Última actualización :
18/03/2026
Antifúngico   Amphotericin B  
Inyectables
Aerosol Enjuagues bucales Gotas oculares Solución Oral
Estabilidad en solucion Estabilidad en mezcla Factores que influyen sobre la estabilidad Compatibilidades método de inyección Bibliografía pdf
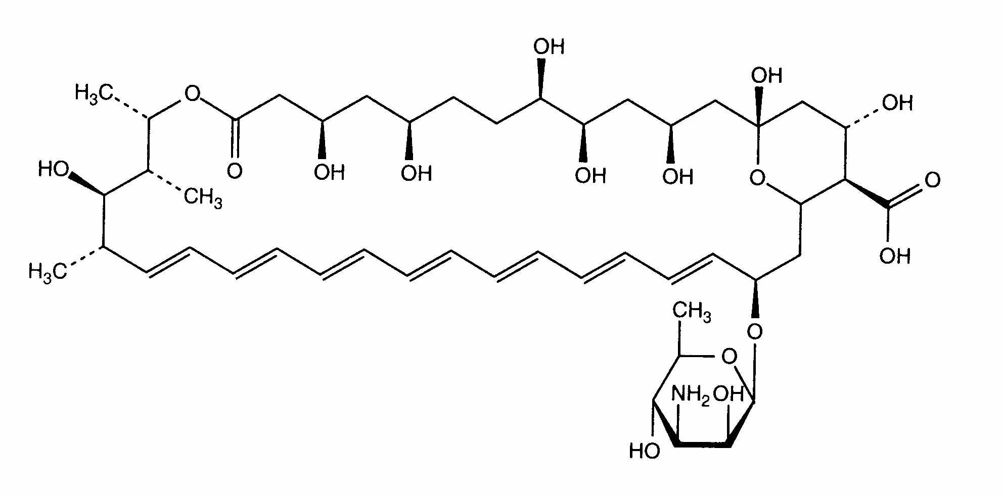
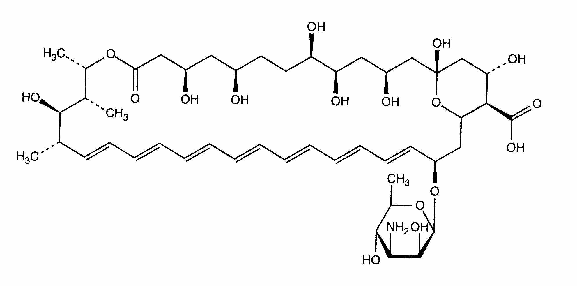
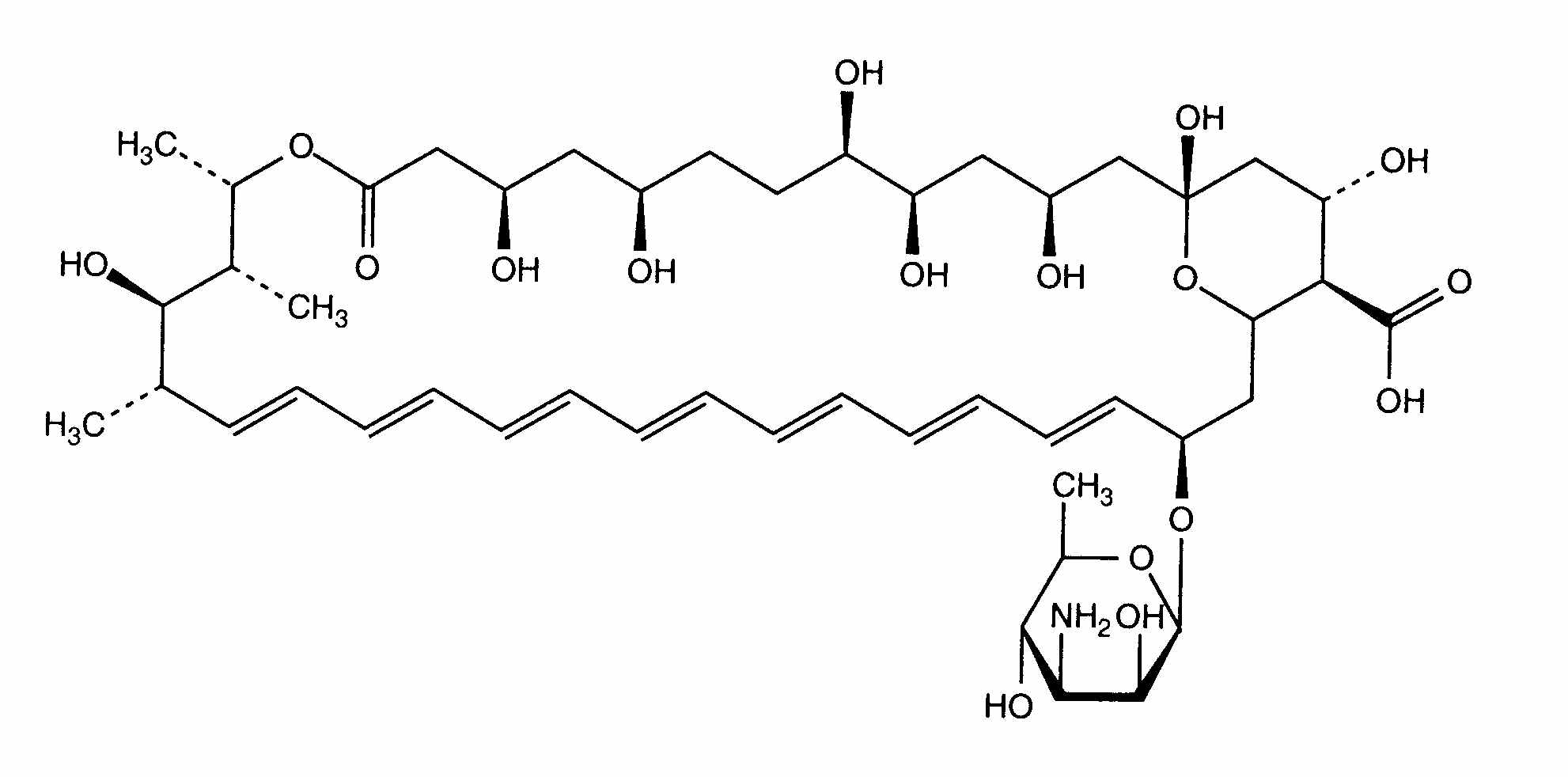
   Estructura química  

Nombre comercial   Nombre comercial     

Los nombres comerciales son orientativos y los excipientes de la formulación pueden ser distintos dependiendo del país y del laboratorio fabricante.

Fungizone Alemania, Canadá, Colombia, Dinamarca, Estados Unidos de América, Finlandia, Francia, Gran Bretaña, Grecia, Hungría, India, Irán, Irlanda, Italia, Malasia, Marruecos, Nueva Zelanda, Países Bajos, Portugal, Suecia, Suiza, Túnez, Turquía, Venezuela
Compatibilidades   Inyectables   Compatibilidades : Amphotericin B              
Esta pantalla muestra las compatibilidades o incompatibilidades, así como el tipo de incompatibilidad (precipitación, cambio de color, modificación de una emulsión, etc). Las compatibilidades que se recogen aquí son fundamentalmente físicas, mostrando raramente la estabilidad química de la molécula. La evaluación de estas mezclas se estudió con el fin de de comprobar la posibilidad de administración en Y al paciente. Estos datos no pueden utilizarse en el caso de la preparación de mezclas dentro de bolsas o jeringas. Este tipo de información está disponible en la pantalla “Estabilidad en mezcla”.
Molécula Solvente Bibliografía
Compatible
Inyectables Amphotericin B 1.6 mg/ml
Inyectables Aldesleukin 0.0338 MUI/ml
Glucosa 5% 36
Precipitación inmediata Incompatible
Inyectables Amphotericin B 0.6 mg/ml
Inyectables Aztreonam 40 mg/ml
Glucosa 5% 99
Incompatibilidad no especificada Incompatible
Inyectables Amphotericin B
Ringer lactato 3968
Pérdida de turbidez Incompatible
Inyectables Amphotericin B 0.6 mg/ml
Inyectables Allopurinol sodium 3 mg/ml
Cloruro de sodio 0,9% 307
Turbidez inmediata Incompatible
Inyectables Amphotericin B 0.6 mg/ml
Inyectables Amifostine 10 mg/ml
Glucosa 5% 3
Incompatibilidad no especificada Incompatible
Inyectables Amphotericin B
Inyectables Amikacin sulfate
3549
Compatible
Inyectables Amphotericin B 0,5 mg/ml
Inyectables Amiodarone hydrochloride 6 mg/ml
Glucosa 5% 1611
Turbidez inmediata Incompatible
Inyectables Amphotericin B 0,6 mg/ml
Inyectables Anidulafungin 0,5 mg/ml
Glucosa 5% 1982
Precipitación inmediata Incompatible
Inyectables Amphotericin B
Inyectables Bivalirudin
3539
Precipitación inmediata Incompatible
Inyectables Amphotericin B 0.6 mg/ml
Inyectables Bivalirudin 5 mg/ml
Glucosa 5% 1713
Compatible
Inyectables Amphotericin B 0.1 mg/ml
Inyectables Caffeine 10 mg/ml
Glucosa 5% 4837
Compatible
Inyectables Amphotericin B 0,1 mg/ml
Inyectables Caffeine citrate 20 mg/ml
Glucosa 5% 4837
Compatible
Inyectables Amphotericin B
Glucosa 5% 3591
Pérdida de turbidez Incompatible
Inyectables Amphotericin B 0.6 mg/ml
Inyectables Allopurinol sodium 3 mg/ml
Glucosa 5% 307
Precipitación inmediata Incompatible
Inyectables Amphotericin B 0.6 mg/ml
Inyectables Amsacrine 1 mg/ml
Glucosa 5% 253
Incompatible
Inyectables Amphotericin B 0.1 mg/ml
Ringer lactato 1172
Incompatibilidad no especificada Incompatible
Inyectables Amphotericin B
Inyectables Calcium gluconate
3644
Precipitación después de 1 hora Incompatible
Inyectables Amphotericin B
Inyectables Cefotaxime sodium
Cloruro de sodio 0,9% 3871
Turbidez inmediata Incompatible
Inyectables Amphotericin B 0,6 mg/ml
Inyectables Ceftaroline fosamil 2,22 mg/ml
Ringer lactato 3249
Precipitación inmediata Incompatible
Inyectables Amphotericin B
NaCl 0,9% + bacteriostático 3591
Precipitación inmediata Incompatible
Inyectables Amphotericin B 0.6 mg/ml
Nutrición parenteral (libre de lípidos) 301
Precipitación inmediata Incompatible
Inyectables Amphotericin B 1 mg/ml
Inyectables Cefiderocol sulfate tosylate 20 mg/mL
Cloruro de sodio 0,9% 4528
Inestabilidad química Incompatible
Inyectables Amphotericin B 0.1 mg/ml
Inyectables Cefpirome sulfate 50 mg/ml
Cloruro de sodio 0,9% 280
Turbidez inmediata Incompatible
Inyectables Amphotericin B 0,6 mg/ml
Inyectables Ceftaroline fosamil 2,22 mg/ml
Cloruro de sodio 0,9% 3249
Precipitación inmediata Incompatible
Inyectables Amphotericin B 0.6 mg/ml
Inyectables Ceftobiprole medocaril sodium 2 mg/ml
Cloruro de sodio 0,9% 2269
Precipitación inmediata Incompatible
Inyectables Amphotericin B 0.6 mg/ml
Nutrición parenteral (con lípidos) 1415
Turbidez inmediata Incompatible
Inyectables Amphotericin B 0.1 mg/ml
Inyectables Cimetidine hydrochloride 0.6 mg/ml
Glucosa 5% 1201
Precipitación inmediata Incompatible
Inyectables Amphotericin B 0,6 & 1,2 mg/ml
Nutrición parenteral (con lípidos) 2043
Inestabilidad inmediata de la emulsión Incompatible
Inyectables Amphotericin B 0.01 >> 5 mg/ml
Nutrición parenteral (con lípidos) 1498
Turbidez inmediata Incompatible
Inyectables Amphotericin B 0.1 mg/ml
Inyectables Ceftolozane / tazobactam 10/5 mg/ml
Glucosa 5% 3828
Precipitación inmediata Incompatible
Inyectables Amphotericin B 1.35 mg/ml
Nutrición parenteral (con lípidos) 793
Precipitación inmediata Incompatible
Inyectables Amphotericin B 0.6 mg/ml
Inyectables Ceftobiprole medocaril sodium 2 mg/ml
Ringer lactato 2269
Inestabilidad química Incompatible
Inyectables Amphotericin B 0.09 mg/ml
Nutrición parenteral (con lípidos) 984
Incompatibilidad no especificada Incompatible
Inyectables Amphotericin B
Inyectables Calcium gluconate
4964
Precipitación inmediata Incompatible
Inyectables Amphotericin B 0,6 mg/ml
Inyectables Caspofungin acetate 0,7 mg/ml
Cloruro de sodio 0,9% 2247
Turbidez inmediata Incompatible
Inyectables Amphotericin B 0,6 mg/ml
Inyectables Ceftaroline fosamil 2,22 mg/ml
Glucosa 5% 3249
Compatible
Inyectables Amphotericin B
Inyectables Ceftazidime
3883
Incompatibilidad no especificada Incompatible
Inyectables Amphotericin B
Inyectables Ceftobiprole medocaril sodium
4650
Precipitación inmediata Incompatible
Inyectables Amphotericin B
Nutrición parenteral (con lípidos) 270
Precipitación inmediata Incompatible
Inyectables Amphotericin B 0.6 mg/ml
Inyectables Ceftobiprole medocaril sodium 2 mg/ml
Glucosa 5% 2269
Inestabilidad inmediata de la emulsión Incompatible
Inyectables Amphotericin B 0.6 mg/ml
Nutrición parenteral (con lípidos) 265
Precipitación inmediata Incompatible
Inyectables Amphotericin B 1 mg/ml
Inyectables Cefiderocol sulfate tosylate 20 mg/mL
Glucosa 5% 4528
Inestabilidad química Incompatible
Inyectables Amphotericin B 0.1 mg/ml
Inyectables Cefpirome sulfate 50 mg/ml
Cloruro de sodio 0,45% 280
Inestabilidad química Incompatible
Inyectables Amphotericin B 0.1 mg/ml
Inyectables Cefpirome sulfate 50 mg/ml
Ringer lactato 280
Inestabilidad química Incompatible
Inyectables Amphotericin B 0.1 mg/ml
Inyectables Cefpirome sulfate 50 mg/ml
Glucosa 5% 280
Precipitación inmediata Incompatible
Inyectables Amphotericin B 0.1 mg/ml
Inyectables Ciprofloxacin lactate 2 mg/ml
Glucosa 5% 285
Precipitación inmediata Incompatible
Inyectables Amphotericin B
Cloruro de sodio 0,9% 3591
Compatible
Inyectables Amphotericin B 0.6 mg/ml
Inyectables Cisatracurium besylate 0.1 mg/ml
Glucosa 5% 299
Precipitación inmediata Incompatible
Inyectables Amphotericin B 0.6 mg/ml
Inyectables Cisatracurium besylate 2 & 5 mg/ml
Glucosa 5% 299
Precipitación inmediata Incompatible
Inyectables Amphotericin B 0.6 mg/ml
Inyectables Dexmedetomidine 4 µg/ml
Glucosa 5% 1712
Compatible
Inyectables Amphotericin B 0.1 mg/ml
Inyectables Diltiazem hydrochloride 1 mg/ml
Cloruro de sodio 0,9% 198
Turbidez inmediata Incompatible
Inyectables Amphotericin B 0.6 mg/ml
Inyectables Docetaxel 0.9 mg/ml
Glucosa 5% 1754
Precipitación inmediata Incompatible
Inyectables Amphotericin B
Inyectables Dopamine hydrochloride
Glucosa 5% 3638
Compatible
Inyectables Amphotericin B 0,6 mg/ml
Inyectables Doripenem 5 mg/ml
Glucosa 5% 2262
Precipitación inmediata Incompatible
Inyectables Amphotericin B 0.6 mg/ml
Inyectables Doxorubicin hydrochloride liposome peg 0.4 mg/ml
Glucosa 5% 251
Precipitación inmediata Incompatible
Inyectables Amphotericin B 0.6 mg/ml
Inyectables Etoposide phosphate 5 mg/ml
Glucosa 5% 1410
Incompatible
Inyectables Amphotericin B 0.1 mg/ml
Cloruro de sodio 0,9% 1172
Precipitación inmediata Incompatible
Inyectables Amphotericin B 0.6 mg/ml
Inyectables Doripenem 5 mg/ml
Cloruro de sodio 0,9% 2262
Turbidez en 4 horas Incompatible
Inyectables Amphotericin B 0.1 mg/ml
Inyectables Enalaprilate 1.25 mg/ml
Glucosa 5% 201
Turbidez en 2 horas Incompatible
Inyectables Amphotericin B 0.1 mg/ml
Inyectables Enalaprilate 0.0125 mg/ml
Glucosa 5% 1703
Compatible
Inyectables Amphotericin B 0.6 mg/ml
Inyectables Famotidine 2 mg/ml
Cloruro de sodio 0,9% 215
Precipitación inmediata Incompatible
Inyectables Amphotericin B 0.6 mg/ml
Inyectables Fenoldopam mesylate 80 µg/ml
Cloruro de sodio 0,9% 1803
Precipitación inmediata Incompatible
Inyectables Amphotericin B 0.6 mg/ml
Inyectables Filgrastim 30 µg/ml
Glucosa 5% 244
Turbidez en una hora Incompatible
Inyectables Amphotericin B 5 mg/ml
Inyectables Fluconazole 2 mg/ml
Cloruro de sodio 0,9% 496
Compatible
Inyectables Amphotericin B 0.1 mg/ml
Inyectables Fluconazole 2 mg/ml
Ninguno 256
Precipitación después de 4 horas. Incompatible
Inyectables Amphotericin B 0.6 mg/ml
Inyectables Fludarabine phosphate 1 mg/ml
Glucosa 5% 492
Incompatibilidad no especificada Incompatible
Inyectables Amphotericin B
Inyectables Foscarnet sodium
3662
Turbidez inmediata Incompatible
Inyectables Amphotericin B 0.6 mg/ml
Inyectables Foscarnet sodium 24 mg/ml
Glucosa 5% 1135
Precipitación inmediata Incompatible
Inyectables Amphotericin B 5 mg/ml
Inyectables Foscarnet sodium 24 mg/ml
Ninguno 73
Turbidez inmediata Incompatible
Inyectables Amphotericin B 0.1 mg/ml
Inyectables Fosfomycin 30 mg/ml
Glucosa 5% 4055
Precipitación inmediata Incompatible
Inyectables Amphotericin B 0.6 mg/ml
Inyectables Gemcitabine hydrochloride 10 mg/ml
Cloruro de sodio 0,9% 1423
Turbidez inmediata Incompatible
Inyectables Amphotericin B 0.6 mg/ml
Inyectables Granisetron hydrochloride 0.05 mg/ml
Glucosa 5% 182
Precipitación inmediata Incompatible
Inyectables Amphotericin B 0.6 mg/ml
Inyectables Hetastarch 60 mg/ml
específico disolvente 1721
Turbidez inmediata Incompatible
Inyectables Amphotericin B 0.1 mg/ml
Inyectables Isavuconazonium sulfate 1.5 mg/ml
Glucosa 5% 3829
Precipitación inmediata Incompatible
Inyectables Amphotericin B 0.6 mg/ml
Inyectables Lansoprazole 0.55 mg/ml
Cloruro de sodio 0,9% 1625
Incompatibilidad no especificada Incompatible
Inyectables Amphotericin B
Inyectables Lidocaine hydrochloride
5060
Precipitación inmediata Incompatible
Inyectables Amphotericin B 0.6 mg/ml
Inyectables Linezolid 2 mg/ml
Ninguno 1925
Incompatibilidad no especificada Incompatible
Inyectables Amphotericin B
Inyectables Linezolid
3560
Precipitación después de 2 horas. Incompatible
Inyectables Amphotericin B 0,04 & 0,08 mg/ml
Inyectables Magnesium sulfate 2 & 4 mg/ml
Glucosa 5% 682
Turbidez inmediata Incompatible
Inyectables Amphotericin B 0.6 mg/ml
Inyectables Melphalan 0.1 mg/ml
Cloruro de sodio 0,9% 169
Inestabilidad química Incompatible
Inyectables Amphotericin B 0.6 mg/ml
Inyectables Melphalan 0.1 mg/ml
Glucosa 5% 169
Compatible
Inyectables Amphotericin B 5 mg/ml
Inyectables Meropenem 1 & 50 mg/ml
Cloruro de sodio 0,9% 266
Compatible
Inyectables Amphotericin B 0.2 mg/ml
Inyectables Meropenem 1 & 20 mg/ml
Cloruro de sodio 0,9% 266
Incompatibilidad no especificada Incompatible
Inyectables Amphotericin B
Inyectables Metaraminol
5046
Incompatibilidad no especificada Incompatible
Inyectables Amphotericin B
Inyectables N-acetylcysteine 200 mg/ml
Ninguno 3766
Precipitación inmediata Incompatible
Inyectables Amphotericin B 0,5 mg/ml
Inyectables Nalbuphine hydrochloride 0,05 >>0,33 mg/ml
Cloruro de sodio 0,9% 5097
Precipitación inmediata Incompatible
Inyectables Amphotericin B 0,5 mg/ml
Inyectables Nalbuphine hydrochloride 0,05 >> 0,33 mg/ml
Glucosa 5% 4867
Incompatibilidad no especificada Incompatible
Inyectables Amphotericin B 4 mg/ml
Inyectables Naloxone hydrochloride 0.4 mg/ml
Ninguno 3408
Turbidez inmediata Incompatible
Inyectables Amphotericin B 0.6 mg/ml
Inyectables Ondansetron hydrochloride 1 mg/ml
Glucosa 5% 334
Turbidez inmediata Incompatible
Inyectables Amphotericin B 0.1 mg/ml
Inyectables Oritavancin 0.8>>2 mg/ml
Glucosa 5% 3152
Turbidez inmediata Incompatible
Inyectables Amphotericin B 0.6 mg/ml
Inyectables Paclitaxel 1.2 mg/ml
Glucosa 5% 248
Turbidez en una hora Incompatible
Inyectables Amphotericin B
Inyectables Pantoprazole sodium
2090
Precipitación inmediata Incompatible
Inyectables Amphotericin B 0.6 mg/ml
Inyectables Pemetrexed disodium 20 mg/ml
Cloruro de sodio 0,9% 1953
Incompatibilidad no especificada Incompatible
Inyectables Amphotericin B
Inyectables Penicillin G sodium
3585
Compatible
Inyectables Amphotericin B 0,1 mg/ml
Inyectables Pentoxifyllin 5 mg/ml
Glucosa 5% 4543
Compatible
Inyectables Amphotericin B 1 mg/ml
Inyectables Phloroglucinol 2,5 mg/ml
3791
Precipitación inmediata Incompatible
Inyectables Amphotericin B 0.6 mg/ml
Inyectables Piperacillin sodium / tazobactam 40/5 mg/ml
Glucosa 5% 81
Turbidez inmediata Incompatible
Inyectables Amphotericin B 0,1 mg/ml
Inyectables Plazomicin sulfate 24 mg/ml
Cloruro de sodio 0,9% 4145
Precipitación inmediata Incompatible
Inyectables Amphotericin B 0.6 mg/ml
Inyectables Propofol 10 mg/ml
Ninguno 300
Compatible
Inyectables Amphotericin B 0.6 mg/ml
Inyectables Remifentanil hydrochloride 25 µg/ml
Glucosa 5% 59
Precipitación inmediata Incompatible
Inyectables Amphotericin B 0.6 mg/ml
Inyectables Remifentanil hydrochloride 250 µg/ml
Glucosa 5% 59
Incompatibilidad no especificada Incompatible
Inyectables Amphotericin B
Inyectables Rocuronium bromide
3564
Turbidez inmediata Incompatible
Inyectables Amphotericin B 50 mg/ml
Inyectables Salbutamol sulfate 1 mg/ml
Ninguno 3216
Compatible
Inyectables Amphotericin B 0.6 mg/ml
Inyectables Sargramostim 10 µg/ml
Glucosa 5% 335
Precipitación inmediata Incompatible
Inyectables Amphotericin B 0.6 mg/ml
Inyectables Sargramostim 10 µg/ml
Cloruro de sodio 0,9% 335
Precipitación inmediata Incompatible
Inyectables Amphotericin B 0,1 mg/ml
Inyectables Sildenafil citrate 0,6 mg/ml
Glucosa 5% 4845
Inestabilidad química Incompatible
Inyectables Amphotericin B 0.1 mg/ml
Inyectables Sildenafil citrate 0,6 mg/ml
Glucosa 5% 4845
Compatible
Inyectables Amphotericin B 5 mg/ml
Inyectables Tacrolimus 1000 µg/ml
Agua para preparación inyectable 479
Turbidez inmediata Incompatible
Inyectables Amphotericin B 0,1 mg/ml
Inyectables Telavancin hydrochloride 7,5 mg/ml
Glucosa 5% 3254
Compatible
Inyectables Amphotericin B 0.6 mg/ml
Inyectables Teniposide 0.1 mg/ml
Glucosa 5% 905
Precipitación inmediata Incompatible
Inyectables Amphotericin B
Inyectables Thiopental sodium 25 mg/ml
Cloruro de sodio 0,9% 3767
Compatible
Inyectables Amphotericin B 0.6 mg/ml
Inyectables Thiotepa 1 mg/ml
Glucosa 5% 249
Incompatibilidad no especificada Incompatible
Inyectables Amphotericin B
Inyectables Tigecycline
3332
Precipitación después de 8 horas. Incompatible
Inyectables Amphotericin B 0.1 mg/ml
Inyectables Verapamil hydrochloride 0.08 mg/ml
Glucosa 5% 1057
Precipitación inmediata Incompatible
Inyectables Amphotericin B 0.1 mg/ml
Inyectables Verapamil hydrochloride 0.08 mg/ml
Cloruro de sodio 0,9% 1057
Precipitación inmediata Incompatible
Inyectables Amphotericin B 0.6 mg/ml
Inyectables Vinorelbine tartrate 1 mg/ml
Glucosa 5% 84
Compatible
Inyectables Amphotericin B 0.6 mg/ml
Inyectables Zidovudine 4 mg/ml
Glucosa 5% 337
Precipitación inmediata Incompatible
Inyectables Amphotericin B ? mg/ml
Cloruro de sodio 0,9% 892
Precipitación inmediata Incompatible
Inyectables Amphotericin B 0.6 mg/ml
Inyectables Vinorelbine tartrate 1 mg/ml
Cloruro de sodio 0,9% 84

  Mentions Légales