Laatste update :
27/11/2025
Antimycoticum   Amphotericin B  
injecteerbaar geneesmiddel
Aerosol gorgelen Oogwater Orale Oplossing
Stabiliteit in oplossing Stabiliteit in mengsels Factoren die de stabiliteit beïnvloeden Verenigbaarheden Toedieningswijze Literatuur pdf
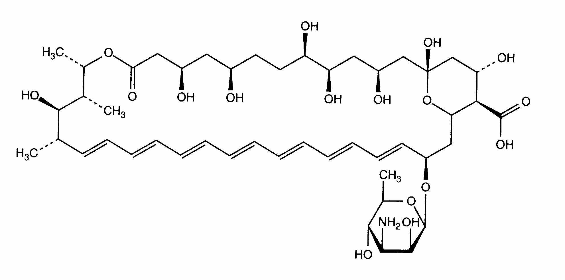
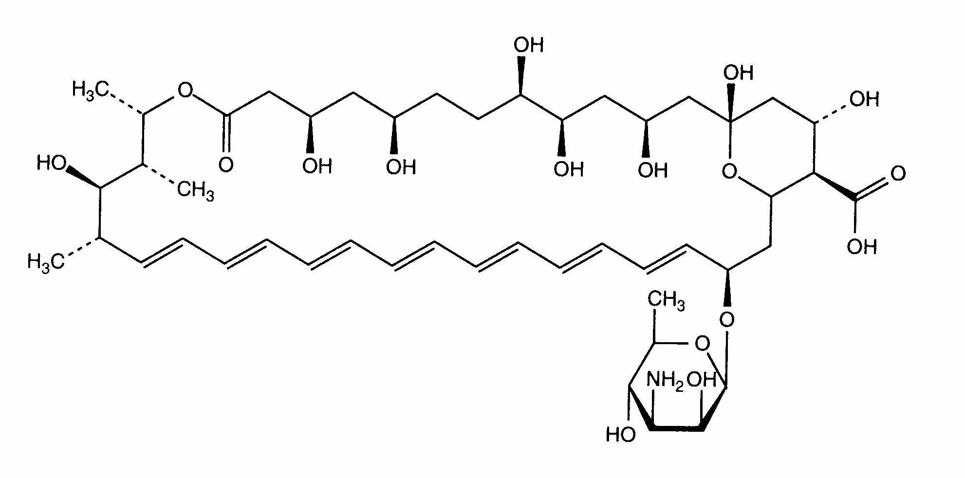
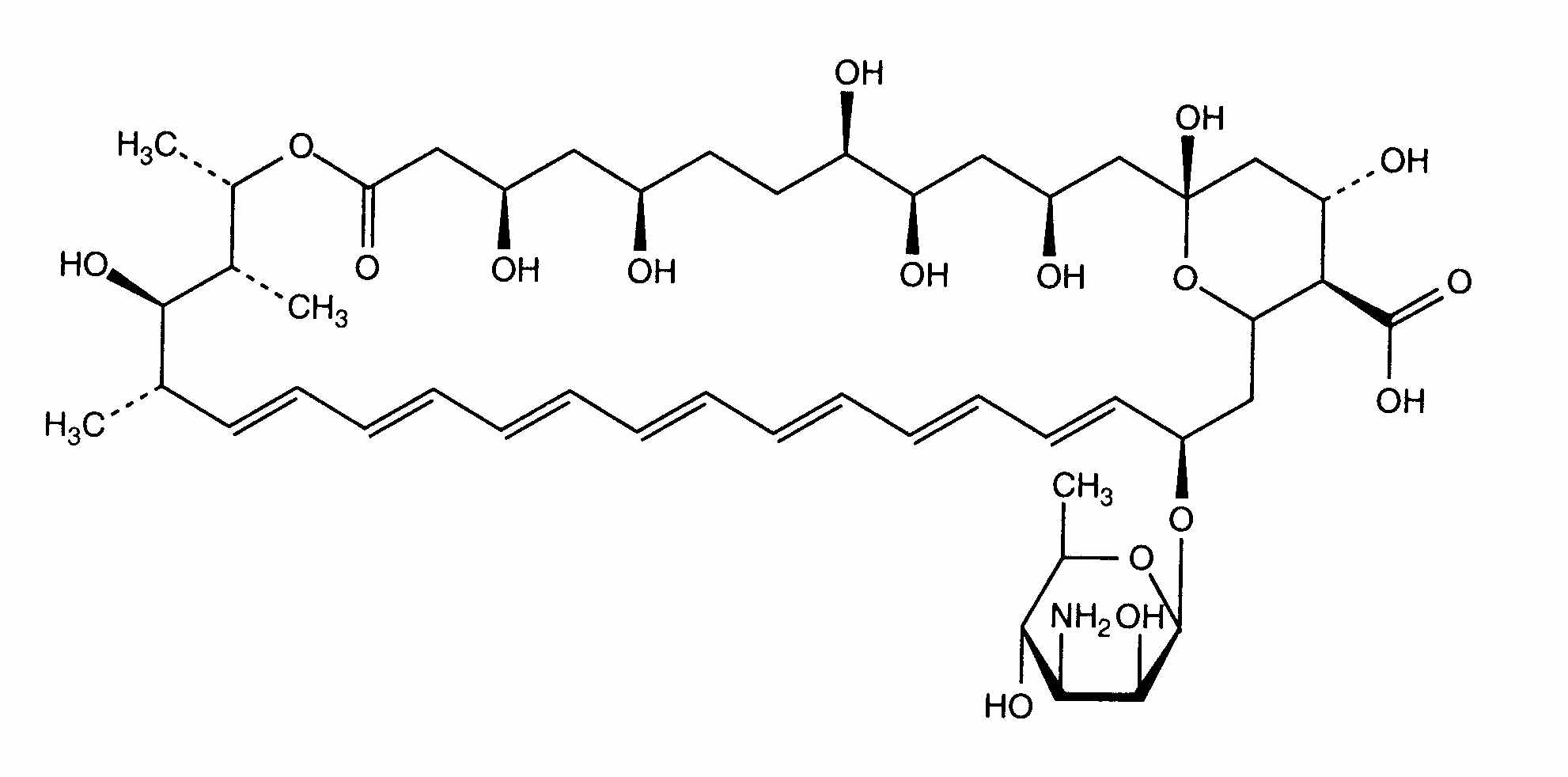
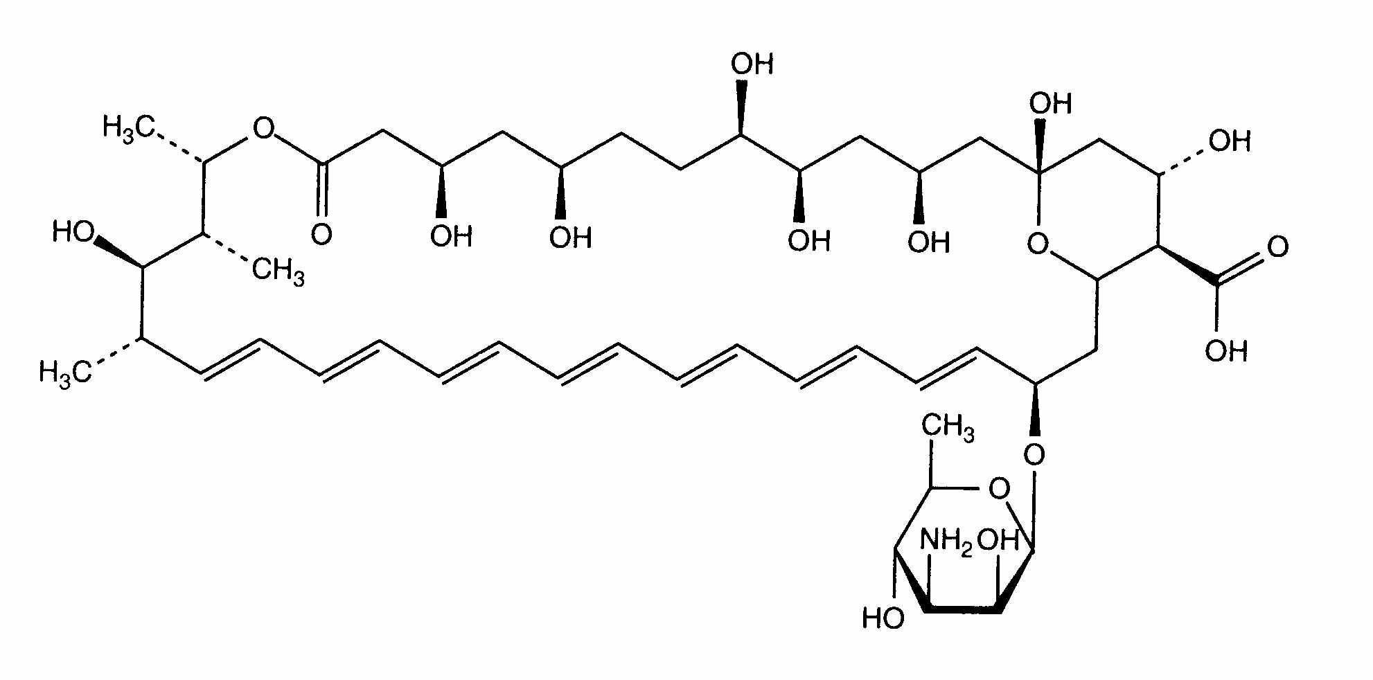
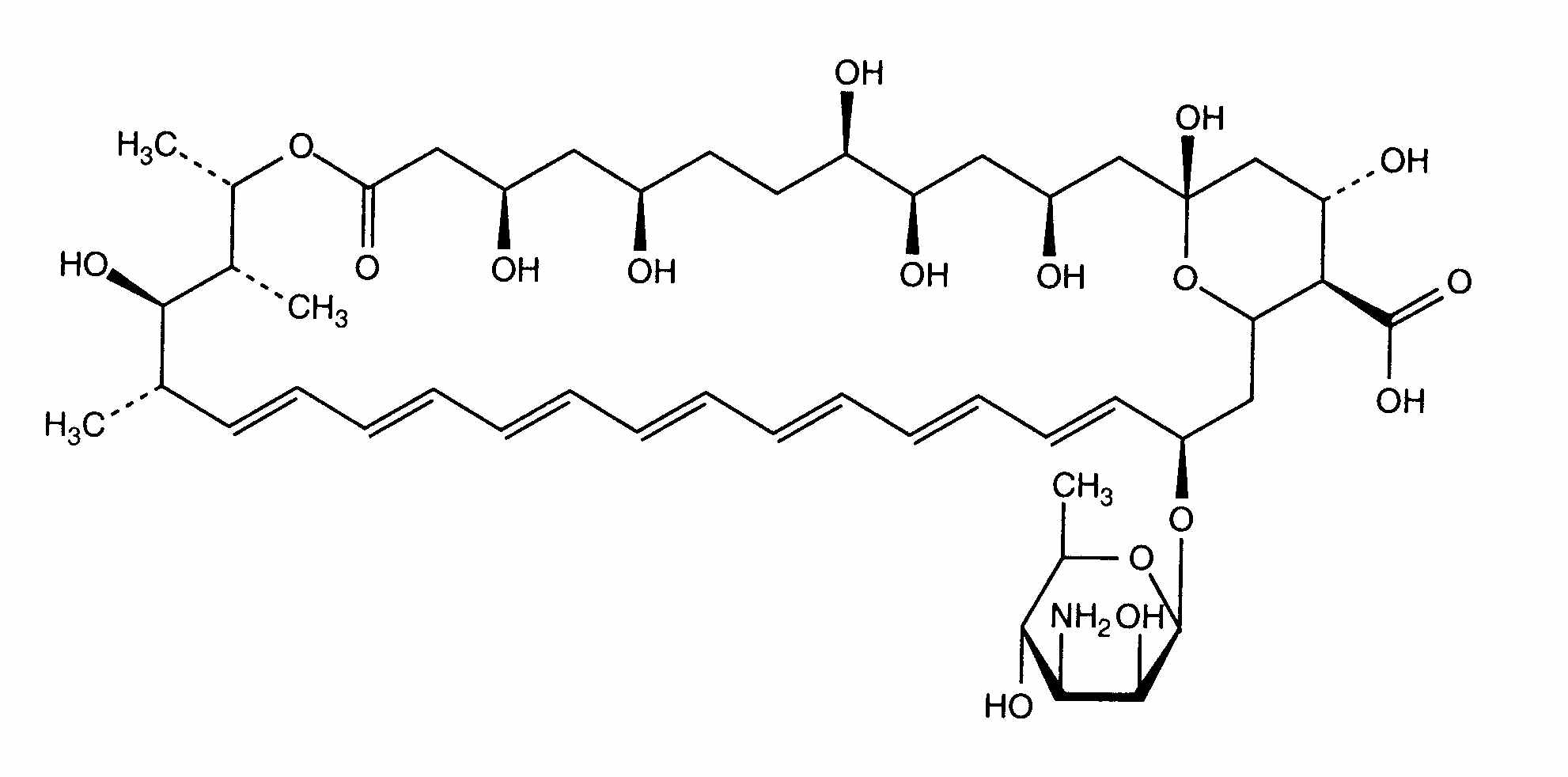
   Molecuulstructuur  

Merknamen in verschillende landen   Merknamen in verschillende landen     

Handelsnamen zijn slechts een indicatie; de samenstelling van hulpstoffen kan per land variëren afhankelijk van de fabrikant

Fungizone Canada, Colombia, Denemarken, Duitsland, Finland, Frankrijk, Griekenland, Groot Britannië, Hongarije, Ierland, Indië, Iran, Italië, Maleisië, Marokko, Nederland, nieuw Zeeland, Portugal, Tunisie, Turkije, USA, Venezuela, Zweden, Zwitserland
Toedieningswijze   Toedieningswijze :Amphotericin B     
Voie
Intraveneus infuus
Intrathecaal
Intravesicaal
Intrapleuraal
Intraperitoneaal
Intravitreaal
Intra-articulair
Subconjunctivaal

  Mentions Légales