Ultimo aggiornamento :
18/03/2026
Antimicotico   Amphotericin B  
Iniezione
Aerosol Collirio Collutorio Soluzione orale
Stabilità in soluzione Stabilità in miscela Fattori che influenzano la stabilità Compatibilità metodo di iniezione Bibliografia pdf
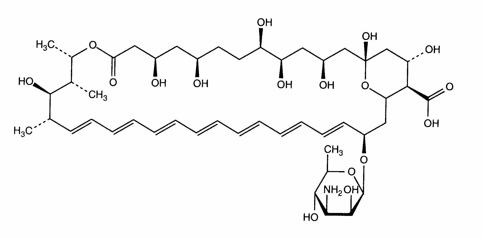
   Struttura chimica  

Nome commerciale   Nome commerciale     

Trade names are indicative and excipients composition can be different depending on the country and manufacturers

Fungizone Canada, Colombia, Danimarca, Finlandia, Francia, Germania, Gran Bretagna, Grecia, India, Iran, Irlanda, Italia, Malaysia, Marocco, nuova Zelanda, Paesi Bassi, Portogallo, Stati Uniti d’America, Svezia, Svizzera, Tunisia, Turchia, Ungheria, Venezuela
Compatibilità   Iniezione   Compatibilità : Amphotericin B              
explication_incompatibilite_molecules
Molecola Solvente Bibliografia
Compatibile
Iniezione Amphotericin B 1.6 mg/ml
Iniezione Aldesleukin 0.0338 MUI/ml
Glucosio 5% 36
Precipitazioni immediate Incompatibile
Iniezione Amphotericin B 0.6 mg/ml
Iniezione Aztreonam 40 mg/ml
Glucosio 5% 99
Incompatibilità non specificata Incompatibile
Iniezione Amphotericin B
Ringer lattato 3968
Perdita di torbidità Incompatibile
Iniezione Amphotericin B 0.6 mg/ml
Iniezione Allopurinol sodium 3 mg/ml
Cloruro di sodio 0,9% 307
Torbidità immediata Incompatibile
Iniezione Amphotericin B 0.6 mg/ml
Iniezione Amifostine 10 mg/ml
Glucosio 5% 3
Incompatibilità non specificata Incompatibile
Iniezione Amphotericin B
Iniezione Amikacin sulfate
3549
Compatibile
Iniezione Amphotericin B 0,5 mg/ml
Iniezione Amiodarone hydrochloride 6 mg/ml
Glucosio 5% 1611
Torbidità immediata Incompatibile
Iniezione Amphotericin B 0,6 mg/ml
Iniezione Anidulafungin 0,5 mg/ml
Glucosio 5% 1982
Precipitazioni immediate Incompatibile
Iniezione Amphotericin B
Iniezione Bivalirudin
3539
Precipitazioni immediate Incompatibile
Iniezione Amphotericin B 0.6 mg/ml
Iniezione Bivalirudin 5 mg/ml
Glucosio 5% 1713
Compatibile
Iniezione Amphotericin B 0.1 mg/ml
Iniezione Caffeine 10 mg/ml
Glucosio 5% 4837
Compatibile
Iniezione Amphotericin B 0,1 mg/ml
Iniezione Caffeine citrate 20 mg/ml
Glucosio 5% 4837
Compatibile
Iniezione Amphotericin B
Glucosio 5% 3591
Perdita di torbidità Incompatibile
Iniezione Amphotericin B 0.6 mg/ml
Iniezione Allopurinol sodium 3 mg/ml
Glucosio 5% 307
Precipitazioni immediate Incompatibile
Iniezione Amphotericin B 0.6 mg/ml
Iniezione Amsacrine 1 mg/ml
Glucosio 5% 253
Incompatibile
Iniezione Amphotericin B 0.1 mg/ml
Ringer lattato 1172
Incompatibilità non specificata Incompatibile
Iniezione Amphotericin B
Iniezione Calcium gluconate
3644
Precipitazioni dopo 1 ora Incompatibile
Iniezione Amphotericin B
Iniezione Cefotaxime sodium
Cloruro di sodio 0,9% 3871
Torbidità immediata Incompatibile
Iniezione Amphotericin B 0,6 mg/ml
Iniezione Ceftaroline fosamil 2,22 mg/ml
Ringer lattato 3249
Precipitazioni immediate Incompatibile
Iniezione Amphotericin B
NaCl 0,9% + sostanza batteriostatica 3591
Precipitazioni immediate Incompatibile
Iniezione Amphotericin B 0.6 mg/ml
Nutrizione parenterale (privo di lipidi) 301
Precipitazioni immediate Incompatibile
Iniezione Amphotericin B 1 mg/ml
Iniezione Cefiderocol sulfate tosylate 20 mg/mL
Cloruro di sodio 0,9% 4528
Instabilità chimica Incompatibile
Iniezione Amphotericin B 0.1 mg/ml
Iniezione Cefpirome sulfate 50 mg/ml
Cloruro di sodio 0,9% 280
Torbidità immediata Incompatibile
Iniezione Amphotericin B 0,6 mg/ml
Iniezione Ceftaroline fosamil 2,22 mg/ml
Cloruro di sodio 0,9% 3249
Precipitazioni immediate Incompatibile
Iniezione Amphotericin B 0.6 mg/ml
Iniezione Ceftobiprole medocaril sodium 2 mg/ml
Cloruro di sodio 0,9% 2269
Precipitazioni immediate Incompatibile
Iniezione Amphotericin B 0.6 mg/ml
Nutrizione parenterale (con lipidi) 1415
Torbidità immediata Incompatibile
Iniezione Amphotericin B 0.1 mg/ml
Iniezione Cimetidine hydrochloride 0.6 mg/ml
Glucosio 5% 1201
Precipitazioni immediate Incompatibile
Iniezione Amphotericin B 0,6 & 1,2 mg/ml
Nutrizione parenterale (con lipidi) 2043
Instabilità immediata dell'emulsione Incompatibile
Iniezione Amphotericin B 0.01 >> 5 mg/ml
Nutrizione parenterale (con lipidi) 1498
Torbidità immediata Incompatibile
Iniezione Amphotericin B 0.1 mg/ml
Iniezione Ceftolozane / tazobactam 10/5 mg/ml
Glucosio 5% 3828
Precipitazioni immediate Incompatibile
Iniezione Amphotericin B 1.35 mg/ml
Nutrizione parenterale (con lipidi) 793
Precipitazioni immediate Incompatibile
Iniezione Amphotericin B 0.6 mg/ml
Iniezione Ceftobiprole medocaril sodium 2 mg/ml
Ringer lattato 2269
Instabilità chimica Incompatibile
Iniezione Amphotericin B 0.09 mg/ml
Nutrizione parenterale (con lipidi) 984
Incompatibilità non specificata Incompatibile
Iniezione Amphotericin B
Iniezione Calcium gluconate
4964
Precipitazioni immediate Incompatibile
Iniezione Amphotericin B 0,6 mg/ml
Iniezione Caspofungin acetate 0,7 mg/ml
Cloruro di sodio 0,9% 2247
Torbidità immediata Incompatibile
Iniezione Amphotericin B 0,6 mg/ml
Iniezione Ceftaroline fosamil 2,22 mg/ml
Glucosio 5% 3249
Compatibile
Iniezione Amphotericin B
Iniezione Ceftazidime
3883
Incompatibilità non specificata Incompatibile
Iniezione Amphotericin B
Iniezione Ceftobiprole medocaril sodium
4650
Precipitazioni immediate Incompatibile
Iniezione Amphotericin B
Nutrizione parenterale (con lipidi) 270
Precipitazioni immediate Incompatibile
Iniezione Amphotericin B 0.6 mg/ml
Iniezione Ceftobiprole medocaril sodium 2 mg/ml
Glucosio 5% 2269
Instabilità immediata dell'emulsione Incompatibile
Iniezione Amphotericin B 0.6 mg/ml
Nutrizione parenterale (con lipidi) 265
Precipitazioni immediate Incompatibile
Iniezione Amphotericin B 1 mg/ml
Iniezione Cefiderocol sulfate tosylate 20 mg/mL
Glucosio 5% 4528
Instabilità chimica Incompatibile
Iniezione Amphotericin B 0.1 mg/ml
Iniezione Cefpirome sulfate 50 mg/ml
Cloruro di sodio 0,45% 280
Instabilità chimica Incompatibile
Iniezione Amphotericin B 0.1 mg/ml
Iniezione Cefpirome sulfate 50 mg/ml
Ringer lattato 280
Instabilità chimica Incompatibile
Iniezione Amphotericin B 0.1 mg/ml
Iniezione Cefpirome sulfate 50 mg/ml
Glucosio 5% 280
Precipitazioni immediate Incompatibile
Iniezione Amphotericin B 0.1 mg/ml
Iniezione Ciprofloxacin lactate 2 mg/ml
Glucosio 5% 285
Precipitazioni immediate Incompatibile
Iniezione Amphotericin B
Cloruro di sodio 0,9% 3591
Compatibile
Iniezione Amphotericin B 0.6 mg/ml
Iniezione Cisatracurium besylate 0.1 mg/ml
Glucosio 5% 299
Precipitazioni immediate Incompatibile
Iniezione Amphotericin B 0.6 mg/ml
Iniezione Cisatracurium besylate 2 & 5 mg/ml
Glucosio 5% 299
Precipitazioni immediate Incompatibile
Iniezione Amphotericin B 0.6 mg/ml
Iniezione Dexmedetomidine 4 µg/ml
Glucosio 5% 1712
Compatibile
Iniezione Amphotericin B 0.1 mg/ml
Iniezione Diltiazem hydrochloride 1 mg/ml
Cloruro di sodio 0,9% 198
Torbidità immediata Incompatibile
Iniezione Amphotericin B 0.6 mg/ml
Iniezione Docetaxel 0.9 mg/ml
Glucosio 5% 1754
Precipitazioni immediate Incompatibile
Iniezione Amphotericin B
Iniezione Dopamine hydrochloride
Glucosio 5% 3638
Compatibile
Iniezione Amphotericin B 0,6 mg/ml
Iniezione Doripenem 5 mg/ml
Glucosio 5% 2262
Precipitazioni immediate Incompatibile
Iniezione Amphotericin B 0.6 mg/ml
Iniezione Doxorubicin hydrochloride liposome peg 0.4 mg/ml
Glucosio 5% 251
Precipitazioni immediate Incompatibile
Iniezione Amphotericin B 0.6 mg/ml
Iniezione Etoposide phosphate 5 mg/ml
Glucosio 5% 1410
Incompatibile
Iniezione Amphotericin B 0.1 mg/ml
Cloruro di sodio 0,9% 1172
Precipitazioni immediate Incompatibile
Iniezione Amphotericin B 0.6 mg/ml
Iniezione Doripenem 5 mg/ml
Cloruro di sodio 0,9% 2262
Torbidità in 4 ore Incompatibile
Iniezione Amphotericin B 0.1 mg/ml
Iniezione Enalaprilate 1.25 mg/ml
Glucosio 5% 201
Torbidità in 2 ore Incompatibile
Iniezione Amphotericin B 0.1 mg/ml
Iniezione Enalaprilate 0.0125 mg/ml
Glucosio 5% 1703
Compatibile
Iniezione Amphotericin B 0.6 mg/ml
Iniezione Famotidine 2 mg/ml
Cloruro di sodio 0,9% 215
Precipitazioni immediate Incompatibile
Iniezione Amphotericin B 0.6 mg/ml
Iniezione Fenoldopam mesylate 80 µg/ml
Cloruro di sodio 0,9% 1803
Precipitazioni immediate Incompatibile
Iniezione Amphotericin B 0.6 mg/ml
Iniezione Filgrastim 30 µg/ml
Glucosio 5% 244
Torbidità in un'ora Incompatibile
Iniezione Amphotericin B 5 mg/ml
Iniezione Fluconazole 2 mg/ml
Cloruro di sodio 0,9% 496
Compatibile
Iniezione Amphotericin B 0.1 mg/ml
Iniezione Fluconazole 2 mg/ml
Nessuno 256
Precipitazioni dopo 4 ore Incompatibile
Iniezione Amphotericin B 0.6 mg/ml
Iniezione Fludarabine phosphate 1 mg/ml
Glucosio 5% 492
Incompatibilità non specificata Incompatibile
Iniezione Amphotericin B
Iniezione Foscarnet sodium
3662
Torbidità immediata Incompatibile
Iniezione Amphotericin B 0.6 mg/ml
Iniezione Foscarnet sodium 24 mg/ml
Glucosio 5% 1135
Precipitazioni immediate Incompatibile
Iniezione Amphotericin B 5 mg/ml
Iniezione Foscarnet sodium 24 mg/ml
Nessuno 73
Torbidità immediata Incompatibile
Iniezione Amphotericin B 0.1 mg/ml
Iniezione Fosfomycin 30 mg/ml
Glucosio 5% 4055
Precipitazioni immediate Incompatibile
Iniezione Amphotericin B 0.6 mg/ml
Iniezione Gemcitabine hydrochloride 10 mg/ml
Cloruro di sodio 0,9% 1423
Torbidità immediata Incompatibile
Iniezione Amphotericin B 0.6 mg/ml
Iniezione Granisetron hydrochloride 0.05 mg/ml
Glucosio 5% 182
Precipitazioni immediate Incompatibile
Iniezione Amphotericin B 0.6 mg/ml
Iniezione Hetastarch 60 mg/ml
solvente specifico 1721
Torbidità immediata Incompatibile
Iniezione Amphotericin B 0.1 mg/ml
Iniezione Isavuconazonium sulfate 1.5 mg/ml
Glucosio 5% 3829
Precipitazioni immediate Incompatibile
Iniezione Amphotericin B 0.6 mg/ml
Iniezione Lansoprazole 0.55 mg/ml
Cloruro di sodio 0,9% 1625
Incompatibilità non specificata Incompatibile
Iniezione Amphotericin B
Iniezione Lidocaine hydrochloride
5060
Precipitazioni immediate Incompatibile
Iniezione Amphotericin B 0.6 mg/ml
Iniezione Linezolid 2 mg/ml
Nessuno 1925
Incompatibilità non specificata Incompatibile
Iniezione Amphotericin B
Iniezione Linezolid
3560
Precipitazioni dopo 2 ore Incompatibile
Iniezione Amphotericin B 0,04 & 0,08 mg/ml
Iniezione Magnesium sulfate 2 & 4 mg/ml
Glucosio 5% 682
Torbidità immediata Incompatibile
Iniezione Amphotericin B 0.6 mg/ml
Iniezione Melphalan 0.1 mg/ml
Cloruro di sodio 0,9% 169
Instabilità chimica Incompatibile
Iniezione Amphotericin B 0.6 mg/ml
Iniezione Melphalan 0.1 mg/ml
Glucosio 5% 169
Compatibile
Iniezione Amphotericin B 5 mg/ml
Iniezione Meropenem 1 & 50 mg/ml
Cloruro di sodio 0,9% 266
Compatibile
Iniezione Amphotericin B 0.2 mg/ml
Iniezione Meropenem 1 & 20 mg/ml
Cloruro di sodio 0,9% 266
Incompatibilità non specificata Incompatibile
Iniezione Amphotericin B
Iniezione Metaraminol
5046
Incompatibilità non specificata Incompatibile
Iniezione Amphotericin B
Iniezione N-acetylcysteine 200 mg/ml
Nessuno 3766
Precipitazioni immediate Incompatibile
Iniezione Amphotericin B 0,5 mg/ml
Iniezione Nalbuphine hydrochloride 0,05 >>0,33 mg/ml
Cloruro di sodio 0,9% 5097
Precipitazioni immediate Incompatibile
Iniezione Amphotericin B 0,5 mg/ml
Iniezione Nalbuphine hydrochloride 0,05 >> 0,33 mg/ml
Glucosio 5% 4867
Incompatibilità non specificata Incompatibile
Iniezione Amphotericin B 4 mg/ml
Iniezione Naloxone hydrochloride 0.4 mg/ml
Nessuno 3408
Torbidità immediata Incompatibile
Iniezione Amphotericin B 0.6 mg/ml
Iniezione Ondansetron hydrochloride 1 mg/ml
Glucosio 5% 334
Torbidità immediata Incompatibile
Iniezione Amphotericin B 0.1 mg/ml
Iniezione Oritavancin 0.8>>2 mg/ml
Glucosio 5% 3152
Torbidità immediata Incompatibile
Iniezione Amphotericin B 0.6 mg/ml
Iniezione Paclitaxel 1.2 mg/ml
Glucosio 5% 248
Torbidità in un'ora Incompatibile
Iniezione Amphotericin B
Iniezione Pantoprazole sodium
2090
Precipitazioni immediate Incompatibile
Iniezione Amphotericin B 0.6 mg/ml
Iniezione Pemetrexed disodium 20 mg/ml
Cloruro di sodio 0,9% 1953
Incompatibilità non specificata Incompatibile
Iniezione Amphotericin B
Iniezione Penicillin G sodium
3585
Compatibile
Iniezione Amphotericin B 0,1 mg/ml
Iniezione Pentoxifyllin 5 mg/ml
Glucosio 5% 4543
Compatibile
Iniezione Amphotericin B 1 mg/ml
Iniezione Phloroglucinol 2,5 mg/ml
3791
Precipitazioni immediate Incompatibile
Iniezione Amphotericin B 0.6 mg/ml
Iniezione Piperacillin sodium / tazobactam 40/5 mg/ml
Glucosio 5% 81
Torbidità immediata Incompatibile
Iniezione Amphotericin B 0,1 mg/ml
Iniezione Plazomicin sulfate 24 mg/ml
Cloruro di sodio 0,9% 4145
Precipitazioni immediate Incompatibile
Iniezione Amphotericin B 0.6 mg/ml
Iniezione Propofol 10 mg/ml
Nessuno 300
Compatibile
Iniezione Amphotericin B 0.6 mg/ml
Iniezione Remifentanil hydrochloride 25 µg/ml
Glucosio 5% 59
Precipitazioni immediate Incompatibile
Iniezione Amphotericin B 0.6 mg/ml
Iniezione Remifentanil hydrochloride 250 µg/ml
Glucosio 5% 59
Incompatibilità non specificata Incompatibile
Iniezione Amphotericin B
Iniezione Rocuronium bromide
3564
Torbidità immediata Incompatibile
Iniezione Amphotericin B 50 mg/ml
Iniezione Salbutamol sulfate 1 mg/ml
Nessuno 3216
Compatibile
Iniezione Amphotericin B 0.6 mg/ml
Iniezione Sargramostim 10 µg/ml
Glucosio 5% 335
Precipitazioni immediate Incompatibile
Iniezione Amphotericin B 0.6 mg/ml
Iniezione Sargramostim 10 µg/ml
Cloruro di sodio 0,9% 335
Precipitazioni immediate Incompatibile
Iniezione Amphotericin B 0,1 mg/ml
Iniezione Sildenafil citrate 0,6 mg/ml
Glucosio 5% 4845
Instabilità chimica Incompatibile
Iniezione Amphotericin B 0.1 mg/ml
Iniezione Sildenafil citrate 0,6 mg/ml
Glucosio 5% 4845
Compatibile
Iniezione Amphotericin B 5 mg/ml
Iniezione Tacrolimus 1000 µg/ml
Acqua per preparato iniettabile 479
Torbidità immediata Incompatibile
Iniezione Amphotericin B 0,1 mg/ml
Iniezione Telavancin hydrochloride 7,5 mg/ml
Glucosio 5% 3254
Compatibile
Iniezione Amphotericin B 0.6 mg/ml
Iniezione Teniposide 0.1 mg/ml
Glucosio 5% 905
Precipitazioni immediate Incompatibile
Iniezione Amphotericin B
Iniezione Thiopental sodium 25 mg/ml
Cloruro di sodio 0,9% 3767
Compatibile
Iniezione Amphotericin B 0.6 mg/ml
Iniezione Thiotepa 1 mg/ml
Glucosio 5% 249
Incompatibilità non specificata Incompatibile
Iniezione Amphotericin B
Iniezione Tigecycline
3332
Precipitazioni dopo 8 ore Incompatibile
Iniezione Amphotericin B 0.1 mg/ml
Iniezione Verapamil hydrochloride 0.08 mg/ml
Glucosio 5% 1057
Precipitazioni immediate Incompatibile
Iniezione Amphotericin B 0.1 mg/ml
Iniezione Verapamil hydrochloride 0.08 mg/ml
Cloruro di sodio 0,9% 1057
Precipitazioni immediate Incompatibile
Iniezione Amphotericin B 0.6 mg/ml
Iniezione Vinorelbine tartrate 1 mg/ml
Glucosio 5% 84
Compatibile
Iniezione Amphotericin B 0.6 mg/ml
Iniezione Zidovudine 4 mg/ml
Glucosio 5% 337
Precipitazioni immediate Incompatibile
Iniezione Amphotericin B ? mg/ml
Cloruro di sodio 0,9% 892
Precipitazioni immediate Incompatibile
Iniezione Amphotericin B 0.6 mg/ml
Iniezione Vinorelbine tartrate 1 mg/ml
Cloruro di sodio 0,9% 84

  Mentions Légales