Ostatnia aktualizacja :
18/03/2026
Lek przeciwgrzybiczny   Amphotericin B  
Injekcje
Aerozol Krople oczne Roztwór do płukania gardła Roztwór doustny
Trwałość roztworów Trwałość w mieszaninie Czynnik wpływający na trwałość Zgodność Sposób podania Bibliografia pdf
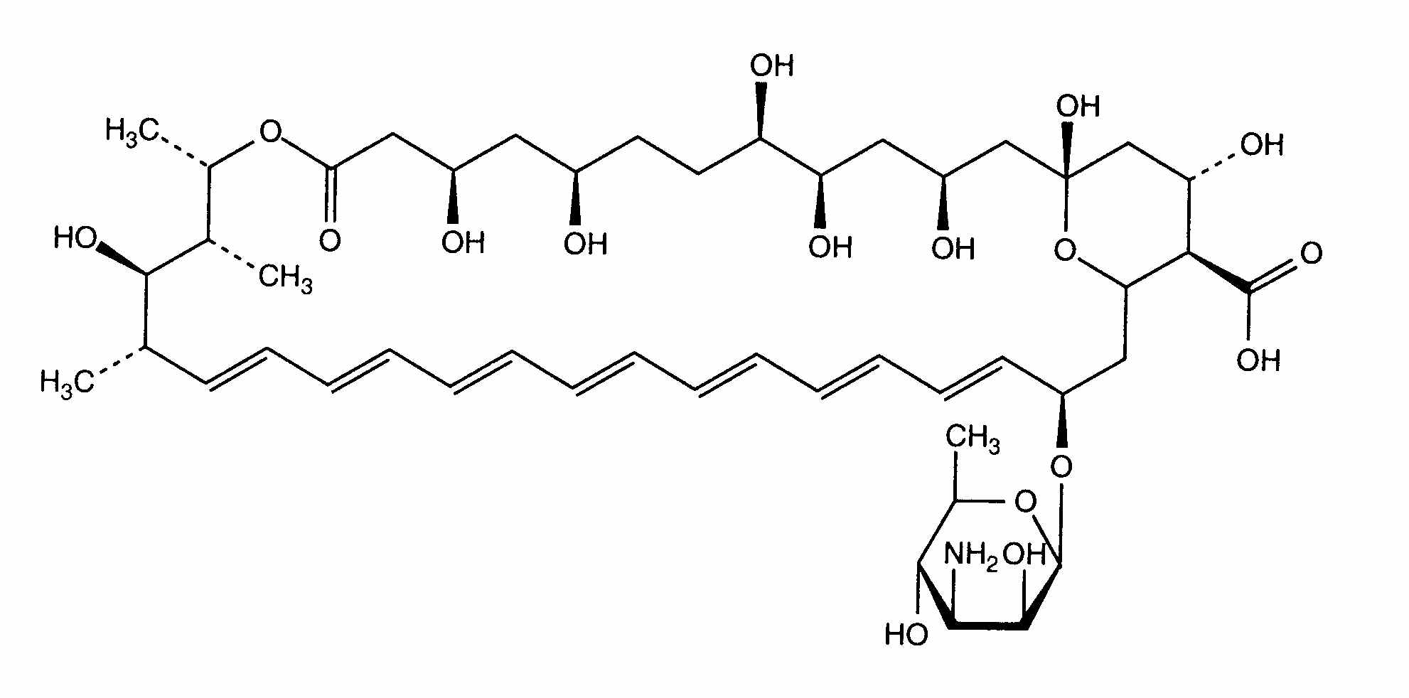
   Struktura chemiczna  

Nazwa handlowa   Nazwa handlowa     

Trade names are indicative and excipients composition can be different depending on the country and manufacturers

Fungizone Dania, Finlandia, Francja , Grecja, Holandia, Indie, Iran, Irlandia, Kanada, KolumbiaKolumbia, Malezja, Maroko, Niemcy, nowa Zelandia, Portugalia, Stany Zjednoczone Ameryki, Szwajcaria, Szwecja, Tunisie, Turcja, Węgry, Wenezuela, Wielka Brytania, Włochy
Zgodność   Injekcje   Zgodność : Amphotericin B              
Ekran ten wskazuje na kompatybilności lub niezgodności z, w tym przypadku, rodzajem niezgodności (strącanie, zmiana koloru, modyfikacja emulsji, itp.). Przedstawione tutaj kompatybilności są głównie fizyczne, a stabilność chemiczna każdej cząsteczki jest rzadko oceniana. Ocenę tych mieszanin badano w celu rozważenia możliwości podania pacjentowi w miejscu Y. Dane te nie mogą być wykorzystywane do sporządzania mieszanin z wyprzedzeniem w workach lub strzykawkach. Tego typu informacje są dostępne na ekranie „Stabilność w mieszaninie”.
Związek Rozpuszczalnik Bibliografia
Zgodny
Injekcje Amphotericin B 1.6 mg/ml
Injekcje Aldesleukin 0.0338 MUI/ml
Glukoza 5% 36
Natychmiastowe opady Niekompatybilny
Injekcje Amphotericin B 0.6 mg/ml
Injekcje Aztreonam 40 mg/ml
Glukoza 5% 99
Nieokreślona niezgodność Niekompatybilny
Injekcje Amphotericin B
Roztwór Ringera z mleczanem sodowym 3968
Utrata zmętnienia Niekompatybilny
Injekcje Amphotericin B 0.6 mg/ml
Injekcje Allopurinol sodium 3 mg/ml
Chlorek sodu 0,9% 307
Natychmiastowe zmętnienie Niekompatybilny
Injekcje Amphotericin B 0.6 mg/ml
Injekcje Amifostine 10 mg/ml
Glukoza 5% 3
Nieokreślona niezgodność Niekompatybilny
Injekcje Amphotericin B
Injekcje Amikacin sulfate
3549
Zgodny
Injekcje Amphotericin B 0,5 mg/ml
Injekcje Amiodarone hydrochloride 6 mg/ml
Glukoza 5% 1611
Natychmiastowe zmętnienie Niekompatybilny
Injekcje Amphotericin B 0,6 mg/ml
Injekcje Anidulafungin 0,5 mg/ml
Glukoza 5% 1982
Natychmiastowe opady Niekompatybilny
Injekcje Amphotericin B
Injekcje Bivalirudin
3539
Natychmiastowe opady Niekompatybilny
Injekcje Amphotericin B 0.6 mg/ml
Injekcje Bivalirudin 5 mg/ml
Glukoza 5% 1713
Zgodny
Injekcje Amphotericin B 0.1 mg/ml
Injekcje Caffeine 10 mg/ml
Glukoza 5% 4837
Zgodny
Injekcje Amphotericin B 0,1 mg/ml
Injekcje Caffeine citrate 20 mg/ml
Glukoza 5% 4837
Zgodny
Injekcje Amphotericin B
Glukoza 5% 3591
Utrata zmętnienia Niekompatybilny
Injekcje Amphotericin B 0.6 mg/ml
Injekcje Allopurinol sodium 3 mg/ml
Glukoza 5% 307
Natychmiastowe opady Niekompatybilny
Injekcje Amphotericin B 0.6 mg/ml
Injekcje Amsacrine 1 mg/ml
Glukoza 5% 253
Niekompatybilny
Injekcje Amphotericin B 0.1 mg/ml
Roztwór Ringera z mleczanem sodowym 1172
Nieokreślona niezgodność Niekompatybilny
Injekcje Amphotericin B
Injekcje Calcium gluconate
3644
Opady po 1 godzinie Niekompatybilny
Injekcje Amphotericin B
Injekcje Cefotaxime sodium
Chlorek sodu 0,9% 3871
Natychmiastowe zmętnienie Niekompatybilny
Injekcje Amphotericin B 0,6 mg/ml
Injekcje Ceftaroline fosamil 2,22 mg/ml
Roztwór Ringera z mleczanem sodowym 3249
Natychmiastowe opady Niekompatybilny
Injekcje Amphotericin B
NaCl 0,9% + bakteriostatyk 3591
Natychmiastowe opady Niekompatybilny
Injekcje Amphotericin B 0.6 mg/ml
Odżywianie pozajelitowe (mieszanina binarny) 301
Natychmiastowe opady Niekompatybilny
Injekcje Amphotericin B 1 mg/ml
Injekcje Cefiderocol sulfate tosylate 20 mg/mL
Chlorek sodu 0,9% 4528
Niestabilność chemiczna Niekompatybilny
Injekcje Amphotericin B 0.1 mg/ml
Injekcje Cefpirome sulfate 50 mg/ml
Chlorek sodu 0,9% 280
Natychmiastowe zmętnienie Niekompatybilny
Injekcje Amphotericin B 0,6 mg/ml
Injekcje Ceftaroline fosamil 2,22 mg/ml
Chlorek sodu 0,9% 3249
Natychmiastowe opady Niekompatybilny
Injekcje Amphotericin B 0.6 mg/ml
Injekcje Ceftobiprole medocaril sodium 2 mg/ml
Chlorek sodu 0,9% 2269
Natychmiastowe opady Niekompatybilny
Injekcje Amphotericin B 0.6 mg/ml
Żywienie pozajelitowe (lipidami) 1415
Natychmiastowe zmętnienie Niekompatybilny
Injekcje Amphotericin B 0.1 mg/ml
Injekcje Cimetidine hydrochloride 0.6 mg/ml
Glukoza 5% 1201
Natychmiastowe opady Niekompatybilny
Injekcje Amphotericin B 0,6 & 1,2 mg/ml
Żywienie pozajelitowe (lipidami) 2043
Natychmiastowa niestabilność emulsji Niekompatybilny
Injekcje Amphotericin B 0.01 >> 5 mg/ml
Żywienie pozajelitowe (lipidami) 1498
Natychmiastowe zmętnienie Niekompatybilny
Injekcje Amphotericin B 0.1 mg/ml
Injekcje Ceftolozane / tazobactam 10/5 mg/ml
Glukoza 5% 3828
Natychmiastowe opady Niekompatybilny
Injekcje Amphotericin B 1.35 mg/ml
Żywienie pozajelitowe (lipidami) 793
Natychmiastowe opady Niekompatybilny
Injekcje Amphotericin B 0.6 mg/ml
Injekcje Ceftobiprole medocaril sodium 2 mg/ml
Roztwór Ringera z mleczanem sodowym 2269
Niestabilność chemiczna Niekompatybilny
Injekcje Amphotericin B 0.09 mg/ml
Żywienie pozajelitowe (lipidami) 984
Nieokreślona niezgodność Niekompatybilny
Injekcje Amphotericin B
Injekcje Calcium gluconate
4964
Natychmiastowe opady Niekompatybilny
Injekcje Amphotericin B 0,6 mg/ml
Injekcje Caspofungin acetate 0,7 mg/ml
Chlorek sodu 0,9% 2247
Natychmiastowe zmętnienie Niekompatybilny
Injekcje Amphotericin B 0,6 mg/ml
Injekcje Ceftaroline fosamil 2,22 mg/ml
Glukoza 5% 3249
Zgodny
Injekcje Amphotericin B
Injekcje Ceftazidime
3883
Nieokreślona niezgodność Niekompatybilny
Injekcje Amphotericin B
Injekcje Ceftobiprole medocaril sodium
4650
Natychmiastowe opady Niekompatybilny
Injekcje Amphotericin B
Żywienie pozajelitowe (lipidami) 270
Natychmiastowe opady Niekompatybilny
Injekcje Amphotericin B 0.6 mg/ml
Injekcje Ceftobiprole medocaril sodium 2 mg/ml
Glukoza 5% 2269
Natychmiastowa niestabilność emulsji Niekompatybilny
Injekcje Amphotericin B 0.6 mg/ml
Żywienie pozajelitowe (lipidami) 265
Natychmiastowe opady Niekompatybilny
Injekcje Amphotericin B 1 mg/ml
Injekcje Cefiderocol sulfate tosylate 20 mg/mL
Glukoza 5% 4528
Niestabilność chemiczna Niekompatybilny
Injekcje Amphotericin B 0.1 mg/ml
Injekcje Cefpirome sulfate 50 mg/ml
Chlorek sodu 0,45% 280
Niestabilność chemiczna Niekompatybilny
Injekcje Amphotericin B 0.1 mg/ml
Injekcje Cefpirome sulfate 50 mg/ml
Roztwór Ringera z mleczanem sodowym 280
Niestabilność chemiczna Niekompatybilny
Injekcje Amphotericin B 0.1 mg/ml
Injekcje Cefpirome sulfate 50 mg/ml
Glukoza 5% 280
Natychmiastowe opady Niekompatybilny
Injekcje Amphotericin B 0.1 mg/ml
Injekcje Ciprofloxacin lactate 2 mg/ml
Glukoza 5% 285
Natychmiastowe opady Niekompatybilny
Injekcje Amphotericin B
Chlorek sodu 0,9% 3591
Zgodny
Injekcje Amphotericin B 0.6 mg/ml
Injekcje Cisatracurium besylate 0.1 mg/ml
Glukoza 5% 299
Natychmiastowe opady Niekompatybilny
Injekcje Amphotericin B 0.6 mg/ml
Injekcje Cisatracurium besylate 2 & 5 mg/ml
Glukoza 5% 299
Natychmiastowe opady Niekompatybilny
Injekcje Amphotericin B 0.6 mg/ml
Injekcje Dexmedetomidine 4 µg/ml
Glukoza 5% 1712
Zgodny
Injekcje Amphotericin B 0.1 mg/ml
Injekcje Diltiazem hydrochloride 1 mg/ml
Chlorek sodu 0,9% 198
Natychmiastowe zmętnienie Niekompatybilny
Injekcje Amphotericin B 0.6 mg/ml
Injekcje Docetaxel 0.9 mg/ml
Glukoza 5% 1754
Natychmiastowe opady Niekompatybilny
Injekcje Amphotericin B
Injekcje Dopamine hydrochloride
Glukoza 5% 3638
Zgodny
Injekcje Amphotericin B 0,6 mg/ml
Injekcje Doripenem 5 mg/ml
Glukoza 5% 2262
Natychmiastowe opady Niekompatybilny
Injekcje Amphotericin B 0.6 mg/ml
Injekcje Doxorubicin hydrochloride liposome peg 0.4 mg/ml
Glukoza 5% 251
Natychmiastowe opady Niekompatybilny
Injekcje Amphotericin B 0.6 mg/ml
Injekcje Etoposide phosphate 5 mg/ml
Glukoza 5% 1410
Niekompatybilny
Injekcje Amphotericin B 0.1 mg/ml
Chlorek sodu 0,9% 1172
Natychmiastowe opady Niekompatybilny
Injekcje Amphotericin B 0.6 mg/ml
Injekcje Doripenem 5 mg/ml
Chlorek sodu 0,9% 2262
Zmętnienie w 4 godziny Niekompatybilny
Injekcje Amphotericin B 0.1 mg/ml
Injekcje Enalaprilate 1.25 mg/ml
Glukoza 5% 201
Zmętnienie w ciągu 2 godzin Niekompatybilny
Injekcje Amphotericin B 0.1 mg/ml
Injekcje Enalaprilate 0.0125 mg/ml
Glukoza 5% 1703
Zgodny
Injekcje Amphotericin B 0.6 mg/ml
Injekcje Famotidine 2 mg/ml
Chlorek sodu 0,9% 215
Natychmiastowe opady Niekompatybilny
Injekcje Amphotericin B 0.6 mg/ml
Injekcje Fenoldopam mesylate 80 µg/ml
Chlorek sodu 0,9% 1803
Natychmiastowe opady Niekompatybilny
Injekcje Amphotericin B 0.6 mg/ml
Injekcje Filgrastim 30 µg/ml
Glukoza 5% 244
Zmętnienie w ciągu godziny Niekompatybilny
Injekcje Amphotericin B 5 mg/ml
Injekcje Fluconazole 2 mg/ml
Chlorek sodu 0,9% 496
Zgodny
Injekcje Amphotericin B 0.1 mg/ml
Injekcje Fluconazole 2 mg/ml
Żaden 256
Opady po 4 godzinach Niekompatybilny
Injekcje Amphotericin B 0.6 mg/ml
Injekcje Fludarabine phosphate 1 mg/ml
Glukoza 5% 492
Nieokreślona niezgodność Niekompatybilny
Injekcje Amphotericin B
Injekcje Foscarnet sodium
3662
Natychmiastowe zmętnienie Niekompatybilny
Injekcje Amphotericin B 0.6 mg/ml
Injekcje Foscarnet sodium 24 mg/ml
Glukoza 5% 1135
Natychmiastowe opady Niekompatybilny
Injekcje Amphotericin B 5 mg/ml
Injekcje Foscarnet sodium 24 mg/ml
Żaden 73
Natychmiastowe zmętnienie Niekompatybilny
Injekcje Amphotericin B 0.1 mg/ml
Injekcje Fosfomycin 30 mg/ml
Glukoza 5% 4055
Natychmiastowe opady Niekompatybilny
Injekcje Amphotericin B 0.6 mg/ml
Injekcje Gemcitabine hydrochloride 10 mg/ml
Chlorek sodu 0,9% 1423
Natychmiastowe zmętnienie Niekompatybilny
Injekcje Amphotericin B 0.6 mg/ml
Injekcje Granisetron hydrochloride 0.05 mg/ml
Glukoza 5% 182
Natychmiastowe opady Niekompatybilny
Injekcje Amphotericin B 0.6 mg/ml
Injekcje Hetastarch 60 mg/ml
danego rozpuszczalnika 1721
Natychmiastowe zmętnienie Niekompatybilny
Injekcje Amphotericin B 0.1 mg/ml
Injekcje Isavuconazonium sulfate 1.5 mg/ml
Glukoza 5% 3829
Natychmiastowe opady Niekompatybilny
Injekcje Amphotericin B 0.6 mg/ml
Injekcje Lansoprazole 0.55 mg/ml
Chlorek sodu 0,9% 1625
Nieokreślona niezgodność Niekompatybilny
Injekcje Amphotericin B
Injekcje Lidocaine hydrochloride
5060
Natychmiastowe opady Niekompatybilny
Injekcje Amphotericin B 0.6 mg/ml
Injekcje Linezolid 2 mg/ml
Żaden 1925
Nieokreślona niezgodność Niekompatybilny
Injekcje Amphotericin B
Injekcje Linezolid
3560
Opady po 2 godzinach Niekompatybilny
Injekcje Amphotericin B 0,04 & 0,08 mg/ml
Injekcje Magnesium sulfate 2 & 4 mg/ml
Glukoza 5% 682
Natychmiastowe zmętnienie Niekompatybilny
Injekcje Amphotericin B 0.6 mg/ml
Injekcje Melphalan 0.1 mg/ml
Chlorek sodu 0,9% 169
Niestabilność chemiczna Niekompatybilny
Injekcje Amphotericin B 0.6 mg/ml
Injekcje Melphalan 0.1 mg/ml
Glukoza 5% 169
Zgodny
Injekcje Amphotericin B 5 mg/ml
Injekcje Meropenem 1 & 50 mg/ml
Chlorek sodu 0,9% 266
Zgodny
Injekcje Amphotericin B 0.2 mg/ml
Injekcje Meropenem 1 & 20 mg/ml
Chlorek sodu 0,9% 266
Nieokreślona niezgodność Niekompatybilny
Injekcje Amphotericin B
Injekcje Metaraminol
5046
Nieokreślona niezgodność Niekompatybilny
Injekcje Amphotericin B
Injekcje N-acetylcysteine 200 mg/ml
Żaden 3766
Natychmiastowe opady Niekompatybilny
Injekcje Amphotericin B 0,5 mg/ml
Injekcje Nalbuphine hydrochloride 0,05 >>0,33 mg/ml
Chlorek sodu 0,9% 5097
Natychmiastowe opady Niekompatybilny
Injekcje Amphotericin B 0,5 mg/ml
Injekcje Nalbuphine hydrochloride 0,05 >> 0,33 mg/ml
Glukoza 5% 4867
Nieokreślona niezgodność Niekompatybilny
Injekcje Amphotericin B 4 mg/ml
Injekcje Naloxone hydrochloride 0.4 mg/ml
Żaden 3408
Natychmiastowe zmętnienie Niekompatybilny
Injekcje Amphotericin B 0.6 mg/ml
Injekcje Ondansetron hydrochloride 1 mg/ml
Glukoza 5% 334
Natychmiastowe zmętnienie Niekompatybilny
Injekcje Amphotericin B 0.1 mg/ml
Injekcje Oritavancin 0.8>>2 mg/ml
Glukoza 5% 3152
Natychmiastowe zmętnienie Niekompatybilny
Injekcje Amphotericin B 0.6 mg/ml
Injekcje Paclitaxel 1.2 mg/ml
Glukoza 5% 248
Zmętnienie w ciągu godziny Niekompatybilny
Injekcje Amphotericin B
Injekcje Pantoprazole sodium
2090
Natychmiastowe opady Niekompatybilny
Injekcje Amphotericin B 0.6 mg/ml
Injekcje Pemetrexed disodium 20 mg/ml
Chlorek sodu 0,9% 1953
Nieokreślona niezgodność Niekompatybilny
Injekcje Amphotericin B
Injekcje Penicillin G sodium
3585
Zgodny
Injekcje Amphotericin B 0,1 mg/ml
Injekcje Pentoxifyllin 5 mg/ml
Glukoza 5% 4543
Zgodny
Injekcje Amphotericin B 1 mg/ml
Injekcje Phloroglucinol 2,5 mg/ml
3791
Natychmiastowe opady Niekompatybilny
Injekcje Amphotericin B 0.6 mg/ml
Injekcje Piperacillin sodium / tazobactam 40/5 mg/ml
Glukoza 5% 81
Natychmiastowe zmętnienie Niekompatybilny
Injekcje Amphotericin B 0,1 mg/ml
Injekcje Plazomicin sulfate 24 mg/ml
Chlorek sodu 0,9% 4145
Natychmiastowe opady Niekompatybilny
Injekcje Amphotericin B 0.6 mg/ml
Injekcje Propofol 10 mg/ml
Żaden 300
Zgodny
Injekcje Amphotericin B 0.6 mg/ml
Injekcje Remifentanil hydrochloride 25 µg/ml
Glukoza 5% 59
Natychmiastowe opady Niekompatybilny
Injekcje Amphotericin B 0.6 mg/ml
Injekcje Remifentanil hydrochloride 250 µg/ml
Glukoza 5% 59
Nieokreślona niezgodność Niekompatybilny
Injekcje Amphotericin B
Injekcje Rocuronium bromide
3564
Natychmiastowe zmętnienie Niekompatybilny
Injekcje Amphotericin B 50 mg/ml
Injekcje Salbutamol sulfate 1 mg/ml
Żaden 3216
Zgodny
Injekcje Amphotericin B 0.6 mg/ml
Injekcje Sargramostim 10 µg/ml
Glukoza 5% 335
Natychmiastowe opady Niekompatybilny
Injekcje Amphotericin B 0.6 mg/ml
Injekcje Sargramostim 10 µg/ml
Chlorek sodu 0,9% 335
Natychmiastowe opady Niekompatybilny
Injekcje Amphotericin B 0,1 mg/ml
Injekcje Sildenafil citrate 0,6 mg/ml
Glukoza 5% 4845
Niestabilność chemiczna Niekompatybilny
Injekcje Amphotericin B 0.1 mg/ml
Injekcje Sildenafil citrate 0,6 mg/ml
Glukoza 5% 4845
Zgodny
Injekcje Amphotericin B 5 mg/ml
Injekcje Tacrolimus 1000 µg/ml
Woda do wstrzyknięć 479
Natychmiastowe zmętnienie Niekompatybilny
Injekcje Amphotericin B 0,1 mg/ml
Injekcje Telavancin hydrochloride 7,5 mg/ml
Glukoza 5% 3254
Zgodny
Injekcje Amphotericin B 0.6 mg/ml
Injekcje Teniposide 0.1 mg/ml
Glukoza 5% 905
Natychmiastowe opady Niekompatybilny
Injekcje Amphotericin B
Injekcje Thiopental sodium 25 mg/ml
Chlorek sodu 0,9% 3767
Zgodny
Injekcje Amphotericin B 0.6 mg/ml
Injekcje Thiotepa 1 mg/ml
Glukoza 5% 249
Nieokreślona niezgodność Niekompatybilny
Injekcje Amphotericin B
Injekcje Tigecycline
3332
Opady po 8 godzinach Niekompatybilny
Injekcje Amphotericin B 0.1 mg/ml
Injekcje Verapamil hydrochloride 0.08 mg/ml
Glukoza 5% 1057
Natychmiastowe opady Niekompatybilny
Injekcje Amphotericin B 0.1 mg/ml
Injekcje Verapamil hydrochloride 0.08 mg/ml
Chlorek sodu 0,9% 1057
Natychmiastowe opady Niekompatybilny
Injekcje Amphotericin B 0.6 mg/ml
Injekcje Vinorelbine tartrate 1 mg/ml
Glukoza 5% 84
Zgodny
Injekcje Amphotericin B 0.6 mg/ml
Injekcje Zidovudine 4 mg/ml
Glukoza 5% 337
Natychmiastowe opady Niekompatybilny
Injekcje Amphotericin B ? mg/ml
Chlorek sodu 0,9% 892
Natychmiastowe opady Niekompatybilny
Injekcje Amphotericin B 0.6 mg/ml
Injekcje Vinorelbine tartrate 1 mg/ml
Chlorek sodu 0,9% 84

  Mentions Légales