Posledná aktualizácia :
18/03/2026
antimykotikum   Amphotericin B  
Injekcia
Aerosól Kloktadlo Očná instilácia Perorálny roztok
Stabilita roztokov Stabilita v zmesiach Faktory ovplyvňujúce stabilitu Kompatibility spôsob podania Odkazy na literatúru PDF
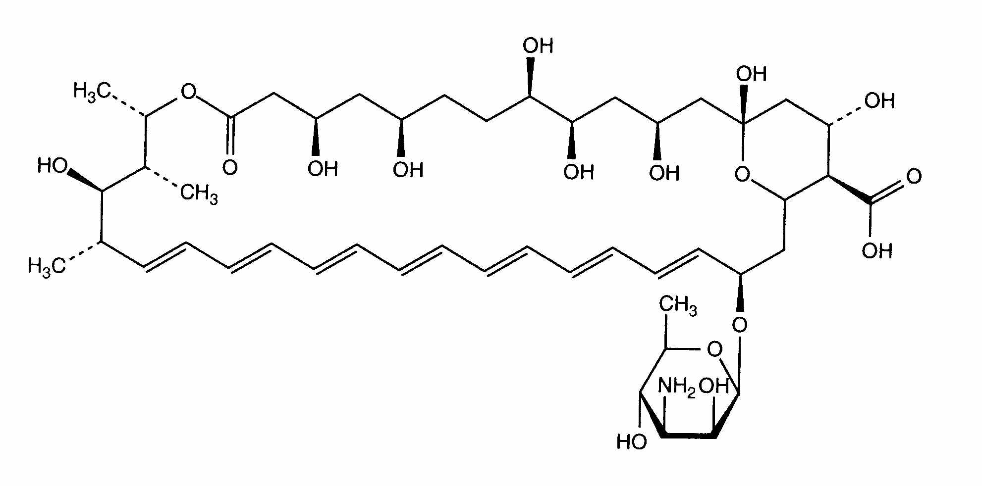
   Chemický vzorec  

Obchodný názov   Obchodný názov     

Obchodné názvy sú orientačné, a zloženie pomocných látok sa môže líšiť v závislosti od krajiny a výrobcu.

Fungizone Dánsko, Fínsko, Francúzsko, Grécko, Holandsko, India, Irán, Írsko, Kanada, Kolumbia, Maďarsko, Malajzia, Maroko, Nemecko, nový Zéland, Portugalsko, Spojené štáty Americké, Švajčiarsko, Švédsko, Taliansko, Tunisko, Turecko, Veľká Británia, Venezuela
Kompatibility   Injekcia   Kompatibility : Amphotericin B              
Toto okno zobrazuje kompatibility alebo inkombatibility, v prípade inkompatibility aj jej typ (vyzrážanie, zmena farby, zmena emulzie atď.). Tu vymenované kompatibility sú väčšinou len fyzikálne, chemická stabilita každej zo zlúčenín sa hodnotila len zriedkavo. Tieto zmesi sa skúmali za účelom možnosti súbežného podávania pacientovi cez infúznu spojku Y. Údaje sa nedajú použiť na prípravu zmesí vo vakoch alebo striekačkách. Taká informácia sa nachádza v okne „Stabilita v zmesiach“.
Zlúčenina rozpúšťadlo odkazy na lieteratúru
kompatibilný
Injekcia Amphotericin B 1.6 mg/ml
Injekcia Aldesleukin 0.0338 MUI/ml
5% glukóza 36
Okamžité zrážanie nezlučiteľný
Injekcia Amphotericin B 0.6 mg/ml
Injekcia Aztreonam 40 mg/ml
5% glukóza 99
Nešpecifikovaná nekompatibilita nezlučiteľný
Injekcia Amphotericin B
Ringerov laktátový roztok 3968
Strata zákalu nezlučiteľný
Injekcia Amphotericin B 0.6 mg/ml
Injekcia Allopurinol sodium 3 mg/ml
0,9% chlorid sodný 307
Okamžitá zákal nezlučiteľný
Injekcia Amphotericin B 0.6 mg/ml
Injekcia Amifostine 10 mg/ml
5% glukóza 3
Nešpecifikovaná nekompatibilita nezlučiteľný
Injekcia Amphotericin B
Injekcia Amikacin sulfate
3549
kompatibilný
Injekcia Amphotericin B 0,5 mg/ml
Injekcia Amiodarone hydrochloride 6 mg/ml
5% glukóza 1611
Okamžitá zákal nezlučiteľný
Injekcia Amphotericin B 0,6 mg/ml
Injekcia Anidulafungin 0,5 mg/ml
5% glukóza 1982
Okamžité zrážanie nezlučiteľný
Injekcia Amphotericin B
Injekcia Bivalirudin
3539
Okamžité zrážanie nezlučiteľný
Injekcia Amphotericin B 0.6 mg/ml
Injekcia Bivalirudin 5 mg/ml
5% glukóza 1713
kompatibilný
Injekcia Amphotericin B 0.1 mg/ml
Injekcia Caffeine 10 mg/ml
5% glukóza 4837
kompatibilný
Injekcia Amphotericin B 0,1 mg/ml
Injekcia Caffeine citrate 20 mg/ml
5% glukóza 4837
kompatibilný
Injekcia Amphotericin B
5% glukóza 3591
Strata zákalu nezlučiteľný
Injekcia Amphotericin B 0.6 mg/ml
Injekcia Allopurinol sodium 3 mg/ml
5% glukóza 307
Okamžité zrážanie nezlučiteľný
Injekcia Amphotericin B 0.6 mg/ml
Injekcia Amsacrine 1 mg/ml
5% glukóza 253
nezlučiteľný
Injekcia Amphotericin B 0.1 mg/ml
Ringerov laktátový roztok 1172
Nešpecifikovaná nekompatibilita nezlučiteľný
Injekcia Amphotericin B
Injekcia Calcium gluconate
3644
Zrážky po 1 hodine nezlučiteľný
Injekcia Amphotericin B
Injekcia Cefotaxime sodium
0,9% chlorid sodný 3871
Okamžitá zákal nezlučiteľný
Injekcia Amphotericin B 0,6 mg/ml
Injekcia Ceftaroline fosamil 2,22 mg/ml
Ringerov laktátový roztok 3249
Okamžité zrážanie nezlučiteľný
Injekcia Amphotericin B
0,9% chlorid sodný + antibakteriálna látka 3591
Okamžité zrážanie nezlučiteľný
Injekcia Amphotericin B 0.6 mg/ml
parenterálna výživa (binárna zmes) 301
Okamžité zrážanie nezlučiteľný
Injekcia Amphotericin B 1 mg/ml
Injekcia Cefiderocol sulfate tosylate 20 mg/mL
0,9% chlorid sodný 4528
Chemická nestabilita nezlučiteľný
Injekcia Amphotericin B 0.1 mg/ml
Injekcia Cefpirome sulfate 50 mg/ml
0,9% chlorid sodný 280
Okamžitá zákal nezlučiteľný
Injekcia Amphotericin B 0,6 mg/ml
Injekcia Ceftaroline fosamil 2,22 mg/ml
0,9% chlorid sodný 3249
Okamžité zrážanie nezlučiteľný
Injekcia Amphotericin B 0.6 mg/ml
Injekcia Ceftobiprole medocaril sodium 2 mg/ml
0,9% chlorid sodný 2269
Okamžité zrážanie nezlučiteľný
Injekcia Amphotericin B 0.6 mg/ml
Parenterálna výživa (lipidy) 1415
Okamžitá zákal nezlučiteľný
Injekcia Amphotericin B 0.1 mg/ml
Injekcia Cimetidine hydrochloride 0.6 mg/ml
5% glukóza 1201
Okamžité zrážanie nezlučiteľný
Injekcia Amphotericin B 0,6 & 1,2 mg/ml
Parenterálna výživa (lipidy) 2043
Okamžitá nestabilita emulzie nezlučiteľný
Injekcia Amphotericin B 0.01 >> 5 mg/ml
Parenterálna výživa (lipidy) 1498
Okamžitá zákal nezlučiteľný
Injekcia Amphotericin B 0.1 mg/ml
Injekcia Ceftolozane / tazobactam 10/5 mg/ml
5% glukóza 3828
Okamžité zrážanie nezlučiteľný
Injekcia Amphotericin B 1.35 mg/ml
Parenterálna výživa (lipidy) 793
Okamžité zrážanie nezlučiteľný
Injekcia Amphotericin B 0.6 mg/ml
Injekcia Ceftobiprole medocaril sodium 2 mg/ml
Ringerov laktátový roztok 2269
Chemická nestabilita nezlučiteľný
Injekcia Amphotericin B 0.09 mg/ml
Parenterálna výživa (lipidy) 984
Nešpecifikovaná nekompatibilita nezlučiteľný
Injekcia Amphotericin B
Injekcia Calcium gluconate
4964
Okamžité zrážanie nezlučiteľný
Injekcia Amphotericin B 0,6 mg/ml
Injekcia Caspofungin acetate 0,7 mg/ml
0,9% chlorid sodný 2247
Okamžitá zákal nezlučiteľný
Injekcia Amphotericin B 0,6 mg/ml
Injekcia Ceftaroline fosamil 2,22 mg/ml
5% glukóza 3249
kompatibilný
Injekcia Amphotericin B
Injekcia Ceftazidime
3883
Nešpecifikovaná nekompatibilita nezlučiteľný
Injekcia Amphotericin B
Injekcia Ceftobiprole medocaril sodium
4650
Okamžité zrážanie nezlučiteľný
Injekcia Amphotericin B
Parenterálna výživa (lipidy) 270
Okamžité zrážanie nezlučiteľný
Injekcia Amphotericin B 0.6 mg/ml
Injekcia Ceftobiprole medocaril sodium 2 mg/ml
5% glukóza 2269
Okamžitá nestabilita emulzie nezlučiteľný
Injekcia Amphotericin B 0.6 mg/ml
Parenterálna výživa (lipidy) 265
Okamžité zrážanie nezlučiteľný
Injekcia Amphotericin B 1 mg/ml
Injekcia Cefiderocol sulfate tosylate 20 mg/mL
5% glukóza 4528
Chemická nestabilita nezlučiteľný
Injekcia Amphotericin B 0.1 mg/ml
Injekcia Cefpirome sulfate 50 mg/ml
0,45 % chlorid sodný 280
Chemická nestabilita nezlučiteľný
Injekcia Amphotericin B 0.1 mg/ml
Injekcia Cefpirome sulfate 50 mg/ml
Ringerov laktátový roztok 280
Chemická nestabilita nezlučiteľný
Injekcia Amphotericin B 0.1 mg/ml
Injekcia Cefpirome sulfate 50 mg/ml
5% glukóza 280
Okamžité zrážanie nezlučiteľný
Injekcia Amphotericin B 0.1 mg/ml
Injekcia Ciprofloxacin lactate 2 mg/ml
5% glukóza 285
Okamžité zrážanie nezlučiteľný
Injekcia Amphotericin B
0,9% chlorid sodný 3591
kompatibilný
Injekcia Amphotericin B 0.6 mg/ml
Injekcia Cisatracurium besylate 0.1 mg/ml
5% glukóza 299
Okamžité zrážanie nezlučiteľný
Injekcia Amphotericin B 0.6 mg/ml
Injekcia Cisatracurium besylate 2 & 5 mg/ml
5% glukóza 299
Okamžité zrážanie nezlučiteľný
Injekcia Amphotericin B 0.6 mg/ml
Injekcia Dexmedetomidine 4 µg/ml
5% glukóza 1712
kompatibilný
Injekcia Amphotericin B 0.1 mg/ml
Injekcia Diltiazem hydrochloride 1 mg/ml
0,9% chlorid sodný 198
Okamžitá zákal nezlučiteľný
Injekcia Amphotericin B 0.6 mg/ml
Injekcia Docetaxel 0.9 mg/ml
5% glukóza 1754
Okamžité zrážanie nezlučiteľný
Injekcia Amphotericin B
Injekcia Dopamine hydrochloride
5% glukóza 3638
kompatibilný
Injekcia Amphotericin B 0,6 mg/ml
Injekcia Doripenem 5 mg/ml
5% glukóza 2262
Okamžité zrážanie nezlučiteľný
Injekcia Amphotericin B 0.6 mg/ml
Injekcia Doxorubicin hydrochloride liposome peg 0.4 mg/ml
5% glukóza 251
Okamžité zrážanie nezlučiteľný
Injekcia Amphotericin B 0.6 mg/ml
Injekcia Etoposide phosphate 5 mg/ml
5% glukóza 1410
nezlučiteľný
Injekcia Amphotericin B 0.1 mg/ml
0,9% chlorid sodný 1172
Okamžité zrážanie nezlučiteľný
Injekcia Amphotericin B 0.6 mg/ml
Injekcia Doripenem 5 mg/ml
0,9% chlorid sodný 2262
Zákal za 4 hodiny nezlučiteľný
Injekcia Amphotericin B 0.1 mg/ml
Injekcia Enalaprilate 1.25 mg/ml
5% glukóza 201
Zákal za 2 hodiny nezlučiteľný
Injekcia Amphotericin B 0.1 mg/ml
Injekcia Enalaprilate 0.0125 mg/ml
5% glukóza 1703
kompatibilný
Injekcia Amphotericin B 0.6 mg/ml
Injekcia Famotidine 2 mg/ml
0,9% chlorid sodný 215
Okamžité zrážanie nezlučiteľný
Injekcia Amphotericin B 0.6 mg/ml
Injekcia Fenoldopam mesylate 80 µg/ml
0,9% chlorid sodný 1803
Okamžité zrážanie nezlučiteľný
Injekcia Amphotericin B 0.6 mg/ml
Injekcia Filgrastim 30 µg/ml
5% glukóza 244
Zákal za jednu hodinu nezlučiteľný
Injekcia Amphotericin B 5 mg/ml
Injekcia Fluconazole 2 mg/ml
0,9% chlorid sodný 496
kompatibilný
Injekcia Amphotericin B 0.1 mg/ml
Injekcia Fluconazole 2 mg/ml
Žiadny 256
Zrážky po 4 hodinách nezlučiteľný
Injekcia Amphotericin B 0.6 mg/ml
Injekcia Fludarabine phosphate 1 mg/ml
5% glukóza 492
Nešpecifikovaná nekompatibilita nezlučiteľný
Injekcia Amphotericin B
Injekcia Foscarnet sodium
3662
Okamžitá zákal nezlučiteľný
Injekcia Amphotericin B 0.6 mg/ml
Injekcia Foscarnet sodium 24 mg/ml
5% glukóza 1135
Okamžité zrážanie nezlučiteľný
Injekcia Amphotericin B 5 mg/ml
Injekcia Foscarnet sodium 24 mg/ml
Žiadny 73
Okamžitá zákal nezlučiteľný
Injekcia Amphotericin B 0.1 mg/ml
Injekcia Fosfomycin 30 mg/ml
5% glukóza 4055
Okamžité zrážanie nezlučiteľný
Injekcia Amphotericin B 0.6 mg/ml
Injekcia Gemcitabine hydrochloride 10 mg/ml
0,9% chlorid sodný 1423
Okamžitá zákal nezlučiteľný
Injekcia Amphotericin B 0.6 mg/ml
Injekcia Granisetron hydrochloride 0.05 mg/ml
5% glukóza 182
Okamžité zrážanie nezlučiteľný
Injekcia Amphotericin B 0.6 mg/ml
Injekcia Hetastarch 60 mg/ml
Špeciálne rozpúšťadlá 1721
Okamžitá zákal nezlučiteľný
Injekcia Amphotericin B 0.1 mg/ml
Injekcia Isavuconazonium sulfate 1.5 mg/ml
5% glukóza 3829
Okamžité zrážanie nezlučiteľný
Injekcia Amphotericin B 0.6 mg/ml
Injekcia Lansoprazole 0.55 mg/ml
0,9% chlorid sodný 1625
Nešpecifikovaná nekompatibilita nezlučiteľný
Injekcia Amphotericin B
Injekcia Lidocaine hydrochloride
5060
Okamžité zrážanie nezlučiteľný
Injekcia Amphotericin B 0.6 mg/ml
Injekcia Linezolid 2 mg/ml
Žiadny 1925
Nešpecifikovaná nekompatibilita nezlučiteľný
Injekcia Amphotericin B
Injekcia Linezolid
3560
Zrážky po 2 hodinách nezlučiteľný
Injekcia Amphotericin B 0,04 & 0,08 mg/ml
Injekcia Magnesium sulfate 2 & 4 mg/ml
5% glukóza 682
Okamžitá zákal nezlučiteľný
Injekcia Amphotericin B 0.6 mg/ml
Injekcia Melphalan 0.1 mg/ml
0,9% chlorid sodný 169
Chemická nestabilita nezlučiteľný
Injekcia Amphotericin B 0.6 mg/ml
Injekcia Melphalan 0.1 mg/ml
5% glukóza 169
kompatibilný
Injekcia Amphotericin B 5 mg/ml
Injekcia Meropenem 1 & 50 mg/ml
0,9% chlorid sodný 266
kompatibilný
Injekcia Amphotericin B 0.2 mg/ml
Injekcia Meropenem 1 & 20 mg/ml
0,9% chlorid sodný 266
Nešpecifikovaná nekompatibilita nezlučiteľný
Injekcia Amphotericin B
Injekcia Metaraminol
5046
Nešpecifikovaná nekompatibilita nezlučiteľný
Injekcia Amphotericin B
Injekcia N-acetylcysteine 200 mg/ml
Žiadny 3766
Okamžité zrážanie nezlučiteľný
Injekcia Amphotericin B 0,5 mg/ml
Injekcia Nalbuphine hydrochloride 0,05 >>0,33 mg/ml
0,9% chlorid sodný 5097
Okamžité zrážanie nezlučiteľný
Injekcia Amphotericin B 0,5 mg/ml
Injekcia Nalbuphine hydrochloride 0,05 >> 0,33 mg/ml
5% glukóza 4867
Nešpecifikovaná nekompatibilita nezlučiteľný
Injekcia Amphotericin B 4 mg/ml
Injekcia Naloxone hydrochloride 0.4 mg/ml
Žiadny 3408
Okamžitá zákal nezlučiteľný
Injekcia Amphotericin B 0.6 mg/ml
Injekcia Ondansetron hydrochloride 1 mg/ml
5% glukóza 334
Okamžitá zákal nezlučiteľný
Injekcia Amphotericin B 0.1 mg/ml
Injekcia Oritavancin 0.8>>2 mg/ml
5% glukóza 3152
Okamžitá zákal nezlučiteľný
Injekcia Amphotericin B 0.6 mg/ml
Injekcia Paclitaxel 1.2 mg/ml
5% glukóza 248
Zákal za jednu hodinu nezlučiteľný
Injekcia Amphotericin B
Injekcia Pantoprazole sodium
2090
Okamžité zrážanie nezlučiteľný
Injekcia Amphotericin B 0.6 mg/ml
Injekcia Pemetrexed disodium 20 mg/ml
0,9% chlorid sodný 1953
Nešpecifikovaná nekompatibilita nezlučiteľný
Injekcia Amphotericin B
Injekcia Penicillin G sodium
3585
kompatibilný
Injekcia Amphotericin B 0,1 mg/ml
Injekcia Pentoxifyllin 5 mg/ml
5% glukóza 4543
kompatibilný
Injekcia Amphotericin B 1 mg/ml
Injekcia Phloroglucinol 2,5 mg/ml
3791
Okamžité zrážanie nezlučiteľný
Injekcia Amphotericin B 0.6 mg/ml
Injekcia Piperacillin sodium / tazobactam 40/5 mg/ml
5% glukóza 81
Okamžitá zákal nezlučiteľný
Injekcia Amphotericin B 0,1 mg/ml
Injekcia Plazomicin sulfate 24 mg/ml
0,9% chlorid sodný 4145
Okamžité zrážanie nezlučiteľný
Injekcia Amphotericin B 0.6 mg/ml
Injekcia Propofol 10 mg/ml
Žiadny 300
kompatibilný
Injekcia Amphotericin B 0.6 mg/ml
Injekcia Remifentanil hydrochloride 25 µg/ml
5% glukóza 59
Okamžité zrážanie nezlučiteľný
Injekcia Amphotericin B 0.6 mg/ml
Injekcia Remifentanil hydrochloride 250 µg/ml
5% glukóza 59
Nešpecifikovaná nekompatibilita nezlučiteľný
Injekcia Amphotericin B
Injekcia Rocuronium bromide
3564
Okamžitá zákal nezlučiteľný
Injekcia Amphotericin B 50 mg/ml
Injekcia Salbutamol sulfate 1 mg/ml
Žiadny 3216
kompatibilný
Injekcia Amphotericin B 0.6 mg/ml
Injekcia Sargramostim 10 µg/ml
5% glukóza 335
Okamžité zrážanie nezlučiteľný
Injekcia Amphotericin B 0.6 mg/ml
Injekcia Sargramostim 10 µg/ml
0,9% chlorid sodný 335
Okamžité zrážanie nezlučiteľný
Injekcia Amphotericin B 0,1 mg/ml
Injekcia Sildenafil citrate 0,6 mg/ml
5% glukóza 4845
Chemická nestabilita nezlučiteľný
Injekcia Amphotericin B 0.1 mg/ml
Injekcia Sildenafil citrate 0,6 mg/ml
5% glukóza 4845
kompatibilný
Injekcia Amphotericin B 5 mg/ml
Injekcia Tacrolimus 1000 µg/ml
voda na injekciu 479
Okamžitá zákal nezlučiteľný
Injekcia Amphotericin B 0,1 mg/ml
Injekcia Telavancin hydrochloride 7,5 mg/ml
5% glukóza 3254
kompatibilný
Injekcia Amphotericin B 0.6 mg/ml
Injekcia Teniposide 0.1 mg/ml
5% glukóza 905
Okamžité zrážanie nezlučiteľný
Injekcia Amphotericin B
Injekcia Thiopental sodium 25 mg/ml
0,9% chlorid sodný 3767
kompatibilný
Injekcia Amphotericin B 0.6 mg/ml
Injekcia Thiotepa 1 mg/ml
5% glukóza 249
Nešpecifikovaná nekompatibilita nezlučiteľný
Injekcia Amphotericin B
Injekcia Tigecycline
3332
Zrážky po 8 hodinách nezlučiteľný
Injekcia Amphotericin B 0.1 mg/ml
Injekcia Verapamil hydrochloride 0.08 mg/ml
5% glukóza 1057
Okamžité zrážanie nezlučiteľný
Injekcia Amphotericin B 0.1 mg/ml
Injekcia Verapamil hydrochloride 0.08 mg/ml
0,9% chlorid sodný 1057
Okamžité zrážanie nezlučiteľný
Injekcia Amphotericin B 0.6 mg/ml
Injekcia Vinorelbine tartrate 1 mg/ml
5% glukóza 84
kompatibilný
Injekcia Amphotericin B 0.6 mg/ml
Injekcia Zidovudine 4 mg/ml
5% glukóza 337
Okamžité zrážanie nezlučiteľný
Injekcia Amphotericin B ? mg/ml
0,9% chlorid sodný 892
Okamžité zrážanie nezlučiteľný
Injekcia Amphotericin B 0.6 mg/ml
Injekcia Vinorelbine tartrate 1 mg/ml
0,9% chlorid sodný 84

  Mentions Légales