Dernière mise à jour :
17/12/2025
Antifongique   Amphotericin B  
injectable
Aérosol Collyre Gargarisme Solution buvable
Stabilité des solutions Stabilité en mélange Facteur influençant la stabilité Compatibilités Voie d’administration Bibliographie pdf
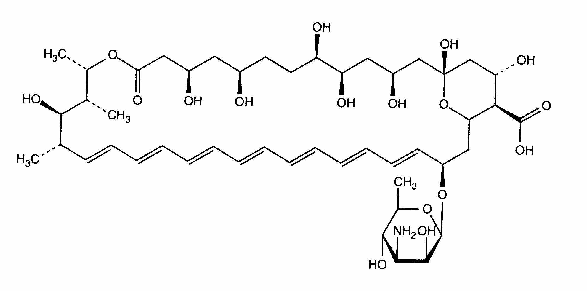
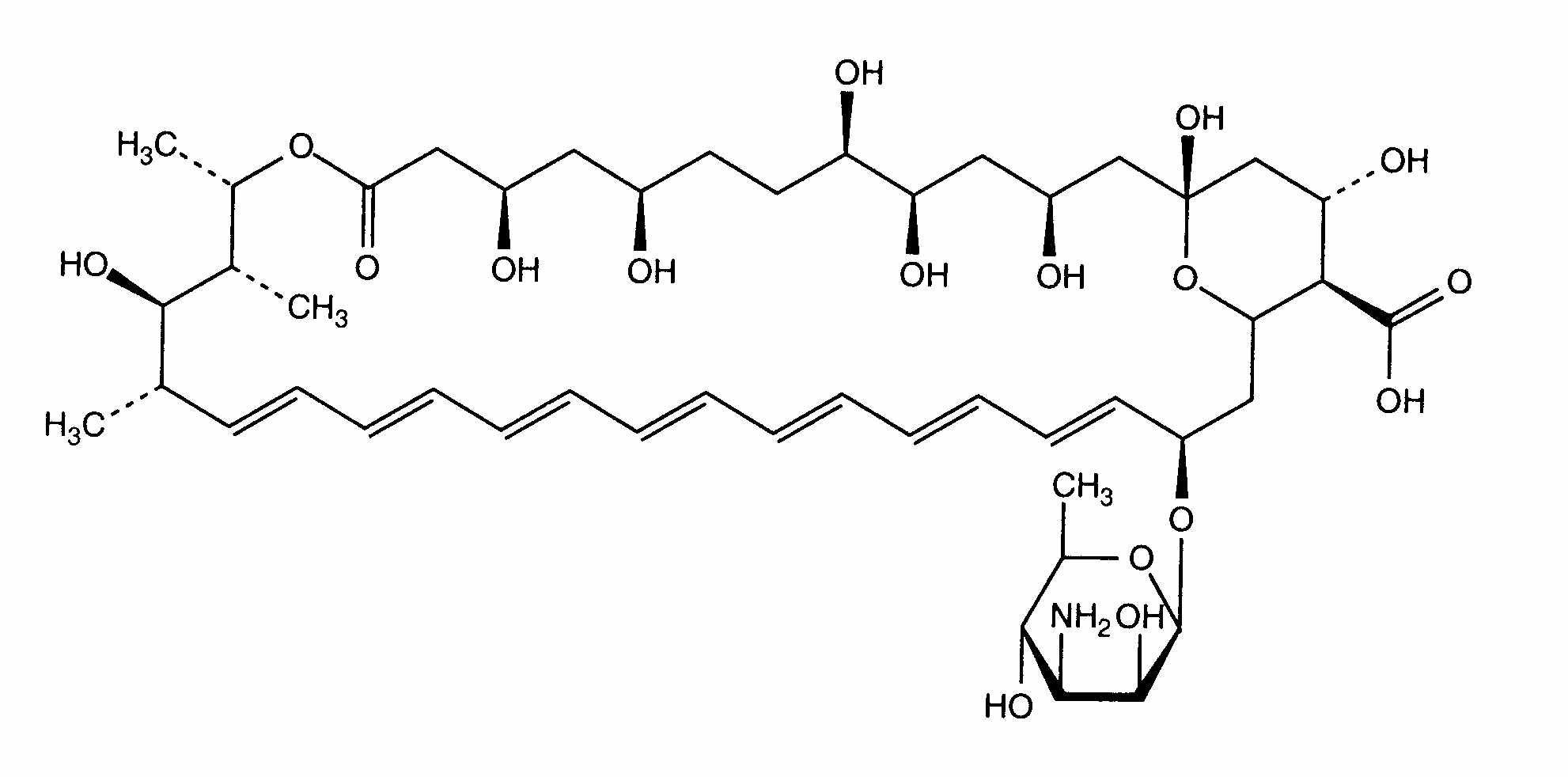
   Structure chimique  

Noms commerciaux   Noms commerciaux     

Les noms commerciaux sont donnés à titre indicatif et la composition en excipients peut être différente selon les pays et selon les laboratoires

Fungizone Allemagne, Canada, Colombie, Danemark, Etats Unis d’Amérique, Finlande, France, Grande Bretagne, Grèce, Hongrie, Inde, Iran, Irlande, Italie, Malaisie, Maroc, Nouvelle Zélande, Pays bas, Portugal, Suède, Suisse, Tunisie, Turquie, Vénézuela
Compatibilités   injectable   Compatibilités : Amphotericin B              
Cet écran indique les compatibilités ou incompatibilités avec, dans ce cas, le type d'incompatibilité (précipitation, changement de couleur, modification d'une émulsion, etc.). Les compatibilités présentées ici sont pour la plupart uniquement physiques, la stabilité chimique de chaque molécule étant rarement évaluée. L'évaluation de ces mélanges a été étudiée pour envisager la possibilité d'une administration en site Y au patient. Ces données ne peuvent pas être utilisées pour préparer des mélanges à l'avance dans des poches de perfusion ou des seringues. Ce type d'informations est disponible dans l'écran « Stabilité en mélange ».
Molécule Solvant Bibliographie
Compatible
injectable Amphotericin B 1.6 mg/ml
injectable Aldesleukin 0.0338 MUI/ml
Glucose 5% 36
Précipitation immédiate Incompatible
injectable Amphotericin B 0.6 mg/ml
injectable Aztreonam 40 mg/ml
Glucose 5% 99
Incompatibilité non précisée Incompatible
injectable Amphotericin B
Ringer lactate 3968
Perte de turbidité Incompatible
injectable Amphotericin B 0.6 mg/ml
injectable Allopurinol sodium 3 mg/ml
Chlorure de sodium 0,9% 307
Turbidité immédiate Incompatible
injectable Amphotericin B 0.6 mg/ml
injectable Amifostine 10 mg/ml
Glucose 5% 3
Incompatibilité non précisée Incompatible
injectable Amphotericin B
injectable Amikacin sulfate
3549
Compatible
injectable Amphotericin B 0,5 mg/ml
injectable Amiodarone hydrochloride 6 mg/ml
Glucose 5% 1611
Turbidité immédiate Incompatible
injectable Amphotericin B 0,6 mg/ml
injectable Anidulafungin 0,5 mg/ml
Glucose 5% 1982
Précipitation immédiate Incompatible
injectable Amphotericin B
injectable Bivalirudin
3539
Précipitation immédiate Incompatible
injectable Amphotericin B 0.6 mg/ml
injectable Bivalirudin 5 mg/ml
Glucose 5% 1713
Compatible
injectable Amphotericin B 0.1 mg/ml
injectable Caffeine 10 mg/ml
Glucose 5% 4837
Compatible
injectable Amphotericin B 0,1 mg/ml
injectable Caffeine citrate 20 mg/ml
Glucose 5% 4837
Compatible
injectable Amphotericin B
Glucose 5% 3591
Perte de turbidité Incompatible
injectable Amphotericin B 0.6 mg/ml
injectable Allopurinol sodium 3 mg/ml
Glucose 5% 307
Précipitation immédiate Incompatible
injectable Amphotericin B 0.6 mg/ml
injectable Amsacrine 1 mg/ml
Glucose 5% 253
Incompatible
injectable Amphotericin B 0.1 mg/ml
Ringer lactate 1172
Incompatibilité non précisée Incompatible
injectable Amphotericin B
injectable Calcium gluconate
3644
Précipitation en 1 heure Incompatible
injectable Amphotericin B
injectable Cefotaxime sodium
Chlorure de sodium 0,9% 3871
Turbidité immédiate Incompatible
injectable Amphotericin B 0,6 mg/ml
injectable Ceftaroline fosamil 2,22 mg/ml
Ringer lactate 3249
Précipitation immédiate Incompatible
injectable Amphotericin B
NaCl 0,9% + bactériosatique 3591
Précipitation immédiate Incompatible
injectable Amphotericin B 0.6 mg/ml
Nutrition parentérale (mélange binaire) 301
Précipitation immédiate Incompatible
injectable Amphotericin B 1 mg/ml
injectable Cefiderocol sulfate tosylate 20 mg/mL
Chlorure de sodium 0,9% 4528
Instabilité chimique Incompatible
injectable Amphotericin B 0.1 mg/ml
injectable Cefpirome sulfate 50 mg/ml
Chlorure de sodium 0,9% 280
Turbidité immédiate Incompatible
injectable Amphotericin B 0,6 mg/ml
injectable Ceftaroline fosamil 2,22 mg/ml
Chlorure de sodium 0,9% 3249
Précipitation immédiate Incompatible
injectable Amphotericin B 0.6 mg/ml
injectable Ceftobiprole medocaril sodium 2 mg/ml
Chlorure de sodium 0,9% 2269
Précipitation immédiate Incompatible
injectable Amphotericin B 0.6 mg/ml
Nutrition parentérale (mélange ternaire) 1415
Turbidité immédiate Incompatible
injectable Amphotericin B 0.1 mg/ml
injectable Cimetidine hydrochloride 0.6 mg/ml
Glucose 5% 1201
Précipitation immédiate Incompatible
injectable Amphotericin B 0,6 & 1,2 mg/ml
Nutrition parentérale (mélange ternaire) 2043
Instabilité de l'émulsion immédiate Incompatible
injectable Amphotericin B 0.01 >> 5 mg/ml
Nutrition parentérale (mélange ternaire) 1498
Turbidité immédiate Incompatible
injectable Amphotericin B 0.1 mg/ml
injectable Ceftolozane / tazobactam 10/5 mg/ml
Glucose 5% 3828
Précipitation immédiate Incompatible
injectable Amphotericin B 1.35 mg/ml
Nutrition parentérale (mélange ternaire) 793
Précipitation immédiate Incompatible
injectable Amphotericin B 0.6 mg/ml
injectable Ceftobiprole medocaril sodium 2 mg/ml
Ringer lactate 2269
Instabilité chimique Incompatible
injectable Amphotericin B 0.09 mg/ml
Nutrition parentérale (mélange ternaire) 984
Incompatibilité non précisée Incompatible
injectable Amphotericin B
injectable Calcium gluconate
4964
Précipitation immédiate Incompatible
injectable Amphotericin B 0,6 mg/ml
injectable Caspofungin acetate 0,7 mg/ml
Chlorure de sodium 0,9% 2247
Turbidité immédiate Incompatible
injectable Amphotericin B 0,6 mg/ml
injectable Ceftaroline fosamil 2,22 mg/ml
Glucose 5% 3249
Compatible
injectable Amphotericin B
injectable Ceftazidime
3883
Incompatibilité non précisée Incompatible
injectable Amphotericin B
injectable Ceftobiprole medocaril sodium
4650
Précipitation immédiate Incompatible
injectable Amphotericin B
Nutrition parentérale (mélange ternaire) 270
Précipitation immédiate Incompatible
injectable Amphotericin B 0.6 mg/ml
injectable Ceftobiprole medocaril sodium 2 mg/ml
Glucose 5% 2269
Instabilité de l'émulsion immédiate Incompatible
injectable Amphotericin B 0.6 mg/ml
Nutrition parentérale (mélange ternaire) 265
Précipitation immédiate Incompatible
injectable Amphotericin B 1 mg/ml
injectable Cefiderocol sulfate tosylate 20 mg/mL
Glucose 5% 4528
Instabilité chimique Incompatible
injectable Amphotericin B 0.1 mg/ml
injectable Cefpirome sulfate 50 mg/ml
Chlorure de sodium 0,45% 280
Instabilité chimique Incompatible
injectable Amphotericin B 0.1 mg/ml
injectable Cefpirome sulfate 50 mg/ml
Ringer lactate 280
Instabilité chimique Incompatible
injectable Amphotericin B 0.1 mg/ml
injectable Cefpirome sulfate 50 mg/ml
Glucose 5% 280
Précipitation immédiate Incompatible
injectable Amphotericin B 0.1 mg/ml
injectable Ciprofloxacin lactate 2 mg/ml
Glucose 5% 285
Précipitation immédiate Incompatible
injectable Amphotericin B
Chlorure de sodium 0,9% 3591
Compatible
injectable Amphotericin B 0.6 mg/ml
injectable Cisatracurium besylate 0.1 mg/ml
Glucose 5% 299
Précipitation immédiate Incompatible
injectable Amphotericin B 0.6 mg/ml
injectable Cisatracurium besylate 2 & 5 mg/ml
Glucose 5% 299
Précipitation immédiate Incompatible
injectable Amphotericin B 0.6 mg/ml
injectable Dexmedetomidine 4 µg/ml
Glucose 5% 1712
Compatible
injectable Amphotericin B 0.1 mg/ml
injectable Diltiazem hydrochloride 1 mg/ml
Chlorure de sodium 0,9% 198
Turbidité immédiate Incompatible
injectable Amphotericin B 0.6 mg/ml
injectable Docetaxel 0.9 mg/ml
Glucose 5% 1754
Précipitation immédiate Incompatible
injectable Amphotericin B
injectable Dopamine hydrochloride
Glucose 5% 3638
Compatible
injectable Amphotericin B 0,6 mg/ml
injectable Doripenem 5 mg/ml
Glucose 5% 2262
Précipitation immédiate Incompatible
injectable Amphotericin B 0.6 mg/ml
injectable Doxorubicin hydrochloride liposome peg 0.4 mg/ml
Glucose 5% 251
Précipitation immédiate Incompatible
injectable Amphotericin B 0.6 mg/ml
injectable Etoposide phosphate 5 mg/ml
Glucose 5% 1410
Incompatible
injectable Amphotericin B 0.1 mg/ml
Chlorure de sodium 0,9% 1172
Précipitation immédiate Incompatible
injectable Amphotericin B 0.6 mg/ml
injectable Doripenem 5 mg/ml
Chlorure de sodium 0,9% 2262
Turbidité en 4 heures Incompatible
injectable Amphotericin B 0.1 mg/ml
injectable Enalaprilate 1.25 mg/ml
Glucose 5% 201
Turbidité en 2 heures Incompatible
injectable Amphotericin B 0.1 mg/ml
injectable Enalaprilate 0.0125 mg/ml
Glucose 5% 1703
Compatible
injectable Amphotericin B 0.6 mg/ml
injectable Famotidine 2 mg/ml
Chlorure de sodium 0,9% 215
Précipitation immédiate Incompatible
injectable Amphotericin B 0.6 mg/ml
injectable Fenoldopam mesylate 80 µg/ml
Chlorure de sodium 0,9% 1803
Précipitation immédiate Incompatible
injectable Amphotericin B 0.6 mg/ml
injectable Filgrastim 30 µg/ml
Glucose 5% 244
Turbidité en 1 heure Incompatible
injectable Amphotericin B 5 mg/ml
injectable Fluconazole 2 mg/ml
Chlorure de sodium 0,9% 496
Compatible
injectable Amphotericin B 0.1 mg/ml
injectable Fluconazole 2 mg/ml
Aucun 256
Précipitation en 4 heures Incompatible
injectable Amphotericin B 0.6 mg/ml
injectable Fludarabine phosphate 1 mg/ml
Glucose 5% 492
Incompatibilité non précisée Incompatible
injectable Amphotericin B
injectable Foscarnet sodium
3662
Turbidité immédiate Incompatible
injectable Amphotericin B 0.6 mg/ml
injectable Foscarnet sodium 24 mg/ml
Glucose 5% 1135
Précipitation immédiate Incompatible
injectable Amphotericin B 5 mg/ml
injectable Foscarnet sodium 24 mg/ml
Aucun 73
Turbidité immédiate Incompatible
injectable Amphotericin B 0.1 mg/ml
injectable Fosfomycin 30 mg/ml
Glucose 5% 4055
Précipitation immédiate Incompatible
injectable Amphotericin B 0.6 mg/ml
injectable Gemcitabine hydrochloride 10 mg/ml
Chlorure de sodium 0,9% 1423
Turbidité immédiate Incompatible
injectable Amphotericin B 0.6 mg/ml
injectable Granisetron hydrochloride 0.05 mg/ml
Glucose 5% 182
Précipitation immédiate Incompatible
injectable Amphotericin B 0.6 mg/ml
injectable Hetastarch 60 mg/ml
Solvant spécifique 1721
Turbidité immédiate Incompatible
injectable Amphotericin B 0.1 mg/ml
injectable Isavuconazonium sulfate 1.5 mg/ml
Glucose 5% 3829
Précipitation immédiate Incompatible
injectable Amphotericin B 0.6 mg/ml
injectable Lansoprazole 0.55 mg/ml
Chlorure de sodium 0,9% 1625
Incompatibilité non précisée Incompatible
injectable Amphotericin B
injectable Lidocaine hydrochloride
5060
Précipitation immédiate Incompatible
injectable Amphotericin B 0.6 mg/ml
injectable Linezolid 2 mg/ml
Aucun 1925
Incompatibilité non précisée Incompatible
injectable Amphotericin B
injectable Linezolid
3560
Précipitation en 2 heures Incompatible
injectable Amphotericin B 0,04 & 0,08 mg/ml
injectable Magnesium sulfate 2 & 4 mg/ml
Glucose 5% 682
Turbidité immédiate Incompatible
injectable Amphotericin B 0.6 mg/ml
injectable Melphalan 0.1 mg/ml
Chlorure de sodium 0,9% 169
Instabilité chimique Incompatible
injectable Amphotericin B 0.6 mg/ml
injectable Melphalan 0.1 mg/ml
Glucose 5% 169
Compatible
injectable Amphotericin B 5 mg/ml
injectable Meropenem 1 & 50 mg/ml
Chlorure de sodium 0,9% 266
Compatible
injectable Amphotericin B 0.2 mg/ml
injectable Meropenem 1 & 20 mg/ml
Chlorure de sodium 0,9% 266
Incompatibilité non précisée Incompatible
injectable Amphotericin B
injectable Metaraminol
5046
Incompatibilité non précisée Incompatible
injectable Amphotericin B
injectable N-acetylcysteine 200 mg/ml
Aucun 3766
Précipitation immédiate Incompatible
injectable Amphotericin B 0,5 mg/ml
injectable Nalbuphine hydrochloride 0,05 >>0,33 mg/ml
Chlorure de sodium 0,9% 5097
Précipitation immédiate Incompatible
injectable Amphotericin B 0,5 mg/ml
injectable Nalbuphine hydrochloride 0,05 >> 0,33 mg/ml
Glucose 5% 4867
Incompatibilité non précisée Incompatible
injectable Amphotericin B 4 mg/ml
injectable Naloxone hydrochloride 0.4 mg/ml
Aucun 3408
Turbidité immédiate Incompatible
injectable Amphotericin B 0.6 mg/ml
injectable Ondansetron hydrochloride 1 mg/ml
Glucose 5% 334
Turbidité immédiate Incompatible
injectable Amphotericin B 0.1 mg/ml
injectable Oritavancin 0.8>>2 mg/ml
Glucose 5% 3152
Turbidité immédiate Incompatible
injectable Amphotericin B 0.6 mg/ml
injectable Paclitaxel 1.2 mg/ml
Glucose 5% 248
Turbidité en 1 heure Incompatible
injectable Amphotericin B
injectable Pantoprazole sodium
2090
Précipitation immédiate Incompatible
injectable Amphotericin B 0.6 mg/ml
injectable Pemetrexed disodium 20 mg/ml
Chlorure de sodium 0,9% 1953
Incompatibilité non précisée Incompatible
injectable Amphotericin B
injectable Penicillin G sodium
3585
Compatible
injectable Amphotericin B 0,1 mg/ml
injectable Pentoxifyllin 5 mg/ml
Glucose 5% 4543
Compatible
injectable Amphotericin B 1 mg/ml
injectable Phloroglucinol 2,5 mg/ml
3791
Précipitation immédiate Incompatible
injectable Amphotericin B 0.6 mg/ml
injectable Piperacillin sodium / tazobactam 40/5 mg/ml
Glucose 5% 81
Turbidité immédiate Incompatible
injectable Amphotericin B 0,1 mg/ml
injectable Plazomicin sulfate 24 mg/ml
Chlorure de sodium 0,9% 4145
Précipitation immédiate Incompatible
injectable Amphotericin B 0.6 mg/ml
injectable Propofol 10 mg/ml
Aucun 300
Compatible
injectable Amphotericin B 0.6 mg/ml
injectable Remifentanil hydrochloride 25 µg/ml
Glucose 5% 59
Précipitation immédiate Incompatible
injectable Amphotericin B 0.6 mg/ml
injectable Remifentanil hydrochloride 250 µg/ml
Glucose 5% 59
Incompatibilité non précisée Incompatible
injectable Amphotericin B
injectable Rocuronium bromide
3564
Turbidité immédiate Incompatible
injectable Amphotericin B 50 mg/ml
injectable Salbutamol sulfate 1 mg/ml
Aucun 3216
Compatible
injectable Amphotericin B 0.6 mg/ml
injectable Sargramostim 10 µg/ml
Glucose 5% 335
Précipitation immédiate Incompatible
injectable Amphotericin B 0.6 mg/ml
injectable Sargramostim 10 µg/ml
Chlorure de sodium 0,9% 335
Précipitation immédiate Incompatible
injectable Amphotericin B 0,1 mg/ml
injectable Sildenafil citrate 0,6 mg/ml
Glucose 5% 4845
Instabilité chimique Incompatible
injectable Amphotericin B 0.1 mg/ml
injectable Sildenafil citrate 0,6 mg/ml
Glucose 5% 4845
Compatible
injectable Amphotericin B 5 mg/ml
injectable Tacrolimus 1000 µg/ml
Eau pour préparation injectable 479
Turbidité immédiate Incompatible
injectable Amphotericin B 0,1 mg/ml
injectable Telavancin hydrochloride 7,5 mg/ml
Glucose 5% 3254
Compatible
injectable Amphotericin B 0.6 mg/ml
injectable Teniposide 0.1 mg/ml
Glucose 5% 905
Précipitation immédiate Incompatible
injectable Amphotericin B
injectable Thiopental sodium 25 mg/ml
Chlorure de sodium 0,9% 3767
Compatible
injectable Amphotericin B 0.6 mg/ml
injectable Thiotepa 1 mg/ml
Glucose 5% 249
Incompatibilité non précisée Incompatible
injectable Amphotericin B
injectable Tigecycline
3332
Précipitation en 8 heures Incompatible
injectable Amphotericin B 0.1 mg/ml
injectable Verapamil hydrochloride 0.08 mg/ml
Glucose 5% 1057
Précipitation immédiate Incompatible
injectable Amphotericin B 0.1 mg/ml
injectable Verapamil hydrochloride 0.08 mg/ml
Chlorure de sodium 0,9% 1057
Précipitation immédiate Incompatible
injectable Amphotericin B 0.6 mg/ml
injectable Vinorelbine tartrate 1 mg/ml
Glucose 5% 84
Compatible
injectable Amphotericin B 0.6 mg/ml
injectable Zidovudine 4 mg/ml
Glucose 5% 337
Précipitation immédiate Incompatible
injectable Amphotericin B ? mg/ml
Chlorure de sodium 0,9% 892
Précipitation immédiate Incompatible
injectable Amphotericin B 0.6 mg/ml
injectable Vinorelbine tartrate 1 mg/ml
Chlorure de sodium 0,9% 84

  Mentions Légales