Pēdējā atjaunošana :
18/03/2026
Pretsēnīšu līdzeklis   Amphotericin B  
Injekcija
Acu pilieni Aerosols Mutes skalojamais līdzeklis Orāls šķīdums
Šķīduma stabilitāte Maisījuma stabilitāte Stabilitāti ietekmējoši faktori Saderība Levadīšanas veids Literatūras saraksts pdf
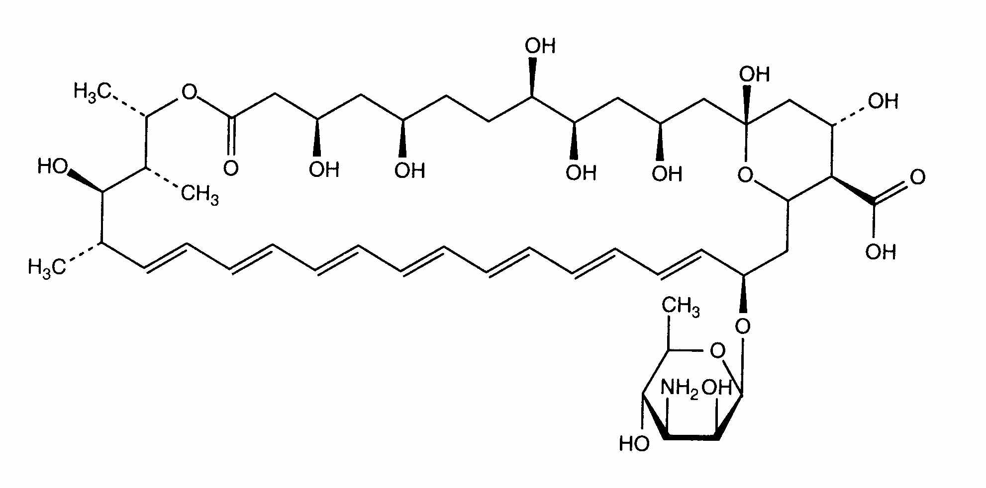
   Ķīmiskā uzbūve   

Oriģinālais nosaukums   Oriģinālais nosaukums     

Tirdzniecības nosaukumi ir apzīmējoši un palīgvielas var atšķirties dažādām valstīm un laboratorijām

Fungizone Amerikas Savienotās Valstis, Dānija, Francija, Grieķija, Holande, Indija, Irāna, Īrija, Itālija, Jaunzēlande, Kanāda, Kolumbija, Lielbritānija, Malaizija, Maroka, Portugāle, Somija, Šveice, Tunisija, Turcija, Ungārija, Vācija, Venecuēla, Zviedrija
Saderība   Injekcija   Saderība : Amphotericin B              
Šī tabula parāda zāļu saderību vai nesaderību, pēc iespējas arī nesaderības tipu (precipitācija, krāsas maiņa, emulsijas sadalīšanās utt). Parādītas šeit saderības ir pārsvarā tikai fizikālās, pēc iespējas tiek parādīta ķīmiskā stabilitāte katrai molekulai. Šo maisījumu analīze tikai veikta, lai izprastu iespējamību ievadīt zāles Y-savienojuma vietā sistēmā pacientam. Šie dati nevar tikt izmantoti, lai pagatavot zāļu maisījumus vēlākai lietošanai maisos vai šļircēs. Šī informācija ir pieejama sadaļā "Maisījuma stabilitāte".
Savienojums Šķīdinātājs Literatūras saraksts
Savietojams
Injekcija Amphotericin B 1.6 mg/ml
Injekcija Aldesleukin 0.0338 MUI/ml
5% glikoze 36
Tūlītēji nokrišņi Nesavienojams
Injekcija Amphotericin B 0.6 mg/ml
Injekcija Aztreonam 40 mg/ml
5% glikoze 99
Neprecizēta nesaderība Nesavienojams
Injekcija Amphotericin B
Ringera laktāta šķīdums 3968
Duļķainības zudums Nesavienojams
Injekcija Amphotericin B 0.6 mg/ml
Injekcija Allopurinol sodium 3 mg/ml
Nātrija hlorīds 0.9% 307
Tūlītēja duļķainība Nesavienojams
Injekcija Amphotericin B 0.6 mg/ml
Injekcija Amifostine 10 mg/ml
5% glikoze 3
Neprecizēta nesaderība Nesavienojams
Injekcija Amphotericin B
Injekcija Amikacin sulfate
3549
Savietojams
Injekcija Amphotericin B 0,5 mg/ml
Injekcija Amiodarone hydrochloride 6 mg/ml
5% glikoze 1611
Tūlītēja duļķainība Nesavienojams
Injekcija Amphotericin B 0,6 mg/ml
Injekcija Anidulafungin 0,5 mg/ml
5% glikoze 1982
Tūlītēji nokrišņi Nesavienojams
Injekcija Amphotericin B
Injekcija Bivalirudin
3539
Tūlītēji nokrišņi Nesavienojams
Injekcija Amphotericin B 0.6 mg/ml
Injekcija Bivalirudin 5 mg/ml
5% glikoze 1713
Savietojams
Injekcija Amphotericin B 0.1 mg/ml
Injekcija Caffeine 10 mg/ml
5% glikoze 4837
Savietojams
Injekcija Amphotericin B 0,1 mg/ml
Injekcija Caffeine citrate 20 mg/ml
5% glikoze 4837
Savietojams
Injekcija Amphotericin B
5% glikoze 3591
Duļķainības zudums Nesavienojams
Injekcija Amphotericin B 0.6 mg/ml
Injekcija Allopurinol sodium 3 mg/ml
5% glikoze 307
Tūlītēji nokrišņi Nesavienojams
Injekcija Amphotericin B 0.6 mg/ml
Injekcija Amsacrine 1 mg/ml
5% glikoze 253
Nesavienojams
Injekcija Amphotericin B 0.1 mg/ml
Ringera laktāta šķīdums 1172
Neprecizēta nesaderība Nesavienojams
Injekcija Amphotericin B
Injekcija Calcium gluconate
3644
Nokrišņi pēc 1 stundas Nesavienojams
Injekcija Amphotericin B
Injekcija Cefotaxime sodium
Nātrija hlorīds 0.9% 3871
Tūlītēja duļķainība Nesavienojams
Injekcija Amphotericin B 0,6 mg/ml
Injekcija Ceftaroline fosamil 2,22 mg/ml
Ringera laktāta šķīdums 3249
Tūlītēji nokrišņi Nesavienojams
Injekcija Amphotericin B
0.9% NaCl + antibakteriāls 3591
Tūlītēji nokrišņi Nesavienojams
Injekcija Amphotericin B 0.6 mg/ml
Parenterāla barošana (lipīdu-free) 301
Tūlītēji nokrišņi Nesavienojams
Injekcija Amphotericin B 1 mg/ml
Injekcija Cefiderocol sulfate tosylate 20 mg/mL
Nātrija hlorīds 0.9% 4528
Ķīmiskā nestabilitāte Nesavienojams
Injekcija Amphotericin B 0.1 mg/ml
Injekcija Cefpirome sulfate 50 mg/ml
Nātrija hlorīds 0.9% 280
Tūlītēja duļķainība Nesavienojams
Injekcija Amphotericin B 0,6 mg/ml
Injekcija Ceftaroline fosamil 2,22 mg/ml
Nātrija hlorīds 0.9% 3249
Tūlītēji nokrišņi Nesavienojams
Injekcija Amphotericin B 0.6 mg/ml
Injekcija Ceftobiprole medocaril sodium 2 mg/ml
Nātrija hlorīds 0.9% 2269
Tūlītēji nokrišņi Nesavienojams
Injekcija Amphotericin B 0.6 mg/ml
Parenterāla barošana (ar lipīdiem) 1415
Tūlītēja duļķainība Nesavienojams
Injekcija Amphotericin B 0.1 mg/ml
Injekcija Cimetidine hydrochloride 0.6 mg/ml
5% glikoze 1201
Tūlītēji nokrišņi Nesavienojams
Injekcija Amphotericin B 0,6 & 1,2 mg/ml
Parenterāla barošana (ar lipīdiem) 2043
Tūlītēja emulsijas nestabilitāte Nesavienojams
Injekcija Amphotericin B 0.01 >> 5 mg/ml
Parenterāla barošana (ar lipīdiem) 1498
Tūlītēja duļķainība Nesavienojams
Injekcija Amphotericin B 0.1 mg/ml
Injekcija Ceftolozane / tazobactam 10/5 mg/ml
5% glikoze 3828
Tūlītēji nokrišņi Nesavienojams
Injekcija Amphotericin B 1.35 mg/ml
Parenterāla barošana (ar lipīdiem) 793
Tūlītēji nokrišņi Nesavienojams
Injekcija Amphotericin B 0.6 mg/ml
Injekcija Ceftobiprole medocaril sodium 2 mg/ml
Ringera laktāta šķīdums 2269
Ķīmiskā nestabilitāte Nesavienojams
Injekcija Amphotericin B 0.09 mg/ml
Parenterāla barošana (ar lipīdiem) 984
Neprecizēta nesaderība Nesavienojams
Injekcija Amphotericin B
Injekcija Calcium gluconate
4964
Tūlītēji nokrišņi Nesavienojams
Injekcija Amphotericin B 0,6 mg/ml
Injekcija Caspofungin acetate 0,7 mg/ml
Nātrija hlorīds 0.9% 2247
Tūlītēja duļķainība Nesavienojams
Injekcija Amphotericin B 0,6 mg/ml
Injekcija Ceftaroline fosamil 2,22 mg/ml
5% glikoze 3249
Savietojams
Injekcija Amphotericin B
Injekcija Ceftazidime
3883
Neprecizēta nesaderība Nesavienojams
Injekcija Amphotericin B
Injekcija Ceftobiprole medocaril sodium
4650
Tūlītēji nokrišņi Nesavienojams
Injekcija Amphotericin B
Parenterāla barošana (ar lipīdiem) 270
Tūlītēji nokrišņi Nesavienojams
Injekcija Amphotericin B 0.6 mg/ml
Injekcija Ceftobiprole medocaril sodium 2 mg/ml
5% glikoze 2269
Tūlītēja emulsijas nestabilitāte Nesavienojams
Injekcija Amphotericin B 0.6 mg/ml
Parenterāla barošana (ar lipīdiem) 265
Tūlītēji nokrišņi Nesavienojams
Injekcija Amphotericin B 1 mg/ml
Injekcija Cefiderocol sulfate tosylate 20 mg/mL
5% glikoze 4528
Ķīmiskā nestabilitāte Nesavienojams
Injekcija Amphotericin B 0.1 mg/ml
Injekcija Cefpirome sulfate 50 mg/ml
Nātrija hlorīds 0.45% 280
Ķīmiskā nestabilitāte Nesavienojams
Injekcija Amphotericin B 0.1 mg/ml
Injekcija Cefpirome sulfate 50 mg/ml
Ringera laktāta šķīdums 280
Ķīmiskā nestabilitāte Nesavienojams
Injekcija Amphotericin B 0.1 mg/ml
Injekcija Cefpirome sulfate 50 mg/ml
5% glikoze 280
Tūlītēji nokrišņi Nesavienojams
Injekcija Amphotericin B 0.1 mg/ml
Injekcija Ciprofloxacin lactate 2 mg/ml
5% glikoze 285
Tūlītēji nokrišņi Nesavienojams
Injekcija Amphotericin B
Nātrija hlorīds 0.9% 3591
Savietojams
Injekcija Amphotericin B 0.6 mg/ml
Injekcija Cisatracurium besylate 0.1 mg/ml
5% glikoze 299
Tūlītēji nokrišņi Nesavienojams
Injekcija Amphotericin B 0.6 mg/ml
Injekcija Cisatracurium besylate 2 & 5 mg/ml
5% glikoze 299
Tūlītēji nokrišņi Nesavienojams
Injekcija Amphotericin B 0.6 mg/ml
Injekcija Dexmedetomidine 4 µg/ml
5% glikoze 1712
Savietojams
Injekcija Amphotericin B 0.1 mg/ml
Injekcija Diltiazem hydrochloride 1 mg/ml
Nātrija hlorīds 0.9% 198
Tūlītēja duļķainība Nesavienojams
Injekcija Amphotericin B 0.6 mg/ml
Injekcija Docetaxel 0.9 mg/ml
5% glikoze 1754
Tūlītēji nokrišņi Nesavienojams
Injekcija Amphotericin B
Injekcija Dopamine hydrochloride
5% glikoze 3638
Savietojams
Injekcija Amphotericin B 0,6 mg/ml
Injekcija Doripenem 5 mg/ml
5% glikoze 2262
Tūlītēji nokrišņi Nesavienojams
Injekcija Amphotericin B 0.6 mg/ml
Injekcija Doxorubicin hydrochloride liposome peg 0.4 mg/ml
5% glikoze 251
Tūlītēji nokrišņi Nesavienojams
Injekcija Amphotericin B 0.6 mg/ml
Injekcija Etoposide phosphate 5 mg/ml
5% glikoze 1410
Nesavienojams
Injekcija Amphotericin B 0.1 mg/ml
Nātrija hlorīds 0.9% 1172
Tūlītēji nokrišņi Nesavienojams
Injekcija Amphotericin B 0.6 mg/ml
Injekcija Doripenem 5 mg/ml
Nātrija hlorīds 0.9% 2262
Drumstumas per 4 valandas Nesavienojams
Injekcija Amphotericin B 0.1 mg/ml
Injekcija Enalaprilate 1.25 mg/ml
5% glikoze 201
Duļķainība 2 stundu laikā Nesavienojams
Injekcija Amphotericin B 0.1 mg/ml
Injekcija Enalaprilate 0.0125 mg/ml
5% glikoze 1703
Savietojams
Injekcija Amphotericin B 0.6 mg/ml
Injekcija Famotidine 2 mg/ml
Nātrija hlorīds 0.9% 215
Tūlītēji nokrišņi Nesavienojams
Injekcija Amphotericin B 0.6 mg/ml
Injekcija Fenoldopam mesylate 80 µg/ml
Nātrija hlorīds 0.9% 1803
Tūlītēji nokrišņi Nesavienojams
Injekcija Amphotericin B 0.6 mg/ml
Injekcija Filgrastim 30 µg/ml
5% glikoze 244
Duļķainums vienā stundā Nesavienojams
Injekcija Amphotericin B 5 mg/ml
Injekcija Fluconazole 2 mg/ml
Nātrija hlorīds 0.9% 496
Savietojams
Injekcija Amphotericin B 0.1 mg/ml
Injekcija Fluconazole 2 mg/ml
Nekāds 256
Nokrišņi pēc 4 stundām Nesavienojams
Injekcija Amphotericin B 0.6 mg/ml
Injekcija Fludarabine phosphate 1 mg/ml
5% glikoze 492
Neprecizēta nesaderība Nesavienojams
Injekcija Amphotericin B
Injekcija Foscarnet sodium
3662
Tūlītēja duļķainība Nesavienojams
Injekcija Amphotericin B 0.6 mg/ml
Injekcija Foscarnet sodium 24 mg/ml
5% glikoze 1135
Tūlītēji nokrišņi Nesavienojams
Injekcija Amphotericin B 5 mg/ml
Injekcija Foscarnet sodium 24 mg/ml
Nekāds 73
Tūlītēja duļķainība Nesavienojams
Injekcija Amphotericin B 0.1 mg/ml
Injekcija Fosfomycin 30 mg/ml
5% glikoze 4055
Tūlītēji nokrišņi Nesavienojams
Injekcija Amphotericin B 0.6 mg/ml
Injekcija Gemcitabine hydrochloride 10 mg/ml
Nātrija hlorīds 0.9% 1423
Tūlītēja duļķainība Nesavienojams
Injekcija Amphotericin B 0.6 mg/ml
Injekcija Granisetron hydrochloride 0.05 mg/ml
5% glikoze 182
Tūlītēji nokrišņi Nesavienojams
Injekcija Amphotericin B 0.6 mg/ml
Injekcija Hetastarch 60 mg/ml
īpašu šķīdinātāju 1721
Tūlītēja duļķainība Nesavienojams
Injekcija Amphotericin B 0.1 mg/ml
Injekcija Isavuconazonium sulfate 1.5 mg/ml
5% glikoze 3829
Tūlītēji nokrišņi Nesavienojams
Injekcija Amphotericin B 0.6 mg/ml
Injekcija Lansoprazole 0.55 mg/ml
Nātrija hlorīds 0.9% 1625
Neprecizēta nesaderība Nesavienojams
Injekcija Amphotericin B
Injekcija Lidocaine hydrochloride
5060
Tūlītēji nokrišņi Nesavienojams
Injekcija Amphotericin B 0.6 mg/ml
Injekcija Linezolid 2 mg/ml
Nekāds 1925
Neprecizēta nesaderība Nesavienojams
Injekcija Amphotericin B
Injekcija Linezolid
3560
Nokrišņi pēc 2 stundām Nesavienojams
Injekcija Amphotericin B 0,04 & 0,08 mg/ml
Injekcija Magnesium sulfate 2 & 4 mg/ml
5% glikoze 682
Tūlītēja duļķainība Nesavienojams
Injekcija Amphotericin B 0.6 mg/ml
Injekcija Melphalan 0.1 mg/ml
Nātrija hlorīds 0.9% 169
Ķīmiskā nestabilitāte Nesavienojams
Injekcija Amphotericin B 0.6 mg/ml
Injekcija Melphalan 0.1 mg/ml
5% glikoze 169
Savietojams
Injekcija Amphotericin B 5 mg/ml
Injekcija Meropenem 1 & 50 mg/ml
Nātrija hlorīds 0.9% 266
Savietojams
Injekcija Amphotericin B 0.2 mg/ml
Injekcija Meropenem 1 & 20 mg/ml
Nātrija hlorīds 0.9% 266
Neprecizēta nesaderība Nesavienojams
Injekcija Amphotericin B
Injekcija Metaraminol
5046
Neprecizēta nesaderība Nesavienojams
Injekcija Amphotericin B
Injekcija N-acetylcysteine 200 mg/ml
Nekāds 3766
Tūlītēji nokrišņi Nesavienojams
Injekcija Amphotericin B 0,5 mg/ml
Injekcija Nalbuphine hydrochloride 0,05 >>0,33 mg/ml
Nātrija hlorīds 0.9% 5097
Tūlītēji nokrišņi Nesavienojams
Injekcija Amphotericin B 0,5 mg/ml
Injekcija Nalbuphine hydrochloride 0,05 >> 0,33 mg/ml
5% glikoze 4867
Neprecizēta nesaderība Nesavienojams
Injekcija Amphotericin B 4 mg/ml
Injekcija Naloxone hydrochloride 0.4 mg/ml
Nekāds 3408
Tūlītēja duļķainība Nesavienojams
Injekcija Amphotericin B 0.6 mg/ml
Injekcija Ondansetron hydrochloride 1 mg/ml
5% glikoze 334
Tūlītēja duļķainība Nesavienojams
Injekcija Amphotericin B 0.1 mg/ml
Injekcija Oritavancin 0.8>>2 mg/ml
5% glikoze 3152
Tūlītēja duļķainība Nesavienojams
Injekcija Amphotericin B 0.6 mg/ml
Injekcija Paclitaxel 1.2 mg/ml
5% glikoze 248
Duļķainums vienā stundā Nesavienojams
Injekcija Amphotericin B
Injekcija Pantoprazole sodium
2090
Tūlītēji nokrišņi Nesavienojams
Injekcija Amphotericin B 0.6 mg/ml
Injekcija Pemetrexed disodium 20 mg/ml
Nātrija hlorīds 0.9% 1953
Neprecizēta nesaderība Nesavienojams
Injekcija Amphotericin B
Injekcija Penicillin G sodium
3585
Savietojams
Injekcija Amphotericin B 0,1 mg/ml
Injekcija Pentoxifyllin 5 mg/ml
5% glikoze 4543
Savietojams
Injekcija Amphotericin B 1 mg/ml
Injekcija Phloroglucinol 2,5 mg/ml
3791
Tūlītēji nokrišņi Nesavienojams
Injekcija Amphotericin B 0.6 mg/ml
Injekcija Piperacillin sodium / tazobactam 40/5 mg/ml
5% glikoze 81
Tūlītēja duļķainība Nesavienojams
Injekcija Amphotericin B 0,1 mg/ml
Injekcija Plazomicin sulfate 24 mg/ml
Nātrija hlorīds 0.9% 4145
Tūlītēji nokrišņi Nesavienojams
Injekcija Amphotericin B 0.6 mg/ml
Injekcija Propofol 10 mg/ml
Nekāds 300
Savietojams
Injekcija Amphotericin B 0.6 mg/ml
Injekcija Remifentanil hydrochloride 25 µg/ml
5% glikoze 59
Tūlītēji nokrišņi Nesavienojams
Injekcija Amphotericin B 0.6 mg/ml
Injekcija Remifentanil hydrochloride 250 µg/ml
5% glikoze 59
Neprecizēta nesaderība Nesavienojams
Injekcija Amphotericin B
Injekcija Rocuronium bromide
3564
Tūlītēja duļķainība Nesavienojams
Injekcija Amphotericin B 50 mg/ml
Injekcija Salbutamol sulfate 1 mg/ml
Nekāds 3216
Savietojams
Injekcija Amphotericin B 0.6 mg/ml
Injekcija Sargramostim 10 µg/ml
5% glikoze 335
Tūlītēji nokrišņi Nesavienojams
Injekcija Amphotericin B 0.6 mg/ml
Injekcija Sargramostim 10 µg/ml
Nātrija hlorīds 0.9% 335
Tūlītēji nokrišņi Nesavienojams
Injekcija Amphotericin B 0,1 mg/ml
Injekcija Sildenafil citrate 0,6 mg/ml
5% glikoze 4845
Ķīmiskā nestabilitāte Nesavienojams
Injekcija Amphotericin B 0.1 mg/ml
Injekcija Sildenafil citrate 0,6 mg/ml
5% glikoze 4845
Savietojams
Injekcija Amphotericin B 5 mg/ml
Injekcija Tacrolimus 1000 µg/ml
Ūdens injekcijām 479
Tūlītēja duļķainība Nesavienojams
Injekcija Amphotericin B 0,1 mg/ml
Injekcija Telavancin hydrochloride 7,5 mg/ml
5% glikoze 3254
Savietojams
Injekcija Amphotericin B 0.6 mg/ml
Injekcija Teniposide 0.1 mg/ml
5% glikoze 905
Tūlītēji nokrišņi Nesavienojams
Injekcija Amphotericin B
Injekcija Thiopental sodium 25 mg/ml
Nātrija hlorīds 0.9% 3767
Savietojams
Injekcija Amphotericin B 0.6 mg/ml
Injekcija Thiotepa 1 mg/ml
5% glikoze 249
Neprecizēta nesaderība Nesavienojams
Injekcija Amphotericin B
Injekcija Tigecycline
3332
Nokrišņi pēc 8 stundām Nesavienojams
Injekcija Amphotericin B 0.1 mg/ml
Injekcija Verapamil hydrochloride 0.08 mg/ml
5% glikoze 1057
Tūlītēji nokrišņi Nesavienojams
Injekcija Amphotericin B 0.1 mg/ml
Injekcija Verapamil hydrochloride 0.08 mg/ml
Nātrija hlorīds 0.9% 1057
Tūlītēji nokrišņi Nesavienojams
Injekcija Amphotericin B 0.6 mg/ml
Injekcija Vinorelbine tartrate 1 mg/ml
5% glikoze 84
Savietojams
Injekcija Amphotericin B 0.6 mg/ml
Injekcija Zidovudine 4 mg/ml
5% glikoze 337
Tūlītēji nokrišņi Nesavienojams
Injekcija Amphotericin B ? mg/ml
Nātrija hlorīds 0.9% 892
Tūlītēji nokrišņi Nesavienojams
Injekcija Amphotericin B 0.6 mg/ml
Injekcija Vinorelbine tartrate 1 mg/ml
Nātrija hlorīds 0.9% 84

  Mentions Légales