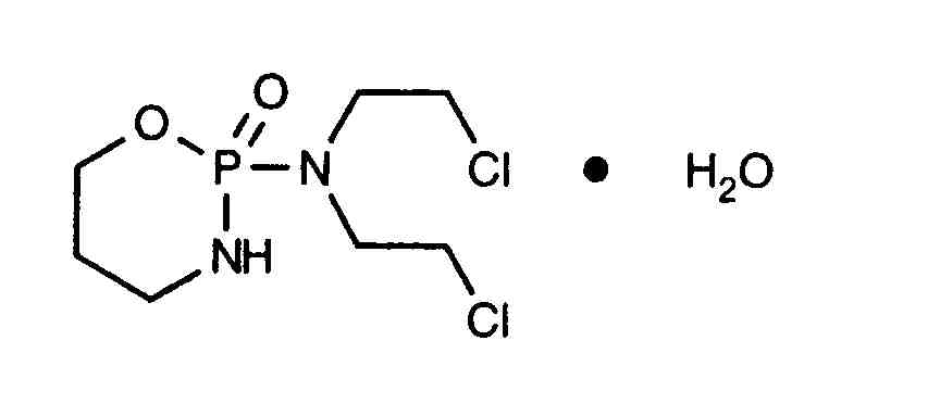
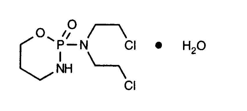
Anticancer drug   Cyclophosphamide  
Capsule
injection Oral solution
Stability of pharmaceutical preparations Stability of mixtures Factors which affect stability Compatibility References pdf
   Chemical structure  

Capsule

Factors which affect stability   Capsule   Factors which affect stability : Cyclophosphamide        
No data

  Mentions Légales