Seneste opdatering :
18/03/2026
Antisvampe   Amphotericin B  
Injektion
Aerosol Mundskyllevæske Oral opløsning Øjendråber
Stabilitet i (vandige) opløsninger Stabilitet i blandinger Faktorer der påvirker stabiliteten Kompatibilitet Administrationsvej Bibliografi pdf
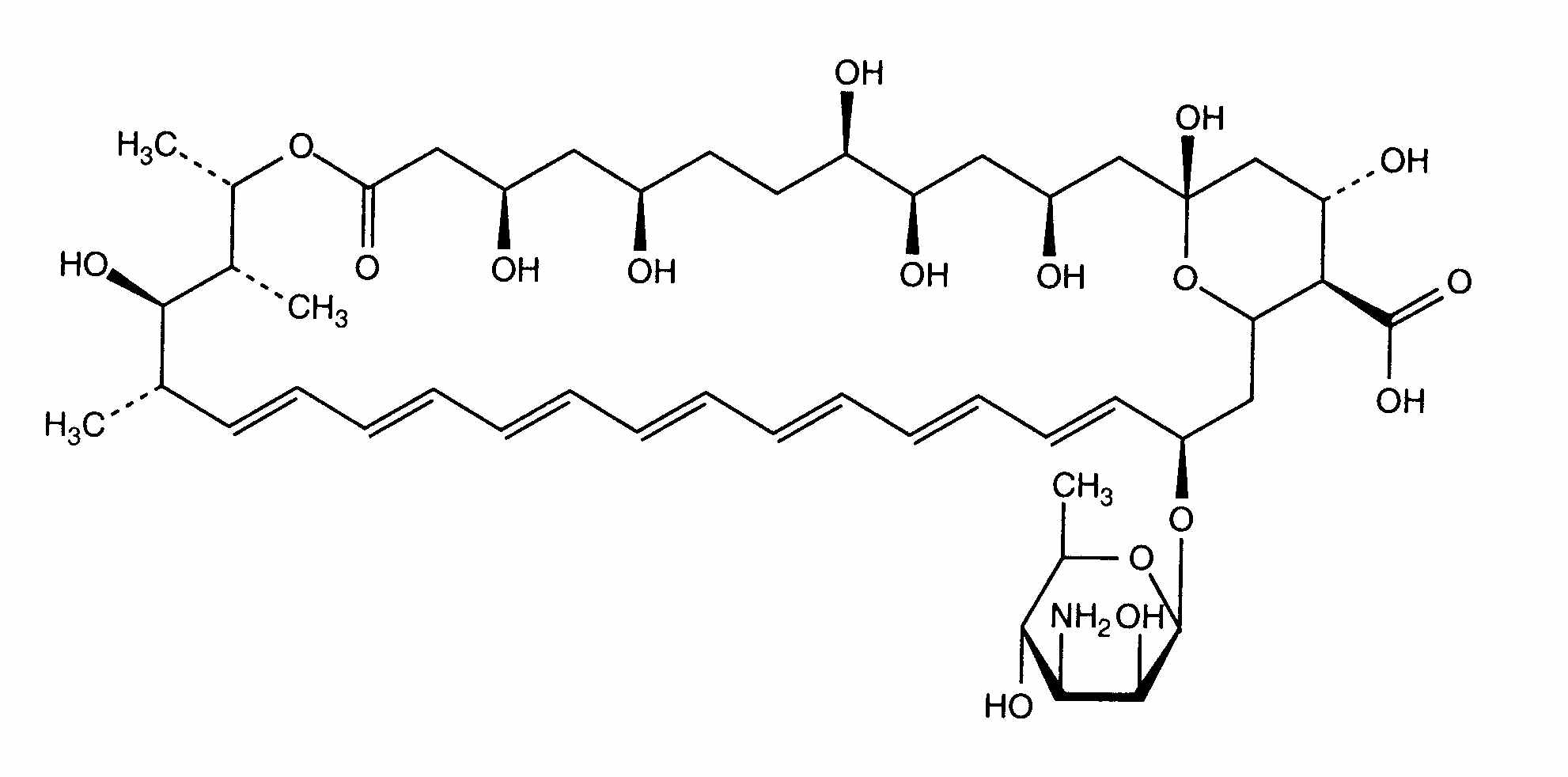
   Kemisk struktur  

Handelsnavn   Handelsnavn     

Handel navne er vejledende og hjælpestoffer sammensætning kan være forskellig afhængigt af landet og laboratorier

Fungizone Canada, Colombia, Danmark, Finland, Frankrig, Grækenland, Holland, Indien, Iran, Irland, Italien, Malaysia, Marokko, New Zealand, Portugal, Schweiz, Storbritanien, Sverige, Tunesien, Tyrkiet, Tyskland, Ungarn, USA, Venezuela
Kompatibilitet   Injektion   Kompatibilitet : Amphotericin B              
Denne skærm viser kompatibilitet eller uforenelighed med, i dette tilfælde typen af inkompatibilitet (udfældning, farveændring, ændring af en emulsion osv.). Kompatibiliteterne vist her er for det meste kun fysiske, idet den kemiske stabilitet af hvert molekyle sjældent vurderes. Evalueringen af disse blandinger blev undersøgt for at overveje muligheden for Y-sted-administration til patienten. Disse data kan ikke bruges til at fremstille blandinger på forhånd i poser eller sprøjter. Denne type information findes på skærmen "Stabilitet i blanding".
Molekyle Opløsningsmiddel Bibliografi
Kompatibel
Injektion Amphotericin B 1.6 mg/ml
Injektion Aldesleukin 0.0338 MUI/ml
5 % Glukose 36
Umiddelbar nedbør Uforenelig
Injektion Amphotericin B 0.6 mg/ml
Injektion Aztreonam 40 mg/ml
5 % Glukose 99
Uspecificeret inkompatibilitet Uforenelig
Injektion Amphotericin B
Ringer laktat 3968
Tab af uklarhed Uforenelig
Injektion Amphotericin B 0.6 mg/ml
Injektion Allopurinol sodium 3 mg/ml
0,9 % Natriumklorid 307
Umiddelbar turbiditet Uforenelig
Injektion Amphotericin B 0.6 mg/ml
Injektion Amifostine 10 mg/ml
5 % Glukose 3
Uspecificeret inkompatibilitet Uforenelig
Injektion Amphotericin B
Injektion Amikacin sulfate
3549
Kompatibel
Injektion Amphotericin B 0,5 mg/ml
Injektion Amiodarone hydrochloride 6 mg/ml
5 % Glukose 1611
Umiddelbar turbiditet Uforenelig
Injektion Amphotericin B 0,6 mg/ml
Injektion Anidulafungin 0,5 mg/ml
5 % Glukose 1982
Umiddelbar nedbør Uforenelig
Injektion Amphotericin B
Injektion Bivalirudin
3539
Umiddelbar nedbør Uforenelig
Injektion Amphotericin B 0.6 mg/ml
Injektion Bivalirudin 5 mg/ml
5 % Glukose 1713
Kompatibel
Injektion Amphotericin B 0.1 mg/ml
Injektion Caffeine 10 mg/ml
5 % Glukose 4837
Kompatibel
Injektion Amphotericin B 0,1 mg/ml
Injektion Caffeine citrate 20 mg/ml
5 % Glukose 4837
Kompatibel
Injektion Amphotericin B
5 % Glukose 3591
Tab af uklarhed Uforenelig
Injektion Amphotericin B 0.6 mg/ml
Injektion Allopurinol sodium 3 mg/ml
5 % Glukose 307
Umiddelbar nedbør Uforenelig
Injektion Amphotericin B 0.6 mg/ml
Injektion Amsacrine 1 mg/ml
5 % Glukose 253
Uforenelig
Injektion Amphotericin B 0.1 mg/ml
Ringer laktat 1172
Uspecificeret inkompatibilitet Uforenelig
Injektion Amphotericin B
Injektion Calcium gluconate
3644
Nedbør efter 1 time Uforenelig
Injektion Amphotericin B
Injektion Cefotaxime sodium
0,9 % Natriumklorid 3871
Umiddelbar turbiditet Uforenelig
Injektion Amphotericin B 0,6 mg/ml
Injektion Ceftaroline fosamil 2,22 mg/ml
Ringer laktat 3249
Umiddelbar nedbør Uforenelig
Injektion Amphotericin B
0,9 % NaCl + antibakteriel 3591
Umiddelbar nedbør Uforenelig
Injektion Amphotericin B 0.6 mg/ml
Parenteral ernæring (lipid-fri) 301
Umiddelbar nedbør Uforenelig
Injektion Amphotericin B 1 mg/ml
Injektion Cefiderocol sulfate tosylate 20 mg/mL
0,9 % Natriumklorid 4528
Kemisk ustabilitet Uforenelig
Injektion Amphotericin B 0.1 mg/ml
Injektion Cefpirome sulfate 50 mg/ml
0,9 % Natriumklorid 280
Umiddelbar turbiditet Uforenelig
Injektion Amphotericin B 0,6 mg/ml
Injektion Ceftaroline fosamil 2,22 mg/ml
0,9 % Natriumklorid 3249
Umiddelbar nedbør Uforenelig
Injektion Amphotericin B 0.6 mg/ml
Injektion Ceftobiprole medocaril sodium 2 mg/ml
0,9 % Natriumklorid 2269
Umiddelbar nedbør Uforenelig
Injektion Amphotericin B 0.6 mg/ml
Parenteral ernæring (lipider) 1415
Umiddelbar turbiditet Uforenelig
Injektion Amphotericin B 0.1 mg/ml
Injektion Cimetidine hydrochloride 0.6 mg/ml
5 % Glukose 1201
Umiddelbar nedbør Uforenelig
Injektion Amphotericin B 0,6 & 1,2 mg/ml
Parenteral ernæring (lipider) 2043
Umiddelbar ustabilitet af emulsionen Uforenelig
Injektion Amphotericin B 0.01 >> 5 mg/ml
Parenteral ernæring (lipider) 1498
Umiddelbar turbiditet Uforenelig
Injektion Amphotericin B 0.1 mg/ml
Injektion Ceftolozane / tazobactam 10/5 mg/ml
5 % Glukose 3828
Umiddelbar nedbør Uforenelig
Injektion Amphotericin B 1.35 mg/ml
Parenteral ernæring (lipider) 793
Umiddelbar nedbør Uforenelig
Injektion Amphotericin B 0.6 mg/ml
Injektion Ceftobiprole medocaril sodium 2 mg/ml
Ringer laktat 2269
Kemisk ustabilitet Uforenelig
Injektion Amphotericin B 0.09 mg/ml
Parenteral ernæring (lipider) 984
Uspecificeret inkompatibilitet Uforenelig
Injektion Amphotericin B
Injektion Calcium gluconate
4964
Umiddelbar nedbør Uforenelig
Injektion Amphotericin B 0,6 mg/ml
Injektion Caspofungin acetate 0,7 mg/ml
0,9 % Natriumklorid 2247
Umiddelbar turbiditet Uforenelig
Injektion Amphotericin B 0,6 mg/ml
Injektion Ceftaroline fosamil 2,22 mg/ml
5 % Glukose 3249
Kompatibel
Injektion Amphotericin B
Injektion Ceftazidime
3883
Uspecificeret inkompatibilitet Uforenelig
Injektion Amphotericin B
Injektion Ceftobiprole medocaril sodium
4650
Umiddelbar nedbør Uforenelig
Injektion Amphotericin B
Parenteral ernæring (lipider) 270
Umiddelbar nedbør Uforenelig
Injektion Amphotericin B 0.6 mg/ml
Injektion Ceftobiprole medocaril sodium 2 mg/ml
5 % Glukose 2269
Umiddelbar ustabilitet af emulsionen Uforenelig
Injektion Amphotericin B 0.6 mg/ml
Parenteral ernæring (lipider) 265
Umiddelbar nedbør Uforenelig
Injektion Amphotericin B 1 mg/ml
Injektion Cefiderocol sulfate tosylate 20 mg/mL
5 % Glukose 4528
Kemisk ustabilitet Uforenelig
Injektion Amphotericin B 0.1 mg/ml
Injektion Cefpirome sulfate 50 mg/ml
0,45 % Natriumklorid 280
Kemisk ustabilitet Uforenelig
Injektion Amphotericin B 0.1 mg/ml
Injektion Cefpirome sulfate 50 mg/ml
Ringer laktat 280
Kemisk ustabilitet Uforenelig
Injektion Amphotericin B 0.1 mg/ml
Injektion Cefpirome sulfate 50 mg/ml
5 % Glukose 280
Umiddelbar nedbør Uforenelig
Injektion Amphotericin B 0.1 mg/ml
Injektion Ciprofloxacin lactate 2 mg/ml
5 % Glukose 285
Umiddelbar nedbør Uforenelig
Injektion Amphotericin B
0,9 % Natriumklorid 3591
Kompatibel
Injektion Amphotericin B 0.6 mg/ml
Injektion Cisatracurium besylate 0.1 mg/ml
5 % Glukose 299
Umiddelbar nedbør Uforenelig
Injektion Amphotericin B 0.6 mg/ml
Injektion Cisatracurium besylate 2 & 5 mg/ml
5 % Glukose 299
Umiddelbar nedbør Uforenelig
Injektion Amphotericin B 0.6 mg/ml
Injektion Dexmedetomidine 4 µg/ml
5 % Glukose 1712
Kompatibel
Injektion Amphotericin B 0.1 mg/ml
Injektion Diltiazem hydrochloride 1 mg/ml
0,9 % Natriumklorid 198
Umiddelbar turbiditet Uforenelig
Injektion Amphotericin B 0.6 mg/ml
Injektion Docetaxel 0.9 mg/ml
5 % Glukose 1754
Umiddelbar nedbør Uforenelig
Injektion Amphotericin B
Injektion Dopamine hydrochloride
5 % Glukose 3638
Kompatibel
Injektion Amphotericin B 0,6 mg/ml
Injektion Doripenem 5 mg/ml
5 % Glukose 2262
Umiddelbar nedbør Uforenelig
Injektion Amphotericin B 0.6 mg/ml
Injektion Doxorubicin hydrochloride liposome peg 0.4 mg/ml
5 % Glukose 251
Umiddelbar nedbør Uforenelig
Injektion Amphotericin B 0.6 mg/ml
Injektion Etoposide phosphate 5 mg/ml
5 % Glukose 1410
Uforenelig
Injektion Amphotericin B 0.1 mg/ml
0,9 % Natriumklorid 1172
Umiddelbar nedbør Uforenelig
Injektion Amphotericin B 0.6 mg/ml
Injektion Doripenem 5 mg/ml
0,9 % Natriumklorid 2262
Turbiditet på 4 timer Uforenelig
Injektion Amphotericin B 0.1 mg/ml
Injektion Enalaprilate 1.25 mg/ml
5 % Glukose 201
Uklarhed om 2 timer Uforenelig
Injektion Amphotericin B 0.1 mg/ml
Injektion Enalaprilate 0.0125 mg/ml
5 % Glukose 1703
Kompatibel
Injektion Amphotericin B 0.6 mg/ml
Injektion Famotidine 2 mg/ml
0,9 % Natriumklorid 215
Umiddelbar nedbør Uforenelig
Injektion Amphotericin B 0.6 mg/ml
Injektion Fenoldopam mesylate 80 µg/ml
0,9 % Natriumklorid 1803
Umiddelbar nedbør Uforenelig
Injektion Amphotericin B 0.6 mg/ml
Injektion Filgrastim 30 µg/ml
5 % Glukose 244
Turbiditet på en time Uforenelig
Injektion Amphotericin B 5 mg/ml
Injektion Fluconazole 2 mg/ml
0,9 % Natriumklorid 496
Kompatibel
Injektion Amphotericin B 0.1 mg/ml
Injektion Fluconazole 2 mg/ml
Ingen 256
Nedbør efter 4 timer Uforenelig
Injektion Amphotericin B 0.6 mg/ml
Injektion Fludarabine phosphate 1 mg/ml
5 % Glukose 492
Uspecificeret inkompatibilitet Uforenelig
Injektion Amphotericin B
Injektion Foscarnet sodium
3662
Umiddelbar turbiditet Uforenelig
Injektion Amphotericin B 0.6 mg/ml
Injektion Foscarnet sodium 24 mg/ml
5 % Glukose 1135
Umiddelbar nedbør Uforenelig
Injektion Amphotericin B 5 mg/ml
Injektion Foscarnet sodium 24 mg/ml
Ingen 73
Umiddelbar turbiditet Uforenelig
Injektion Amphotericin B 0.1 mg/ml
Injektion Fosfomycin 30 mg/ml
5 % Glukose 4055
Umiddelbar nedbør Uforenelig
Injektion Amphotericin B 0.6 mg/ml
Injektion Gemcitabine hydrochloride 10 mg/ml
0,9 % Natriumklorid 1423
Umiddelbar turbiditet Uforenelig
Injektion Amphotericin B 0.6 mg/ml
Injektion Granisetron hydrochloride 0.05 mg/ml
5 % Glukose 182
Umiddelbar nedbør Uforenelig
Injektion Amphotericin B 0.6 mg/ml
Injektion Hetastarch 60 mg/ml
specifikt opløsningsmiddel 1721
Umiddelbar turbiditet Uforenelig
Injektion Amphotericin B 0.1 mg/ml
Injektion Isavuconazonium sulfate 1.5 mg/ml
5 % Glukose 3829
Umiddelbar nedbør Uforenelig
Injektion Amphotericin B 0.6 mg/ml
Injektion Lansoprazole 0.55 mg/ml
0,9 % Natriumklorid 1625
Uspecificeret inkompatibilitet Uforenelig
Injektion Amphotericin B
Injektion Lidocaine hydrochloride
5060
Umiddelbar nedbør Uforenelig
Injektion Amphotericin B 0.6 mg/ml
Injektion Linezolid 2 mg/ml
Ingen 1925
Uspecificeret inkompatibilitet Uforenelig
Injektion Amphotericin B
Injektion Linezolid
3560
Nedbør efter 2 timer Uforenelig
Injektion Amphotericin B 0,04 & 0,08 mg/ml
Injektion Magnesium sulfate 2 & 4 mg/ml
5 % Glukose 682
Umiddelbar turbiditet Uforenelig
Injektion Amphotericin B 0.6 mg/ml
Injektion Melphalan 0.1 mg/ml
0,9 % Natriumklorid 169
Kemisk ustabilitet Uforenelig
Injektion Amphotericin B 0.6 mg/ml
Injektion Melphalan 0.1 mg/ml
5 % Glukose 169
Kompatibel
Injektion Amphotericin B 5 mg/ml
Injektion Meropenem 1 & 50 mg/ml
0,9 % Natriumklorid 266
Kompatibel
Injektion Amphotericin B 0.2 mg/ml
Injektion Meropenem 1 & 20 mg/ml
0,9 % Natriumklorid 266
Uspecificeret inkompatibilitet Uforenelig
Injektion Amphotericin B
Injektion Metaraminol
5046
Uspecificeret inkompatibilitet Uforenelig
Injektion Amphotericin B
Injektion N-acetylcysteine 200 mg/ml
Ingen 3766
Umiddelbar nedbør Uforenelig
Injektion Amphotericin B 0,5 mg/ml
Injektion Nalbuphine hydrochloride 0,05 >>0,33 mg/ml
0,9 % Natriumklorid 5097
Umiddelbar nedbør Uforenelig
Injektion Amphotericin B 0,5 mg/ml
Injektion Nalbuphine hydrochloride 0,05 >> 0,33 mg/ml
5 % Glukose 4867
Uspecificeret inkompatibilitet Uforenelig
Injektion Amphotericin B 4 mg/ml
Injektion Naloxone hydrochloride 0.4 mg/ml
Ingen 3408
Umiddelbar turbiditet Uforenelig
Injektion Amphotericin B 0.6 mg/ml
Injektion Ondansetron hydrochloride 1 mg/ml
5 % Glukose 334
Umiddelbar turbiditet Uforenelig
Injektion Amphotericin B 0.1 mg/ml
Injektion Oritavancin 0.8>>2 mg/ml
5 % Glukose 3152
Umiddelbar turbiditet Uforenelig
Injektion Amphotericin B 0.6 mg/ml
Injektion Paclitaxel 1.2 mg/ml
5 % Glukose 248
Turbiditet på en time Uforenelig
Injektion Amphotericin B
Injektion Pantoprazole sodium
2090
Umiddelbar nedbør Uforenelig
Injektion Amphotericin B 0.6 mg/ml
Injektion Pemetrexed disodium 20 mg/ml
0,9 % Natriumklorid 1953
Uspecificeret inkompatibilitet Uforenelig
Injektion Amphotericin B
Injektion Penicillin G sodium
3585
Kompatibel
Injektion Amphotericin B 0,1 mg/ml
Injektion Pentoxifyllin 5 mg/ml
5 % Glukose 4543
Kompatibel
Injektion Amphotericin B 1 mg/ml
Injektion Phloroglucinol 2,5 mg/ml
3791
Umiddelbar nedbør Uforenelig
Injektion Amphotericin B 0.6 mg/ml
Injektion Piperacillin sodium / tazobactam 40/5 mg/ml
5 % Glukose 81
Umiddelbar turbiditet Uforenelig
Injektion Amphotericin B 0,1 mg/ml
Injektion Plazomicin sulfate 24 mg/ml
0,9 % Natriumklorid 4145
Umiddelbar nedbør Uforenelig
Injektion Amphotericin B 0.6 mg/ml
Injektion Propofol 10 mg/ml
Ingen 300
Kompatibel
Injektion Amphotericin B 0.6 mg/ml
Injektion Remifentanil hydrochloride 25 µg/ml
5 % Glukose 59
Umiddelbar nedbør Uforenelig
Injektion Amphotericin B 0.6 mg/ml
Injektion Remifentanil hydrochloride 250 µg/ml
5 % Glukose 59
Uspecificeret inkompatibilitet Uforenelig
Injektion Amphotericin B
Injektion Rocuronium bromide
3564
Umiddelbar turbiditet Uforenelig
Injektion Amphotericin B 50 mg/ml
Injektion Salbutamol sulfate 1 mg/ml
Ingen 3216
Kompatibel
Injektion Amphotericin B 0.6 mg/ml
Injektion Sargramostim 10 µg/ml
5 % Glukose 335
Umiddelbar nedbør Uforenelig
Injektion Amphotericin B 0.6 mg/ml
Injektion Sargramostim 10 µg/ml
0,9 % Natriumklorid 335
Umiddelbar nedbør Uforenelig
Injektion Amphotericin B 0,1 mg/ml
Injektion Sildenafil citrate 0,6 mg/ml
5 % Glukose 4845
Kemisk ustabilitet Uforenelig
Injektion Amphotericin B 0.1 mg/ml
Injektion Sildenafil citrate 0,6 mg/ml
5 % Glukose 4845
Kompatibel
Injektion Amphotericin B 5 mg/ml
Injektion Tacrolimus 1000 µg/ml
Vand til injektion 479
Umiddelbar turbiditet Uforenelig
Injektion Amphotericin B 0,1 mg/ml
Injektion Telavancin hydrochloride 7,5 mg/ml
5 % Glukose 3254
Kompatibel
Injektion Amphotericin B 0.6 mg/ml
Injektion Teniposide 0.1 mg/ml
5 % Glukose 905
Umiddelbar nedbør Uforenelig
Injektion Amphotericin B
Injektion Thiopental sodium 25 mg/ml
0,9 % Natriumklorid 3767
Kompatibel
Injektion Amphotericin B 0.6 mg/ml
Injektion Thiotepa 1 mg/ml
5 % Glukose 249
Uspecificeret inkompatibilitet Uforenelig
Injektion Amphotericin B
Injektion Tigecycline
3332
Nedbør efter 8 timer Uforenelig
Injektion Amphotericin B 0.1 mg/ml
Injektion Verapamil hydrochloride 0.08 mg/ml
5 % Glukose 1057
Umiddelbar nedbør Uforenelig
Injektion Amphotericin B 0.1 mg/ml
Injektion Verapamil hydrochloride 0.08 mg/ml
0,9 % Natriumklorid 1057
Umiddelbar nedbør Uforenelig
Injektion Amphotericin B 0.6 mg/ml
Injektion Vinorelbine tartrate 1 mg/ml
5 % Glukose 84
Kompatibel
Injektion Amphotericin B 0.6 mg/ml
Injektion Zidovudine 4 mg/ml
5 % Glukose 337
Umiddelbar nedbør Uforenelig
Injektion Amphotericin B ? mg/ml
0,9 % Natriumklorid 892
Umiddelbar nedbør Uforenelig
Injektion Amphotericin B 0.6 mg/ml
Injektion Vinorelbine tartrate 1 mg/ml
0,9 % Natriumklorid 84

  Mentions Légales