Останнє оновлення :
18/03/2026
Протигрибковий   Amphotericin B  
ін'єкція
аерозоль Ополіскувач ротової порожнини Очні краплі Розчин для перорального застосування
Стійкість в розчинах Стійкість сумішей Фактори, що впливають на стабільність Сумісність Шлях введення Список літератури pdf
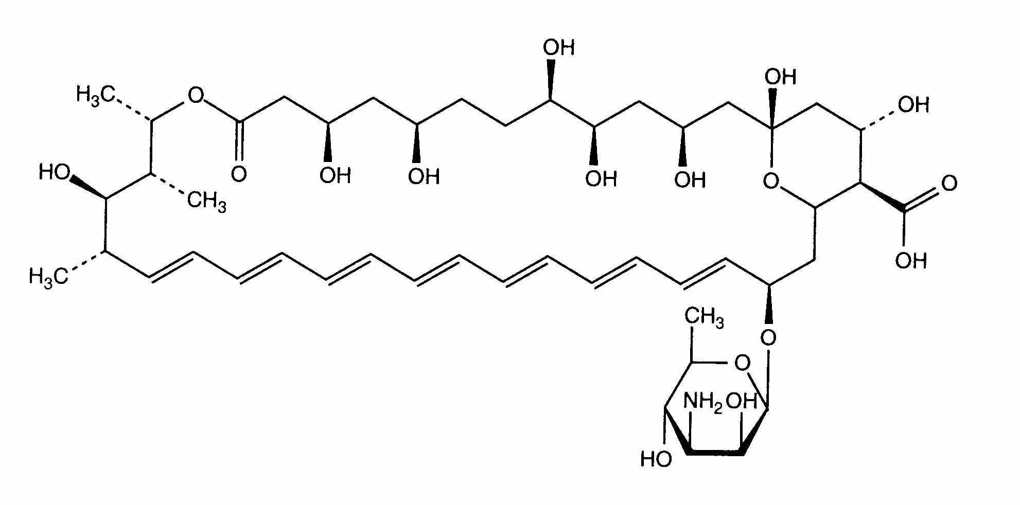
   Хімічна структура  

Торгова назва   Торгова назва     

Торгові назви є орієнтовними, а склад допоміжних речовин може бути різним залежно від країни та виробника

Fungizone Індія, Іран, Ірландія, Італія, Великобританія, Венесуела, Греція, Данія, Канада, Колумбія, Малайзія, Марокко, Нідерланди, Німеччина, Нова Зеландія, Португалія, Сполучені Штати Америки, Туніс, Туреччина, Угорщина, Фінляндія, Франція, Швейцарія, Швеція
Сумісність   ін'єкція   Сумісність : Amphotericin B              
explication_incompatibilite_molecules
З'єднання Розчинник Список літератури
сумісний
ін'єкція Amphotericin B 1.6 mg/ml
ін'єкція Aldesleukin 0.0338 MUI/ml
Глюкоза 5% 36
Миттєві опади Несумісні
ін'єкція Amphotericin B 0.6 mg/ml
ін'єкція Aztreonam 40 mg/ml
Глюкоза 5% 99
Неуточнена несумісність Несумісні
ін'єкція Amphotericin B
Розчин лактату Рінгера 3968
Втрата каламутності Несумісні
ін'єкція Amphotericin B 0.6 mg/ml
ін'єкція Allopurinol sodium 3 mg/ml
Натрію хлорид 0,9% 307
Негайне помутніння Несумісні
ін'єкція Amphotericin B 0.6 mg/ml
ін'єкція Amifostine 10 mg/ml
Глюкоза 5% 3
Неуточнена несумісність Несумісні
ін'єкція Amphotericin B
ін'єкція Amikacin sulfate
3549
сумісний
ін'єкція Amphotericin B 0,5 mg/ml
ін'єкція Amiodarone hydrochloride 6 mg/ml
Глюкоза 5% 1611
Негайне помутніння Несумісні
ін'єкція Amphotericin B 0,6 mg/ml
ін'єкція Anidulafungin 0,5 mg/ml
Глюкоза 5% 1982
Миттєві опади Несумісні
ін'єкція Amphotericin B
ін'єкція Bivalirudin
3539
Миттєві опади Несумісні
ін'єкція Amphotericin B 0.6 mg/ml
ін'єкція Bivalirudin 5 mg/ml
Глюкоза 5% 1713
сумісний
ін'єкція Amphotericin B 0.1 mg/ml
ін'єкція Caffeine 10 mg/ml
Глюкоза 5% 4837
сумісний
ін'єкція Amphotericin B 0,1 mg/ml
ін'єкція Caffeine citrate 20 mg/ml
Глюкоза 5% 4837
сумісний
ін'єкція Amphotericin B
Глюкоза 5% 3591
Втрата каламутності Несумісні
ін'єкція Amphotericin B 0.6 mg/ml
ін'єкція Allopurinol sodium 3 mg/ml
Глюкоза 5% 307
Миттєві опади Несумісні
ін'єкція Amphotericin B 0.6 mg/ml
ін'єкція Amsacrine 1 mg/ml
Глюкоза 5% 253
Несумісні
ін'єкція Amphotericin B 0.1 mg/ml
Розчин лактату Рінгера 1172
Неуточнена несумісність Несумісні
ін'єкція Amphotericin B
ін'єкція Calcium gluconate
3644
Опади через 1 год Несумісні
ін'єкція Amphotericin B
ін'єкція Cefotaxime sodium
Натрію хлорид 0,9% 3871
Негайне помутніння Несумісні
ін'єкція Amphotericin B 0,6 mg/ml
ін'єкція Ceftaroline fosamil 2,22 mg/ml
Розчин лактату Рінгера 3249
Миттєві опади Несумісні
ін'єкція Amphotericin B
NaCl 0,9% + антибактеріальний 3591
Миттєві опади Несумісні
ін'єкція Amphotericin B 0.6 mg/ml
Парентеральне харчування (бінарна суміш) 301
Миттєві опади Несумісні
ін'єкція Amphotericin B 1 mg/ml
ін'єкція Cefiderocol sulfate tosylate 20 mg/mL
Натрію хлорид 0,9% 4528
Хімічна нестійкість Несумісні
ін'єкція Amphotericin B 0.1 mg/ml
ін'єкція Cefpirome sulfate 50 mg/ml
Натрію хлорид 0,9% 280
Негайне помутніння Несумісні
ін'єкція Amphotericin B 0,6 mg/ml
ін'єкція Ceftaroline fosamil 2,22 mg/ml
Натрію хлорид 0,9% 3249
Миттєві опади Несумісні
ін'єкція Amphotericin B 0.6 mg/ml
ін'єкція Ceftobiprole medocaril sodium 2 mg/ml
Натрію хлорид 0,9% 2269
Миттєві опади Несумісні
ін'єкція Amphotericin B 0.6 mg/ml
Парентеральне харчування (ліпідами) 1415
Негайне помутніння Несумісні
ін'єкція Amphotericin B 0.1 mg/ml
ін'єкція Cimetidine hydrochloride 0.6 mg/ml
Глюкоза 5% 1201
Миттєві опади Несумісні
ін'єкція Amphotericin B 0,6 & 1,2 mg/ml
Парентеральне харчування (ліпідами) 2043
Негайна нестійкість емульсії Несумісні
ін'єкція Amphotericin B 0.01 >> 5 mg/ml
Парентеральне харчування (ліпідами) 1498
Негайне помутніння Несумісні
ін'єкція Amphotericin B 0.1 mg/ml
ін'єкція Ceftolozane / tazobactam 10/5 mg/ml
Глюкоза 5% 3828
Миттєві опади Несумісні
ін'єкція Amphotericin B 1.35 mg/ml
Парентеральне харчування (ліпідами) 793
Миттєві опади Несумісні
ін'єкція Amphotericin B 0.6 mg/ml
ін'єкція Ceftobiprole medocaril sodium 2 mg/ml
Розчин лактату Рінгера 2269
Хімічна нестійкість Несумісні
ін'єкція Amphotericin B 0.09 mg/ml
Парентеральне харчування (ліпідами) 984
Неуточнена несумісність Несумісні
ін'єкція Amphotericin B
ін'єкція Calcium gluconate
4964
Миттєві опади Несумісні
ін'єкція Amphotericin B 0,6 mg/ml
ін'єкція Caspofungin acetate 0,7 mg/ml
Натрію хлорид 0,9% 2247
Негайне помутніння Несумісні
ін'єкція Amphotericin B 0,6 mg/ml
ін'єкція Ceftaroline fosamil 2,22 mg/ml
Глюкоза 5% 3249
сумісний
ін'єкція Amphotericin B
ін'єкція Ceftazidime
3883
Неуточнена несумісність Несумісні
ін'єкція Amphotericin B
ін'єкція Ceftobiprole medocaril sodium
4650
Миттєві опади Несумісні
ін'єкція Amphotericin B
Парентеральне харчування (ліпідами) 270
Миттєві опади Несумісні
ін'єкція Amphotericin B 0.6 mg/ml
ін'єкція Ceftobiprole medocaril sodium 2 mg/ml
Глюкоза 5% 2269
Негайна нестійкість емульсії Несумісні
ін'єкція Amphotericin B 0.6 mg/ml
Парентеральне харчування (ліпідами) 265
Миттєві опади Несумісні
ін'єкція Amphotericin B 1 mg/ml
ін'єкція Cefiderocol sulfate tosylate 20 mg/mL
Глюкоза 5% 4528
Хімічна нестійкість Несумісні
ін'єкція Amphotericin B 0.1 mg/ml
ін'єкція Cefpirome sulfate 50 mg/ml
Натрію хлорид 0,45% 280
Хімічна нестійкість Несумісні
ін'єкція Amphotericin B 0.1 mg/ml
ін'єкція Cefpirome sulfate 50 mg/ml
Розчин лактату Рінгера 280
Хімічна нестійкість Несумісні
ін'єкція Amphotericin B 0.1 mg/ml
ін'єкція Cefpirome sulfate 50 mg/ml
Глюкоза 5% 280
Миттєві опади Несумісні
ін'єкція Amphotericin B 0.1 mg/ml
ін'єкція Ciprofloxacin lactate 2 mg/ml
Глюкоза 5% 285
Миттєві опади Несумісні
ін'єкція Amphotericin B
Натрію хлорид 0,9% 3591
сумісний
ін'єкція Amphotericin B 0.6 mg/ml
ін'єкція Cisatracurium besylate 0.1 mg/ml
Глюкоза 5% 299
Миттєві опади Несумісні
ін'єкція Amphotericin B 0.6 mg/ml
ін'єкція Cisatracurium besylate 2 & 5 mg/ml
Глюкоза 5% 299
Миттєві опади Несумісні
ін'єкція Amphotericin B 0.6 mg/ml
ін'єкція Dexmedetomidine 4 µg/ml
Глюкоза 5% 1712
сумісний
ін'єкція Amphotericin B 0.1 mg/ml
ін'єкція Diltiazem hydrochloride 1 mg/ml
Натрію хлорид 0,9% 198
Негайне помутніння Несумісні
ін'єкція Amphotericin B 0.6 mg/ml
ін'єкція Docetaxel 0.9 mg/ml
Глюкоза 5% 1754
Миттєві опади Несумісні
ін'єкція Amphotericin B
ін'єкція Dopamine hydrochloride
Глюкоза 5% 3638
сумісний
ін'єкція Amphotericin B 0,6 mg/ml
ін'єкція Doripenem 5 mg/ml
Глюкоза 5% 2262
Миттєві опади Несумісні
ін'єкція Amphotericin B 0.6 mg/ml
ін'єкція Doxorubicin hydrochloride liposome peg 0.4 mg/ml
Глюкоза 5% 251
Миттєві опади Несумісні
ін'єкція Amphotericin B 0.6 mg/ml
ін'єкція Etoposide phosphate 5 mg/ml
Глюкоза 5% 1410
Несумісні
ін'єкція Amphotericin B 0.1 mg/ml
Натрію хлорид 0,9% 1172
Миттєві опади Несумісні
ін'єкція Amphotericin B 0.6 mg/ml
ін'єкція Doripenem 5 mg/ml
Натрію хлорид 0,9% 2262
Помутніння через 4 години Несумісні
ін'єкція Amphotericin B 0.1 mg/ml
ін'єкція Enalaprilate 1.25 mg/ml
Глюкоза 5% 201
Помутніння через 2 години Несумісні
ін'єкція Amphotericin B 0.1 mg/ml
ін'єкція Enalaprilate 0.0125 mg/ml
Глюкоза 5% 1703
сумісний
ін'єкція Amphotericin B 0.6 mg/ml
ін'єкція Famotidine 2 mg/ml
Натрію хлорид 0,9% 215
Миттєві опади Несумісні
ін'єкція Amphotericin B 0.6 mg/ml
ін'єкція Fenoldopam mesylate 80 µg/ml
Натрію хлорид 0,9% 1803
Миттєві опади Несумісні
ін'єкція Amphotericin B 0.6 mg/ml
ін'єкція Filgrastim 30 µg/ml
Глюкоза 5% 244
Помутніння через годину Несумісні
ін'єкція Amphotericin B 5 mg/ml
ін'єкція Fluconazole 2 mg/ml
Натрію хлорид 0,9% 496
сумісний
ін'єкція Amphotericin B 0.1 mg/ml
ін'єкція Fluconazole 2 mg/ml
Жодного 256
Опади через 4 год Несумісні
ін'єкція Amphotericin B 0.6 mg/ml
ін'єкція Fludarabine phosphate 1 mg/ml
Глюкоза 5% 492
Неуточнена несумісність Несумісні
ін'єкція Amphotericin B
ін'єкція Foscarnet sodium
3662
Негайне помутніння Несумісні
ін'єкція Amphotericin B 0.6 mg/ml
ін'єкція Foscarnet sodium 24 mg/ml
Глюкоза 5% 1135
Миттєві опади Несумісні
ін'єкція Amphotericin B 5 mg/ml
ін'єкція Foscarnet sodium 24 mg/ml
Жодного 73
Негайне помутніння Несумісні
ін'єкція Amphotericin B 0.1 mg/ml
ін'єкція Fosfomycin 30 mg/ml
Глюкоза 5% 4055
Миттєві опади Несумісні
ін'єкція Amphotericin B 0.6 mg/ml
ін'єкція Gemcitabine hydrochloride 10 mg/ml
Натрію хлорид 0,9% 1423
Негайне помутніння Несумісні
ін'єкція Amphotericin B 0.6 mg/ml
ін'єкція Granisetron hydrochloride 0.05 mg/ml
Глюкоза 5% 182
Миттєві опади Несумісні
ін'єкція Amphotericin B 0.6 mg/ml
ін'єкція Hetastarch 60 mg/ml
специфічний розчинник 1721
Негайне помутніння Несумісні
ін'єкція Amphotericin B 0.1 mg/ml
ін'єкція Isavuconazonium sulfate 1.5 mg/ml
Глюкоза 5% 3829
Миттєві опади Несумісні
ін'єкція Amphotericin B 0.6 mg/ml
ін'єкція Lansoprazole 0.55 mg/ml
Натрію хлорид 0,9% 1625
Неуточнена несумісність Несумісні
ін'єкція Amphotericin B
ін'єкція Lidocaine hydrochloride
5060
Миттєві опади Несумісні
ін'єкція Amphotericin B 0.6 mg/ml
ін'єкція Linezolid 2 mg/ml
Жодного 1925
Неуточнена несумісність Несумісні
ін'єкція Amphotericin B
ін'єкція Linezolid
3560
Опади через 2 год Несумісні
ін'єкція Amphotericin B 0,04 & 0,08 mg/ml
ін'єкція Magnesium sulfate 2 & 4 mg/ml
Глюкоза 5% 682
Негайне помутніння Несумісні
ін'єкція Amphotericin B 0.6 mg/ml
ін'єкція Melphalan 0.1 mg/ml
Натрію хлорид 0,9% 169
Хімічна нестійкість Несумісні
ін'єкція Amphotericin B 0.6 mg/ml
ін'єкція Melphalan 0.1 mg/ml
Глюкоза 5% 169
сумісний
ін'єкція Amphotericin B 5 mg/ml
ін'єкція Meropenem 1 & 50 mg/ml
Натрію хлорид 0,9% 266
сумісний
ін'єкція Amphotericin B 0.2 mg/ml
ін'єкція Meropenem 1 & 20 mg/ml
Натрію хлорид 0,9% 266
Неуточнена несумісність Несумісні
ін'єкція Amphotericin B
ін'єкція Metaraminol
5046
Неуточнена несумісність Несумісні
ін'єкція Amphotericin B
ін'єкція N-acetylcysteine 200 mg/ml
Жодного 3766
Миттєві опади Несумісні
ін'єкція Amphotericin B 0,5 mg/ml
ін'єкція Nalbuphine hydrochloride 0,05 >>0,33 mg/ml
Натрію хлорид 0,9% 5097
Миттєві опади Несумісні
ін'єкція Amphotericin B 0,5 mg/ml
ін'єкція Nalbuphine hydrochloride 0,05 >> 0,33 mg/ml
Глюкоза 5% 4867
Неуточнена несумісність Несумісні
ін'єкція Amphotericin B 4 mg/ml
ін'єкція Naloxone hydrochloride 0.4 mg/ml
Жодного 3408
Негайне помутніння Несумісні
ін'єкція Amphotericin B 0.6 mg/ml
ін'єкція Ondansetron hydrochloride 1 mg/ml
Глюкоза 5% 334
Негайне помутніння Несумісні
ін'єкція Amphotericin B 0.1 mg/ml
ін'єкція Oritavancin 0.8>>2 mg/ml
Глюкоза 5% 3152
Негайне помутніння Несумісні
ін'єкція Amphotericin B 0.6 mg/ml
ін'єкція Paclitaxel 1.2 mg/ml
Глюкоза 5% 248
Помутніння через годину Несумісні
ін'єкція Amphotericin B
ін'єкція Pantoprazole sodium
2090
Миттєві опади Несумісні
ін'єкція Amphotericin B 0.6 mg/ml
ін'єкція Pemetrexed disodium 20 mg/ml
Натрію хлорид 0,9% 1953
Неуточнена несумісність Несумісні
ін'єкція Amphotericin B
ін'єкція Penicillin G sodium
3585
сумісний
ін'єкція Amphotericin B 0,1 mg/ml
ін'єкція Pentoxifyllin 5 mg/ml
Глюкоза 5% 4543
сумісний
ін'єкція Amphotericin B 1 mg/ml
ін'єкція Phloroglucinol 2,5 mg/ml
3791
Миттєві опади Несумісні
ін'єкція Amphotericin B 0.6 mg/ml
ін'єкція Piperacillin sodium / tazobactam 40/5 mg/ml
Глюкоза 5% 81
Негайне помутніння Несумісні
ін'єкція Amphotericin B 0,1 mg/ml
ін'єкція Plazomicin sulfate 24 mg/ml
Натрію хлорид 0,9% 4145
Миттєві опади Несумісні
ін'єкція Amphotericin B 0.6 mg/ml
ін'єкція Propofol 10 mg/ml
Жодного 300
сумісний
ін'єкція Amphotericin B 0.6 mg/ml
ін'єкція Remifentanil hydrochloride 25 µg/ml
Глюкоза 5% 59
Миттєві опади Несумісні
ін'єкція Amphotericin B 0.6 mg/ml
ін'єкція Remifentanil hydrochloride 250 µg/ml
Глюкоза 5% 59
Неуточнена несумісність Несумісні
ін'єкція Amphotericin B
ін'єкція Rocuronium bromide
3564
Негайне помутніння Несумісні
ін'єкція Amphotericin B 50 mg/ml
ін'єкція Salbutamol sulfate 1 mg/ml
Жодного 3216
сумісний
ін'єкція Amphotericin B 0.6 mg/ml
ін'єкція Sargramostim 10 µg/ml
Глюкоза 5% 335
Миттєві опади Несумісні
ін'єкція Amphotericin B 0.6 mg/ml
ін'єкція Sargramostim 10 µg/ml
Натрію хлорид 0,9% 335
Миттєві опади Несумісні
ін'єкція Amphotericin B 0,1 mg/ml
ін'єкція Sildenafil citrate 0,6 mg/ml
Глюкоза 5% 4845
Хімічна нестійкість Несумісні
ін'єкція Amphotericin B 0.1 mg/ml
ін'єкція Sildenafil citrate 0,6 mg/ml
Глюкоза 5% 4845
сумісний
ін'єкція Amphotericin B 5 mg/ml
ін'єкція Tacrolimus 1000 µg/ml
Вода для ін'єкцій 479
Негайне помутніння Несумісні
ін'єкція Amphotericin B 0,1 mg/ml
ін'єкція Telavancin hydrochloride 7,5 mg/ml
Глюкоза 5% 3254
сумісний
ін'єкція Amphotericin B 0.6 mg/ml
ін'єкція Teniposide 0.1 mg/ml
Глюкоза 5% 905
Миттєві опади Несумісні
ін'єкція Amphotericin B
ін'єкція Thiopental sodium 25 mg/ml
Натрію хлорид 0,9% 3767
сумісний
ін'єкція Amphotericin B 0.6 mg/ml
ін'єкція Thiotepa 1 mg/ml
Глюкоза 5% 249
Неуточнена несумісність Несумісні
ін'єкція Amphotericin B
ін'єкція Tigecycline
3332
Опади через 8 годин Несумісні
ін'єкція Amphotericin B 0.1 mg/ml
ін'єкція Verapamil hydrochloride 0.08 mg/ml
Глюкоза 5% 1057
Миттєві опади Несумісні
ін'єкція Amphotericin B 0.1 mg/ml
ін'єкція Verapamil hydrochloride 0.08 mg/ml
Натрію хлорид 0,9% 1057
Миттєві опади Несумісні
ін'єкція Amphotericin B 0.6 mg/ml
ін'єкція Vinorelbine tartrate 1 mg/ml
Глюкоза 5% 84
сумісний
ін'єкція Amphotericin B 0.6 mg/ml
ін'єкція Zidovudine 4 mg/ml
Глюкоза 5% 337
Миттєві опади Несумісні
ін'єкція Amphotericin B ? mg/ml
Натрію хлорид 0,9% 892
Миттєві опади Несумісні
ін'єкція Amphotericin B 0.6 mg/ml
ін'єкція Vinorelbine tartrate 1 mg/ml
Натрію хлорид 0,9% 84

  Mentions Légales