Τελευταία ενημέρωση :
18/03/2026
Αντιμυκητικό   Amphotericin B  
Ενέσιμο
Αεροζόλ Οφθαλμικές σταγόνες Πόσιμο διάλυμα Στοματικό διάλυμα
Σταθερότητα διαλυμάτων Σταθερότητα σε μίγματα Παράγοντας που επηρεάζει τη σταθερότητα Συμβατότητες Τρόπος χορήγησης Βιβλιογραφία pdf
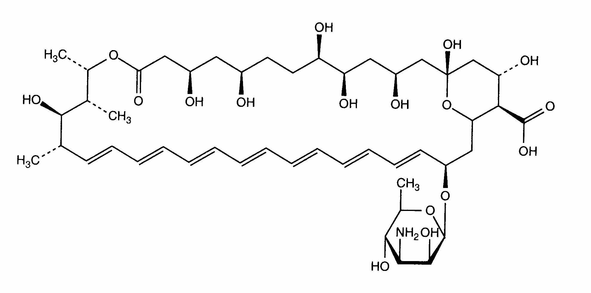
   χημική δομή  

Εμπορική ονομασία   Εμπορική ονομασία     

Οι εμπορικές ονομασίες είναι ενδεικτικές και η σύνθεση των εκδόχων μπορεί να διαφέρει ανάλογα με τη χώρα και τα εργαστήρια

Fungizone Βενεζουέλα, Γαλλία, Γερμανία, Δανία, Ελβετία, Ελλάδα, Η.Π.Α., Ινδία, Ιράν, Ιρλανδία, Ιταλία, Καναδάς, Κολομβία, Μαλαισία, Μαρόκο, Μεγάλη Βρετανία, νέα Ζηλανδία, Ολλανδία, Ουγγαρία, Πορτογαλία, Σουηδία, Τουρκία, Τυνησία, Φινλανδία
Συμβατότητες    Ενέσιμο   Συμβατότητες : Amphotericin B              
Σε αυτή την οθόνη εμφανίζονται οι συμβατότητες ή ασυμβατότητες. Σε αυτή την περίπτωση εμφανίζονται το είδος της ασυμβατότητας (ίζημα, αλλαγή χρώματος, μεταβολή γαλακτώματος, κλπ). Οι συμβατότητες που παρουσιάζονται εδώ είναι κυρίως φυσικές, ενώ η χημική σταθερότητα κάθε μορίου σπάνια περιλαμβάνεται. Η αξιολόγηση αυτών των μιγμάτων μελετήθηκε προκειμένου να εκτιμηθεί η πιθανότητα χορήγησης στον ασθενή στο Υ κέντρο. Τα δεδομένα αυτά δεν μπορούν να χρησιμοποιηθούν για την εκ των προτέρων δημιουργία μιγμάτων σε ασκούς ή σύριγγες. Αυτό το είδος πληροφορίας υπάρχει και μπορεί να αναζητηθεί στην οθόνη «Σταθερότητα σε μίγμα».
Συστατικό Διαλυτικό Βιβλιογραφία
Σύμφωνος
Ενέσιμο Amphotericin B 1.6 mg/ml
Ενέσιμο Aldesleukin 0.0338 MUI/ml
Γλυκόζη 5% 36
Άμεση βροχόπτωση Ασύμβατες
Ενέσιμο Amphotericin B 0.6 mg/ml
Ενέσιμο Aztreonam 40 mg/ml
Γλυκόζη 5% 99
Απροσδιόριστη ασυμβατότητα Ασύμβατες
Ενέσιμο Amphotericin B
Γαλακτικό διάλυμα Ringer 3968
Απώλεια θολότητας Ασύμβατες
Ενέσιμο Amphotericin B 0.6 mg/ml
Ενέσιμο Allopurinol sodium 3 mg/ml
Χλωριούχο νάτριο 0,9% 307
Άμεση θολότητα Ασύμβατες
Ενέσιμο Amphotericin B 0.6 mg/ml
Ενέσιμο Amifostine 10 mg/ml
Γλυκόζη 5% 3
Απροσδιόριστη ασυμβατότητα Ασύμβατες
Ενέσιμο Amphotericin B
Ενέσιμο Amikacin sulfate
3549
Σύμφωνος
Ενέσιμο Amphotericin B 0,5 mg/ml
Ενέσιμο Amiodarone hydrochloride 6 mg/ml
Γλυκόζη 5% 1611
Άμεση θολότητα Ασύμβατες
Ενέσιμο Amphotericin B 0,6 mg/ml
Ενέσιμο Anidulafungin 0,5 mg/ml
Γλυκόζη 5% 1982
Άμεση βροχόπτωση Ασύμβατες
Ενέσιμο Amphotericin B
Ενέσιμο Bivalirudin
3539
Άμεση βροχόπτωση Ασύμβατες
Ενέσιμο Amphotericin B 0.6 mg/ml
Ενέσιμο Bivalirudin 5 mg/ml
Γλυκόζη 5% 1713
Σύμφωνος
Ενέσιμο Amphotericin B 0.1 mg/ml
Ενέσιμο Caffeine 10 mg/ml
Γλυκόζη 5% 4837
Σύμφωνος
Ενέσιμο Amphotericin B 0,1 mg/ml
Ενέσιμο Caffeine citrate 20 mg/ml
Γλυκόζη 5% 4837
Σύμφωνος
Ενέσιμο Amphotericin B
Γλυκόζη 5% 3591
Απώλεια θολότητας Ασύμβατες
Ενέσιμο Amphotericin B 0.6 mg/ml
Ενέσιμο Allopurinol sodium 3 mg/ml
Γλυκόζη 5% 307
Άμεση βροχόπτωση Ασύμβατες
Ενέσιμο Amphotericin B 0.6 mg/ml
Ενέσιμο Amsacrine 1 mg/ml
Γλυκόζη 5% 253
Ασύμβατες
Ενέσιμο Amphotericin B 0.1 mg/ml
Γαλακτικό διάλυμα Ringer 1172
Απροσδιόριστη ασυμβατότητα Ασύμβατες
Ενέσιμο Amphotericin B
Ενέσιμο Calcium gluconate
3644
Καταβύθιση μετά από 1 ώρα Ασύμβατες
Ενέσιμο Amphotericin B
Ενέσιμο Cefotaxime sodium
Χλωριούχο νάτριο 0,9% 3871
Άμεση θολότητα Ασύμβατες
Ενέσιμο Amphotericin B 0,6 mg/ml
Ενέσιμο Ceftaroline fosamil 2,22 mg/ml
Γαλακτικό διάλυμα Ringer 3249
Άμεση βροχόπτωση Ασύμβατες
Ενέσιμο Amphotericin B
NaCl 0,9% + αντιβακτηριακό 3591
Άμεση βροχόπτωση Ασύμβατες
Ενέσιμο Amphotericin B 0.6 mg/ml
Παρεντερική  θρέψη (ελεύθερο λιπιδίων) 301
Άμεση βροχόπτωση Ασύμβατες
Ενέσιμο Amphotericin B 1 mg/ml
Ενέσιμο Cefiderocol sulfate tosylate 20 mg/mL
Χλωριούχο νάτριο 0,9% 4528
Χημική αστάθεια Ασύμβατες
Ενέσιμο Amphotericin B 0.1 mg/ml
Ενέσιμο Cefpirome sulfate 50 mg/ml
Χλωριούχο νάτριο 0,9% 280
Άμεση θολότητα Ασύμβατες
Ενέσιμο Amphotericin B 0,6 mg/ml
Ενέσιμο Ceftaroline fosamil 2,22 mg/ml
Χλωριούχο νάτριο 0,9% 3249
Άμεση βροχόπτωση Ασύμβατες
Ενέσιμο Amphotericin B 0.6 mg/ml
Ενέσιμο Ceftobiprole medocaril sodium 2 mg/ml
Χλωριούχο νάτριο 0,9% 2269
Άμεση βροχόπτωση Ασύμβατες
Ενέσιμο Amphotericin B 0.6 mg/ml
Παρεντερική διατροφή (με λιπίδια) 1415
Άμεση θολότητα Ασύμβατες
Ενέσιμο Amphotericin B 0.1 mg/ml
Ενέσιμο Cimetidine hydrochloride 0.6 mg/ml
Γλυκόζη 5% 1201
Άμεση βροχόπτωση Ασύμβατες
Ενέσιμο Amphotericin B 0,6 & 1,2 mg/ml
Παρεντερική διατροφή (με λιπίδια) 2043
Άμεση αστάθεια του γαλακτώματος Ασύμβατες
Ενέσιμο Amphotericin B 0.01 >> 5 mg/ml
Παρεντερική διατροφή (με λιπίδια) 1498
Άμεση θολότητα Ασύμβατες
Ενέσιμο Amphotericin B 0.1 mg/ml
Ενέσιμο Ceftolozane / tazobactam 10/5 mg/ml
Γλυκόζη 5% 3828
Άμεση βροχόπτωση Ασύμβατες
Ενέσιμο Amphotericin B 1.35 mg/ml
Παρεντερική διατροφή (με λιπίδια) 793
Άμεση βροχόπτωση Ασύμβατες
Ενέσιμο Amphotericin B 0.6 mg/ml
Ενέσιμο Ceftobiprole medocaril sodium 2 mg/ml
Γαλακτικό διάλυμα Ringer 2269
Χημική αστάθεια Ασύμβατες
Ενέσιμο Amphotericin B 0.09 mg/ml
Παρεντερική διατροφή (με λιπίδια) 984
Απροσδιόριστη ασυμβατότητα Ασύμβατες
Ενέσιμο Amphotericin B
Ενέσιμο Calcium gluconate
4964
Άμεση βροχόπτωση Ασύμβατες
Ενέσιμο Amphotericin B 0,6 mg/ml
Ενέσιμο Caspofungin acetate 0,7 mg/ml
Χλωριούχο νάτριο 0,9% 2247
Άμεση θολότητα Ασύμβατες
Ενέσιμο Amphotericin B 0,6 mg/ml
Ενέσιμο Ceftaroline fosamil 2,22 mg/ml
Γλυκόζη 5% 3249
Σύμφωνος
Ενέσιμο Amphotericin B
Ενέσιμο Ceftazidime
3883
Απροσδιόριστη ασυμβατότητα Ασύμβατες
Ενέσιμο Amphotericin B
Ενέσιμο Ceftobiprole medocaril sodium
4650
Άμεση βροχόπτωση Ασύμβατες
Ενέσιμο Amphotericin B
Παρεντερική διατροφή (με λιπίδια) 270
Άμεση βροχόπτωση Ασύμβατες
Ενέσιμο Amphotericin B 0.6 mg/ml
Ενέσιμο Ceftobiprole medocaril sodium 2 mg/ml
Γλυκόζη 5% 2269
Άμεση αστάθεια του γαλακτώματος Ασύμβατες
Ενέσιμο Amphotericin B 0.6 mg/ml
Παρεντερική διατροφή (με λιπίδια) 265
Άμεση βροχόπτωση Ασύμβατες
Ενέσιμο Amphotericin B 1 mg/ml
Ενέσιμο Cefiderocol sulfate tosylate 20 mg/mL
Γλυκόζη 5% 4528
Χημική αστάθεια Ασύμβατες
Ενέσιμο Amphotericin B 0.1 mg/ml
Ενέσιμο Cefpirome sulfate 50 mg/ml
Χλωριούχο νάτριο 0,45% 280
Χημική αστάθεια Ασύμβατες
Ενέσιμο Amphotericin B 0.1 mg/ml
Ενέσιμο Cefpirome sulfate 50 mg/ml
Γαλακτικό διάλυμα Ringer 280
Χημική αστάθεια Ασύμβατες
Ενέσιμο Amphotericin B 0.1 mg/ml
Ενέσιμο Cefpirome sulfate 50 mg/ml
Γλυκόζη 5% 280
Άμεση βροχόπτωση Ασύμβατες
Ενέσιμο Amphotericin B 0.1 mg/ml
Ενέσιμο Ciprofloxacin lactate 2 mg/ml
Γλυκόζη 5% 285
Άμεση βροχόπτωση Ασύμβατες
Ενέσιμο Amphotericin B
Χλωριούχο νάτριο 0,9% 3591
Σύμφωνος
Ενέσιμο Amphotericin B 0.6 mg/ml
Ενέσιμο Cisatracurium besylate 0.1 mg/ml
Γλυκόζη 5% 299
Άμεση βροχόπτωση Ασύμβατες
Ενέσιμο Amphotericin B 0.6 mg/ml
Ενέσιμο Cisatracurium besylate 2 & 5 mg/ml
Γλυκόζη 5% 299
Άμεση βροχόπτωση Ασύμβατες
Ενέσιμο Amphotericin B 0.6 mg/ml
Ενέσιμο Dexmedetomidine 4 µg/ml
Γλυκόζη 5% 1712
Σύμφωνος
Ενέσιμο Amphotericin B 0.1 mg/ml
Ενέσιμο Diltiazem hydrochloride 1 mg/ml
Χλωριούχο νάτριο 0,9% 198
Άμεση θολότητα Ασύμβατες
Ενέσιμο Amphotericin B 0.6 mg/ml
Ενέσιμο Docetaxel 0.9 mg/ml
Γλυκόζη 5% 1754
Άμεση βροχόπτωση Ασύμβατες
Ενέσιμο Amphotericin B
Ενέσιμο Dopamine hydrochloride
Γλυκόζη 5% 3638
Σύμφωνος
Ενέσιμο Amphotericin B 0,6 mg/ml
Ενέσιμο Doripenem 5 mg/ml
Γλυκόζη 5% 2262
Άμεση βροχόπτωση Ασύμβατες
Ενέσιμο Amphotericin B 0.6 mg/ml
Ενέσιμο Doxorubicin hydrochloride liposome peg 0.4 mg/ml
Γλυκόζη 5% 251
Άμεση βροχόπτωση Ασύμβατες
Ενέσιμο Amphotericin B 0.6 mg/ml
Ενέσιμο Etoposide phosphate 5 mg/ml
Γλυκόζη 5% 1410
Ασύμβατες
Ενέσιμο Amphotericin B 0.1 mg/ml
Χλωριούχο νάτριο 0,9% 1172
Άμεση βροχόπτωση Ασύμβατες
Ενέσιμο Amphotericin B 0.6 mg/ml
Ενέσιμο Doripenem 5 mg/ml
Χλωριούχο νάτριο 0,9% 2262
Θολότητα σε 4 ώρες Ασύμβατες
Ενέσιμο Amphotericin B 0.1 mg/ml
Ενέσιμο Enalaprilate 1.25 mg/ml
Γλυκόζη 5% 201
Θολότητα σε 2 ώρες Ασύμβατες
Ενέσιμο Amphotericin B 0.1 mg/ml
Ενέσιμο Enalaprilate 0.0125 mg/ml
Γλυκόζη 5% 1703
Σύμφωνος
Ενέσιμο Amphotericin B 0.6 mg/ml
Ενέσιμο Famotidine 2 mg/ml
Χλωριούχο νάτριο 0,9% 215
Άμεση βροχόπτωση Ασύμβατες
Ενέσιμο Amphotericin B 0.6 mg/ml
Ενέσιμο Fenoldopam mesylate 80 µg/ml
Χλωριούχο νάτριο 0,9% 1803
Άμεση βροχόπτωση Ασύμβατες
Ενέσιμο Amphotericin B 0.6 mg/ml
Ενέσιμο Filgrastim 30 µg/ml
Γλυκόζη 5% 244
Мътност за един час Ασύμβατες
Ενέσιμο Amphotericin B 5 mg/ml
Ενέσιμο Fluconazole 2 mg/ml
Χλωριούχο νάτριο 0,9% 496
Σύμφωνος
Ενέσιμο Amphotericin B 0.1 mg/ml
Ενέσιμο Fluconazole 2 mg/ml
Ουδέν 256
Καταβύθιση μετά από 4 ώρες Ασύμβατες
Ενέσιμο Amphotericin B 0.6 mg/ml
Ενέσιμο Fludarabine phosphate 1 mg/ml
Γλυκόζη 5% 492
Απροσδιόριστη ασυμβατότητα Ασύμβατες
Ενέσιμο Amphotericin B
Ενέσιμο Foscarnet sodium
3662
Άμεση θολότητα Ασύμβατες
Ενέσιμο Amphotericin B 0.6 mg/ml
Ενέσιμο Foscarnet sodium 24 mg/ml
Γλυκόζη 5% 1135
Άμεση βροχόπτωση Ασύμβατες
Ενέσιμο Amphotericin B 5 mg/ml
Ενέσιμο Foscarnet sodium 24 mg/ml
Ουδέν 73
Άμεση θολότητα Ασύμβατες
Ενέσιμο Amphotericin B 0.1 mg/ml
Ενέσιμο Fosfomycin 30 mg/ml
Γλυκόζη 5% 4055
Άμεση βροχόπτωση Ασύμβατες
Ενέσιμο Amphotericin B 0.6 mg/ml
Ενέσιμο Gemcitabine hydrochloride 10 mg/ml
Χλωριούχο νάτριο 0,9% 1423
Άμεση θολότητα Ασύμβατες
Ενέσιμο Amphotericin B 0.6 mg/ml
Ενέσιμο Granisetron hydrochloride 0.05 mg/ml
Γλυκόζη 5% 182
Άμεση βροχόπτωση Ασύμβατες
Ενέσιμο Amphotericin B 0.6 mg/ml
Ενέσιμο Hetastarch 60 mg/ml
Ειδικά διαλύτη 1721
Άμεση θολότητα Ασύμβατες
Ενέσιμο Amphotericin B 0.1 mg/ml
Ενέσιμο Isavuconazonium sulfate 1.5 mg/ml
Γλυκόζη 5% 3829
Άμεση βροχόπτωση Ασύμβατες
Ενέσιμο Amphotericin B 0.6 mg/ml
Ενέσιμο Lansoprazole 0.55 mg/ml
Χλωριούχο νάτριο 0,9% 1625
Απροσδιόριστη ασυμβατότητα Ασύμβατες
Ενέσιμο Amphotericin B
Ενέσιμο Lidocaine hydrochloride
5060
Άμεση βροχόπτωση Ασύμβατες
Ενέσιμο Amphotericin B 0.6 mg/ml
Ενέσιμο Linezolid 2 mg/ml
Ουδέν 1925
Απροσδιόριστη ασυμβατότητα Ασύμβατες
Ενέσιμο Amphotericin B
Ενέσιμο Linezolid
3560
Καταβύθιση μετά από 2 ώρες Ασύμβατες
Ενέσιμο Amphotericin B 0,04 & 0,08 mg/ml
Ενέσιμο Magnesium sulfate 2 & 4 mg/ml
Γλυκόζη 5% 682
Άμεση θολότητα Ασύμβατες
Ενέσιμο Amphotericin B 0.6 mg/ml
Ενέσιμο Melphalan 0.1 mg/ml
Χλωριούχο νάτριο 0,9% 169
Χημική αστάθεια Ασύμβατες
Ενέσιμο Amphotericin B 0.6 mg/ml
Ενέσιμο Melphalan 0.1 mg/ml
Γλυκόζη 5% 169
Σύμφωνος
Ενέσιμο Amphotericin B 5 mg/ml
Ενέσιμο Meropenem 1 & 50 mg/ml
Χλωριούχο νάτριο 0,9% 266
Σύμφωνος
Ενέσιμο Amphotericin B 0.2 mg/ml
Ενέσιμο Meropenem 1 & 20 mg/ml
Χλωριούχο νάτριο 0,9% 266
Απροσδιόριστη ασυμβατότητα Ασύμβατες
Ενέσιμο Amphotericin B
Ενέσιμο Metaraminol
5046
Απροσδιόριστη ασυμβατότητα Ασύμβατες
Ενέσιμο Amphotericin B
Ενέσιμο N-acetylcysteine 200 mg/ml
Ουδέν 3766
Άμεση βροχόπτωση Ασύμβατες
Ενέσιμο Amphotericin B 0,5 mg/ml
Ενέσιμο Nalbuphine hydrochloride 0,05 >>0,33 mg/ml
Χλωριούχο νάτριο 0,9% 5097
Άμεση βροχόπτωση Ασύμβατες
Ενέσιμο Amphotericin B 0,5 mg/ml
Ενέσιμο Nalbuphine hydrochloride 0,05 >> 0,33 mg/ml
Γλυκόζη 5% 4867
Απροσδιόριστη ασυμβατότητα Ασύμβατες
Ενέσιμο Amphotericin B 4 mg/ml
Ενέσιμο Naloxone hydrochloride 0.4 mg/ml
Ουδέν 3408
Άμεση θολότητα Ασύμβατες
Ενέσιμο Amphotericin B 0.6 mg/ml
Ενέσιμο Ondansetron hydrochloride 1 mg/ml
Γλυκόζη 5% 334
Άμεση θολότητα Ασύμβατες
Ενέσιμο Amphotericin B 0.1 mg/ml
Ενέσιμο Oritavancin 0.8>>2 mg/ml
Γλυκόζη 5% 3152
Άμεση θολότητα Ασύμβατες
Ενέσιμο Amphotericin B 0.6 mg/ml
Ενέσιμο Paclitaxel 1.2 mg/ml
Γλυκόζη 5% 248
Мътност за един час Ασύμβατες
Ενέσιμο Amphotericin B
Ενέσιμο Pantoprazole sodium
2090
Άμεση βροχόπτωση Ασύμβατες
Ενέσιμο Amphotericin B 0.6 mg/ml
Ενέσιμο Pemetrexed disodium 20 mg/ml
Χλωριούχο νάτριο 0,9% 1953
Απροσδιόριστη ασυμβατότητα Ασύμβατες
Ενέσιμο Amphotericin B
Ενέσιμο Penicillin G sodium
3585
Σύμφωνος
Ενέσιμο Amphotericin B 0,1 mg/ml
Ενέσιμο Pentoxifyllin 5 mg/ml
Γλυκόζη 5% 4543
Σύμφωνος
Ενέσιμο Amphotericin B 1 mg/ml
Ενέσιμο Phloroglucinol 2,5 mg/ml
3791
Άμεση βροχόπτωση Ασύμβατες
Ενέσιμο Amphotericin B 0.6 mg/ml
Ενέσιμο Piperacillin sodium / tazobactam 40/5 mg/ml
Γλυκόζη 5% 81
Άμεση θολότητα Ασύμβατες
Ενέσιμο Amphotericin B 0,1 mg/ml
Ενέσιμο Plazomicin sulfate 24 mg/ml
Χλωριούχο νάτριο 0,9% 4145
Άμεση βροχόπτωση Ασύμβατες
Ενέσιμο Amphotericin B 0.6 mg/ml
Ενέσιμο Propofol 10 mg/ml
Ουδέν 300
Σύμφωνος
Ενέσιμο Amphotericin B 0.6 mg/ml
Ενέσιμο Remifentanil hydrochloride 25 µg/ml
Γλυκόζη 5% 59
Άμεση βροχόπτωση Ασύμβατες
Ενέσιμο Amphotericin B 0.6 mg/ml
Ενέσιμο Remifentanil hydrochloride 250 µg/ml
Γλυκόζη 5% 59
Απροσδιόριστη ασυμβατότητα Ασύμβατες
Ενέσιμο Amphotericin B
Ενέσιμο Rocuronium bromide
3564
Άμεση θολότητα Ασύμβατες
Ενέσιμο Amphotericin B 50 mg/ml
Ενέσιμο Salbutamol sulfate 1 mg/ml
Ουδέν 3216
Σύμφωνος
Ενέσιμο Amphotericin B 0.6 mg/ml
Ενέσιμο Sargramostim 10 µg/ml
Γλυκόζη 5% 335
Άμεση βροχόπτωση Ασύμβατες
Ενέσιμο Amphotericin B 0.6 mg/ml
Ενέσιμο Sargramostim 10 µg/ml
Χλωριούχο νάτριο 0,9% 335
Άμεση βροχόπτωση Ασύμβατες
Ενέσιμο Amphotericin B 0,1 mg/ml
Ενέσιμο Sildenafil citrate 0,6 mg/ml
Γλυκόζη 5% 4845
Χημική αστάθεια Ασύμβατες
Ενέσιμο Amphotericin B 0.1 mg/ml
Ενέσιμο Sildenafil citrate 0,6 mg/ml
Γλυκόζη 5% 4845
Σύμφωνος
Ενέσιμο Amphotericin B 5 mg/ml
Ενέσιμο Tacrolimus 1000 µg/ml
Ενέσιμο ύδωρ 479
Άμεση θολότητα Ασύμβατες
Ενέσιμο Amphotericin B 0,1 mg/ml
Ενέσιμο Telavancin hydrochloride 7,5 mg/ml
Γλυκόζη 5% 3254
Σύμφωνος
Ενέσιμο Amphotericin B 0.6 mg/ml
Ενέσιμο Teniposide 0.1 mg/ml
Γλυκόζη 5% 905
Άμεση βροχόπτωση Ασύμβατες
Ενέσιμο Amphotericin B
Ενέσιμο Thiopental sodium 25 mg/ml
Χλωριούχο νάτριο 0,9% 3767
Σύμφωνος
Ενέσιμο Amphotericin B 0.6 mg/ml
Ενέσιμο Thiotepa 1 mg/ml
Γλυκόζη 5% 249
Απροσδιόριστη ασυμβατότητα Ασύμβατες
Ενέσιμο Amphotericin B
Ενέσιμο Tigecycline
3332
Καταβύθιση μετά από 8 ώρες Ασύμβατες
Ενέσιμο Amphotericin B 0.1 mg/ml
Ενέσιμο Verapamil hydrochloride 0.08 mg/ml
Γλυκόζη 5% 1057
Άμεση βροχόπτωση Ασύμβατες
Ενέσιμο Amphotericin B 0.1 mg/ml
Ενέσιμο Verapamil hydrochloride 0.08 mg/ml
Χλωριούχο νάτριο 0,9% 1057
Άμεση βροχόπτωση Ασύμβατες
Ενέσιμο Amphotericin B 0.6 mg/ml
Ενέσιμο Vinorelbine tartrate 1 mg/ml
Γλυκόζη 5% 84
Σύμφωνος
Ενέσιμο Amphotericin B 0.6 mg/ml
Ενέσιμο Zidovudine 4 mg/ml
Γλυκόζη 5% 337
Άμεση βροχόπτωση Ασύμβατες
Ενέσιμο Amphotericin B ? mg/ml
Χλωριούχο νάτριο 0,9% 892
Άμεση βροχόπτωση Ασύμβατες
Ενέσιμο Amphotericin B 0.6 mg/ml
Ενέσιμο Vinorelbine tartrate 1 mg/ml
Χλωριούχο νάτριο 0,9% 84

  Mentions Légales