viimane versioon :
18/03/2026
vähiravimite   Cyclophosphamide  
kapsel
Süsteravim suukaudne lahus
Stabiilsust ravimpreparaadid Stabiilsust mõjutavad tegurid stabiilsust mõjutavad faktorid Sobimatus Viited pdf
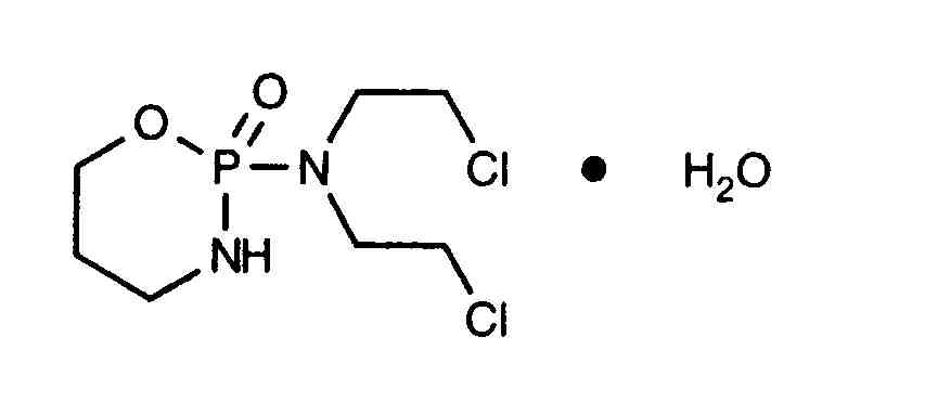
   keemiline struktuur  

kapsel

stabiilsust mõjutavad faktorid   kapsel   stabiilsust mõjutavad faktorid : Cyclophosphamide        
andmed puuduvad

  Mentions Légales