Viimeisin päivitys :
18/03/2026
syöpälääke   Cyclophosphamide  
Kapseli
Injektioneste Oraaliliuos
Vakaus lääkevalmisteen Stabilius seoksissa Tekijät, jotka vaikuttavat stabiliuteen Yhteensopivuus Viitteet pdf
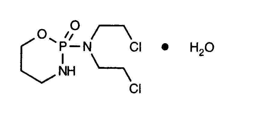
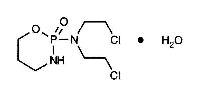
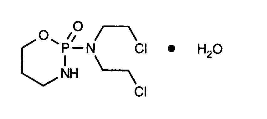
   Kemiallinen rakenne  

Kapseli

Tekijät, jotka vaikuttavat stabiliuteen   Kapseli   Tekijät, jotka vaikuttavat stabiliuteen : Cyclophosphamide        
ei tietoa

  Mentions Légales