Poslední aktualizace :
18/03/2026
Protiplísňový přípravek   Amphotericin B  
injekce
Aerosol Humbuk kloktadlo Perorální roztok
Stabilita roztoků Stabilita směsí Faktory ovlivňující stabilitu Kompatibilita Způsoby aplikace Odkazy pdf
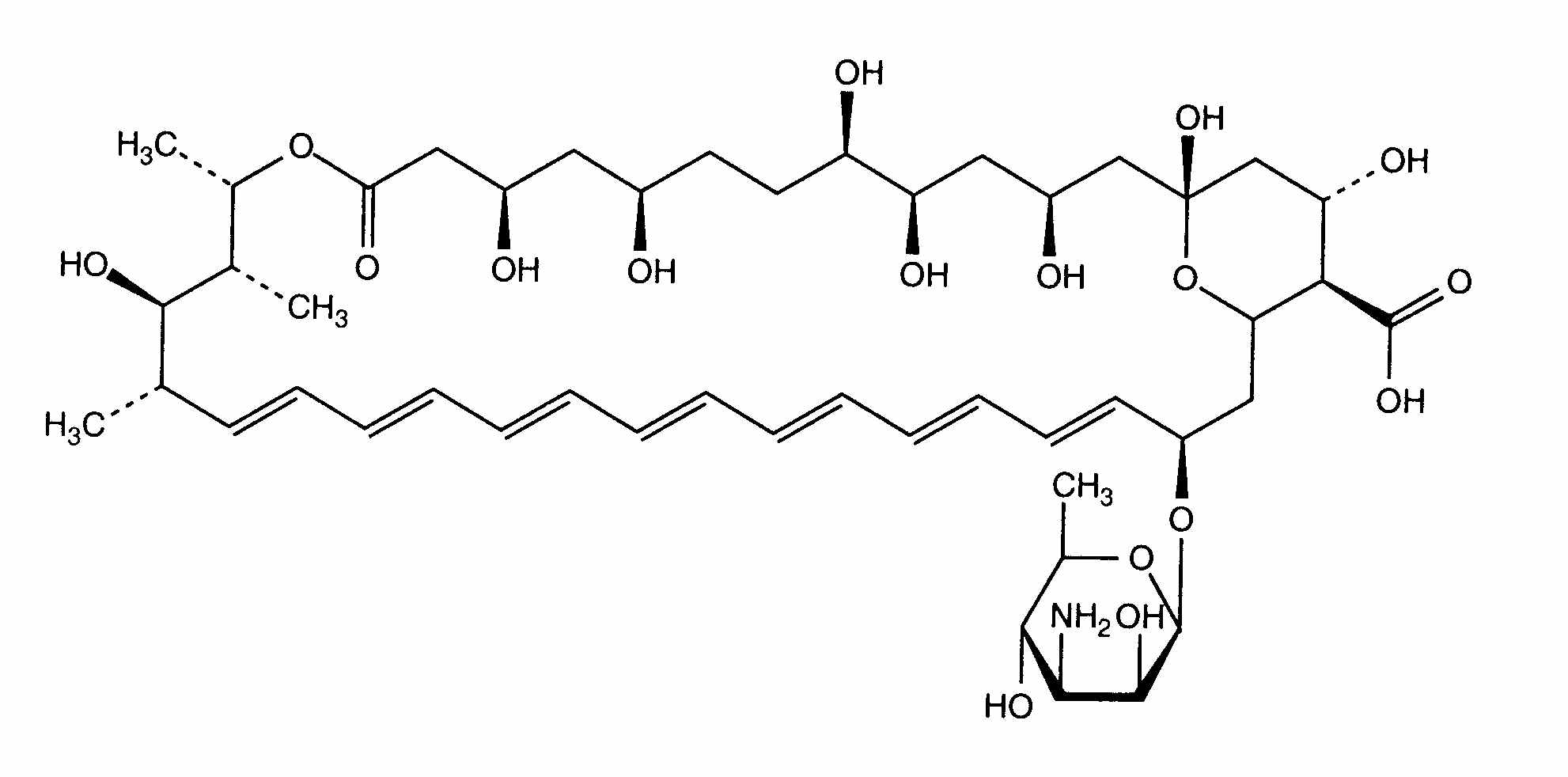
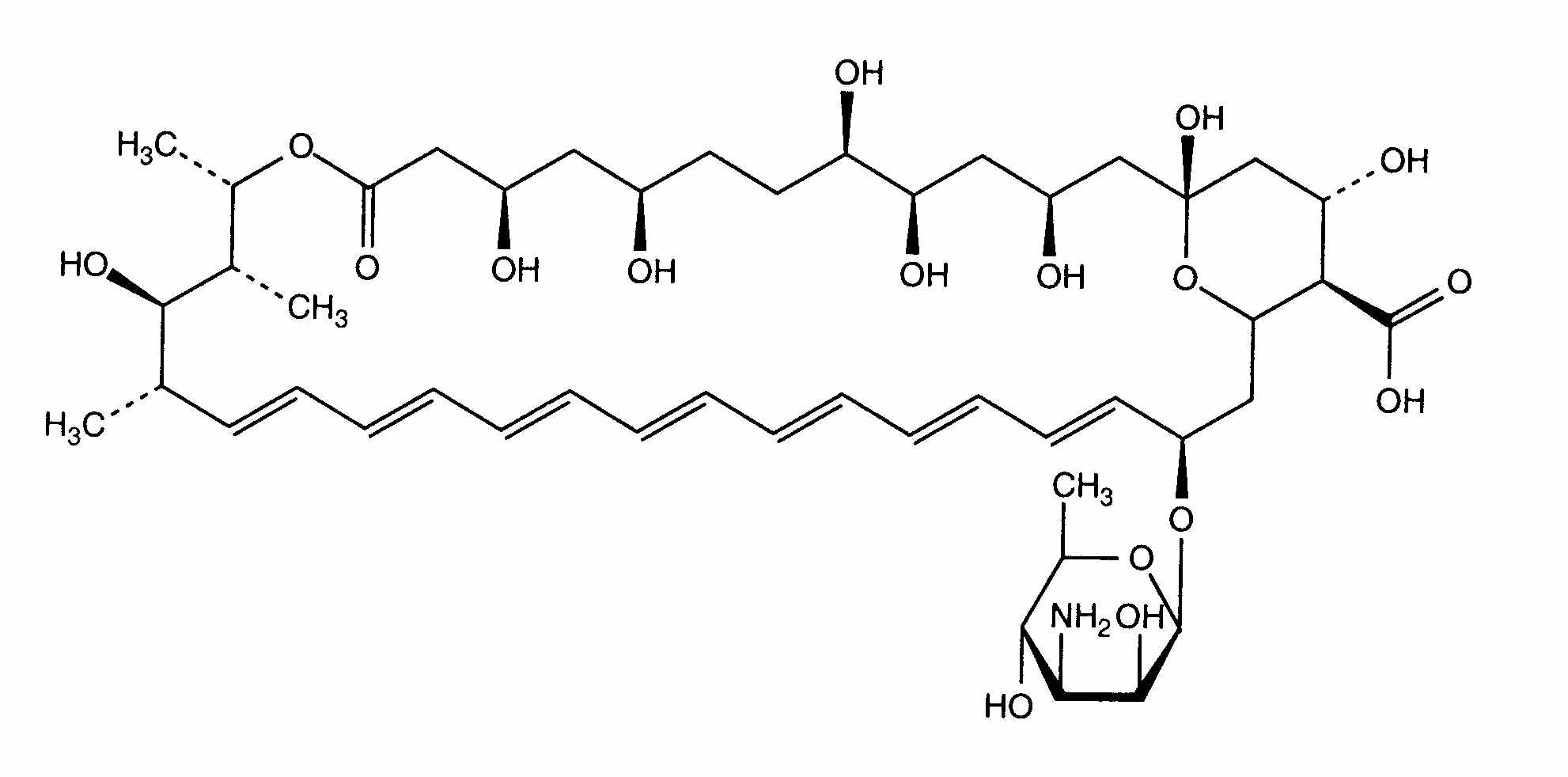
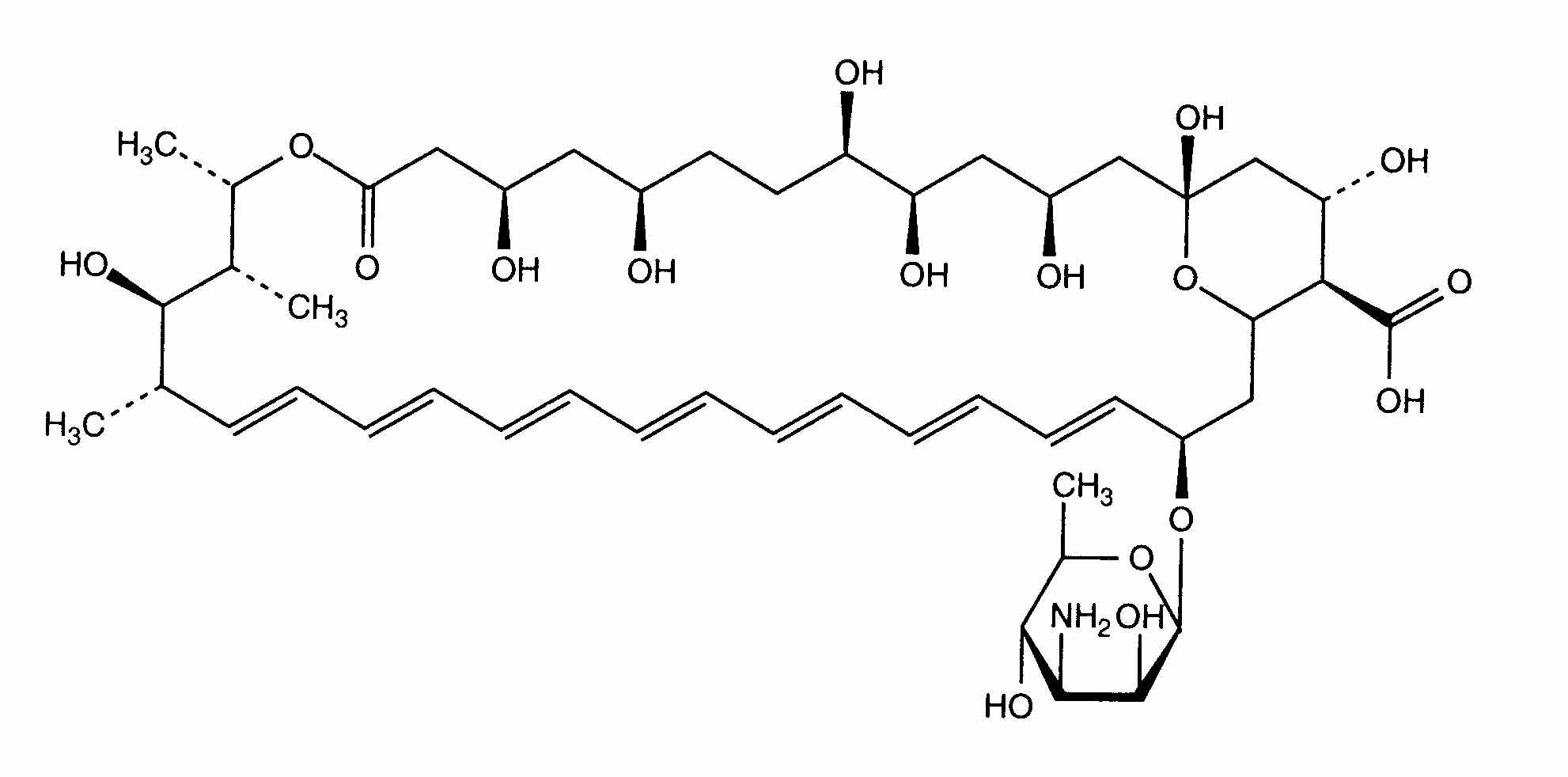
   Chemický vzorec  

Obchodní název   Obchodní název     

Trade names are indicative and excipients composition can be different depending on the country and manufacturers

Fungizone Dánsko, Finsko, Francie, Indie, Írán, Irsko, Itálie, Kanada, Kolumbie, Malajsie, MaÔarsko, Maroko, NÏmecko, Nizozemsko, nový Zéland, Portugalsko, Švédsko, Švýcarsko, Tunisko, Turecko, USA, Velká Británie, Venezuela, ÿecko
Kompatibilita   injekce   Kompatibilita : Amphotericin B              
Tato obrazovka ukazuje kompatibilitu nebo nekompatibilitu s, v tomto případě, typem nekompatibility (srážení, změna barvy, modifikace emulze atd.). Zde uvedené kompatibility jsou většinou pouze fyzikální, přičemž chemická stabilita každé molekuly je zřídka hodnocena. Hodnocení těchto směsí bylo studováno, aby se zvážila možnost podání Y-místa pacientovi. Tyto údaje nelze použít k přípravě směsí předem v pytlích nebo stříkačkách. Tento typ informací je k dispozici na obrazovce „Stabilita ve směsi“.
SlouËenina RozpouötÏdlo Odkazy
Kompatibilní
injekce Amphotericin B 1.6 mg/ml
injekce Aldesleukin 0.0338 MUI/ml
GlukÛza 5% 36
Okamžité srážení Nekompatibilní
injekce Amphotericin B 0.6 mg/ml
injekce Aztreonam 40 mg/ml
GlukÛza 5% 99
Nespecifikovaná nekompatibilita Nekompatibilní
injekce Amphotericin B
RingerŐs laktátový roztok 3968
Ztráta zákalu Nekompatibilní
injekce Amphotericin B 0.6 mg/ml
injekce Allopurinol sodium 3 mg/ml
Chlorid sodný 0,9% 307
Okamžitá zákal Nekompatibilní
injekce Amphotericin B 0.6 mg/ml
injekce Amifostine 10 mg/ml
GlukÛza 5% 3
Nespecifikovaná nekompatibilita Nekompatibilní
injekce Amphotericin B
injekce Amikacin sulfate
3549
Kompatibilní
injekce Amphotericin B 0,5 mg/ml
injekce Amiodarone hydrochloride 6 mg/ml
GlukÛza 5% 1611
Okamžitá zákal Nekompatibilní
injekce Amphotericin B 0,6 mg/ml
injekce Anidulafungin 0,5 mg/ml
GlukÛza 5% 1982
Okamžité srážení Nekompatibilní
injekce Amphotericin B
injekce Bivalirudin
3539
Okamžité srážení Nekompatibilní
injekce Amphotericin B 0.6 mg/ml
injekce Bivalirudin 5 mg/ml
GlukÛza 5% 1713
Kompatibilní
injekce Amphotericin B 0.1 mg/ml
injekce Caffeine 10 mg/ml
GlukÛza 5% 4837
Kompatibilní
injekce Amphotericin B 0,1 mg/ml
injekce Caffeine citrate 20 mg/ml
GlukÛza 5% 4837
Kompatibilní
injekce Amphotericin B
GlukÛza 5% 3591
Ztráta zákalu Nekompatibilní
injekce Amphotericin B 0.6 mg/ml
injekce Allopurinol sodium 3 mg/ml
GlukÛza 5% 307
Okamžité srážení Nekompatibilní
injekce Amphotericin B 0.6 mg/ml
injekce Amsacrine 1 mg/ml
GlukÛza 5% 253
Nekompatibilní
injekce Amphotericin B 0.1 mg/ml
RingerŐs laktátový roztok 1172
Nespecifikovaná nekompatibilita Nekompatibilní
injekce Amphotericin B
injekce Calcium gluconate
3644
Srážky po 1 hodině Nekompatibilní
injekce Amphotericin B
injekce Cefotaxime sodium
Chlorid sodný 0,9% 3871
Okamžitá zákal Nekompatibilní
injekce Amphotericin B 0,6 mg/ml
injekce Ceftaroline fosamil 2,22 mg/ml
RingerŐs laktátový roztok 3249
Okamžité srážení Nekompatibilní
injekce Amphotericin B
NaCl 0,9% + antibakterial 3591
Okamžité srážení Nekompatibilní
injekce Amphotericin B 0.6 mg/ml
Parenterální výživa (binární směs) 301
Okamžité srážení Nekompatibilní
injekce Amphotericin B 1 mg/ml
injekce Cefiderocol sulfate tosylate 20 mg/mL
Chlorid sodný 0,9% 4528
Chemická nestabilita Nekompatibilní
injekce Amphotericin B 0.1 mg/ml
injekce Cefpirome sulfate 50 mg/ml
Chlorid sodný 0,9% 280
Okamžitá zákal Nekompatibilní
injekce Amphotericin B 0,6 mg/ml
injekce Ceftaroline fosamil 2,22 mg/ml
Chlorid sodný 0,9% 3249
Okamžité srážení Nekompatibilní
injekce Amphotericin B 0.6 mg/ml
injekce Ceftobiprole medocaril sodium 2 mg/ml
Chlorid sodný 0,9% 2269
Okamžité srážení Nekompatibilní
injekce Amphotericin B 0.6 mg/ml
Parenterální výživa (lipidy) 1415
Okamžitá zákal Nekompatibilní
injekce Amphotericin B 0.1 mg/ml
injekce Cimetidine hydrochloride 0.6 mg/ml
GlukÛza 5% 1201
Okamžité srážení Nekompatibilní
injekce Amphotericin B 0,6 & 1,2 mg/ml
Parenterální výživa (lipidy) 2043
Okamžitá nestabilita emulze Nekompatibilní
injekce Amphotericin B 0.01 >> 5 mg/ml
Parenterální výživa (lipidy) 1498
Okamžitá zákal Nekompatibilní
injekce Amphotericin B 0.1 mg/ml
injekce Ceftolozane / tazobactam 10/5 mg/ml
GlukÛza 5% 3828
Okamžité srážení Nekompatibilní
injekce Amphotericin B 1.35 mg/ml
Parenterální výživa (lipidy) 793
Okamžité srážení Nekompatibilní
injekce Amphotericin B 0.6 mg/ml
injekce Ceftobiprole medocaril sodium 2 mg/ml
RingerŐs laktátový roztok 2269
Chemická nestabilita Nekompatibilní
injekce Amphotericin B 0.09 mg/ml
Parenterální výživa (lipidy) 984
Nespecifikovaná nekompatibilita Nekompatibilní
injekce Amphotericin B
injekce Calcium gluconate
4964
Okamžité srážení Nekompatibilní
injekce Amphotericin B 0,6 mg/ml
injekce Caspofungin acetate 0,7 mg/ml
Chlorid sodný 0,9% 2247
Okamžitá zákal Nekompatibilní
injekce Amphotericin B 0,6 mg/ml
injekce Ceftaroline fosamil 2,22 mg/ml
GlukÛza 5% 3249
Kompatibilní
injekce Amphotericin B
injekce Ceftazidime
3883
Nespecifikovaná nekompatibilita Nekompatibilní
injekce Amphotericin B
injekce Ceftobiprole medocaril sodium
4650
Okamžité srážení Nekompatibilní
injekce Amphotericin B
Parenterální výživa (lipidy) 270
Okamžité srážení Nekompatibilní
injekce Amphotericin B 0.6 mg/ml
injekce Ceftobiprole medocaril sodium 2 mg/ml
GlukÛza 5% 2269
Okamžitá nestabilita emulze Nekompatibilní
injekce Amphotericin B 0.6 mg/ml
Parenterální výživa (lipidy) 265
Okamžité srážení Nekompatibilní
injekce Amphotericin B 1 mg/ml
injekce Cefiderocol sulfate tosylate 20 mg/mL
GlukÛza 5% 4528
Chemická nestabilita Nekompatibilní
injekce Amphotericin B 0.1 mg/ml
injekce Cefpirome sulfate 50 mg/ml
Chlorid sodný 0,45% 280
Chemická nestabilita Nekompatibilní
injekce Amphotericin B 0.1 mg/ml
injekce Cefpirome sulfate 50 mg/ml
RingerŐs laktátový roztok 280
Chemická nestabilita Nekompatibilní
injekce Amphotericin B 0.1 mg/ml
injekce Cefpirome sulfate 50 mg/ml
GlukÛza 5% 280
Okamžité srážení Nekompatibilní
injekce Amphotericin B 0.1 mg/ml
injekce Ciprofloxacin lactate 2 mg/ml
GlukÛza 5% 285
Okamžité srážení Nekompatibilní
injekce Amphotericin B
Chlorid sodný 0,9% 3591
Kompatibilní
injekce Amphotericin B 0.6 mg/ml
injekce Cisatracurium besylate 0.1 mg/ml
GlukÛza 5% 299
Okamžité srážení Nekompatibilní
injekce Amphotericin B 0.6 mg/ml
injekce Cisatracurium besylate 2 & 5 mg/ml
GlukÛza 5% 299
Okamžité srážení Nekompatibilní
injekce Amphotericin B 0.6 mg/ml
injekce Dexmedetomidine 4 µg/ml
GlukÛza 5% 1712
Kompatibilní
injekce Amphotericin B 0.1 mg/ml
injekce Diltiazem hydrochloride 1 mg/ml
Chlorid sodný 0,9% 198
Okamžitá zákal Nekompatibilní
injekce Amphotericin B 0.6 mg/ml
injekce Docetaxel 0.9 mg/ml
GlukÛza 5% 1754
Okamžité srážení Nekompatibilní
injekce Amphotericin B
injekce Dopamine hydrochloride
GlukÛza 5% 3638
Kompatibilní
injekce Amphotericin B 0,6 mg/ml
injekce Doripenem 5 mg/ml
GlukÛza 5% 2262
Okamžité srážení Nekompatibilní
injekce Amphotericin B 0.6 mg/ml
injekce Doxorubicin hydrochloride liposome peg 0.4 mg/ml
GlukÛza 5% 251
Okamžité srážení Nekompatibilní
injekce Amphotericin B 0.6 mg/ml
injekce Etoposide phosphate 5 mg/ml
GlukÛza 5% 1410
Nekompatibilní
injekce Amphotericin B 0.1 mg/ml
Chlorid sodný 0,9% 1172
Okamžité srážení Nekompatibilní
injekce Amphotericin B 0.6 mg/ml
injekce Doripenem 5 mg/ml
Chlorid sodný 0,9% 2262
Zákal za 4 hodiny Nekompatibilní
injekce Amphotericin B 0.1 mg/ml
injekce Enalaprilate 1.25 mg/ml
GlukÛza 5% 201
Zákal za 2 hodiny Nekompatibilní
injekce Amphotericin B 0.1 mg/ml
injekce Enalaprilate 0.0125 mg/ml
GlukÛza 5% 1703
Kompatibilní
injekce Amphotericin B 0.6 mg/ml
injekce Famotidine 2 mg/ml
Chlorid sodný 0,9% 215
Okamžité srážení Nekompatibilní
injekce Amphotericin B 0.6 mg/ml
injekce Fenoldopam mesylate 80 µg/ml
Chlorid sodný 0,9% 1803
Okamžité srážení Nekompatibilní
injekce Amphotericin B 0.6 mg/ml
injekce Filgrastim 30 µg/ml
GlukÛza 5% 244
Zákal za hodinu Nekompatibilní
injekce Amphotericin B 5 mg/ml
injekce Fluconazole 2 mg/ml
Chlorid sodný 0,9% 496
Kompatibilní
injekce Amphotericin B 0.1 mg/ml
injekce Fluconazole 2 mg/ml
Žádné 256
Srážky po 4 hodinách Nekompatibilní
injekce Amphotericin B 0.6 mg/ml
injekce Fludarabine phosphate 1 mg/ml
GlukÛza 5% 492
Nespecifikovaná nekompatibilita Nekompatibilní
injekce Amphotericin B
injekce Foscarnet sodium
3662
Okamžitá zákal Nekompatibilní
injekce Amphotericin B 0.6 mg/ml
injekce Foscarnet sodium 24 mg/ml
GlukÛza 5% 1135
Okamžité srážení Nekompatibilní
injekce Amphotericin B 5 mg/ml
injekce Foscarnet sodium 24 mg/ml
Žádné 73
Okamžitá zákal Nekompatibilní
injekce Amphotericin B 0.1 mg/ml
injekce Fosfomycin 30 mg/ml
GlukÛza 5% 4055
Okamžité srážení Nekompatibilní
injekce Amphotericin B 0.6 mg/ml
injekce Gemcitabine hydrochloride 10 mg/ml
Chlorid sodný 0,9% 1423
Okamžitá zákal Nekompatibilní
injekce Amphotericin B 0.6 mg/ml
injekce Granisetron hydrochloride 0.05 mg/ml
GlukÛza 5% 182
Okamžité srážení Nekompatibilní
injekce Amphotericin B 0.6 mg/ml
injekce Hetastarch 60 mg/ml
Zvláštní rozpouštědla 1721
Okamžitá zákal Nekompatibilní
injekce Amphotericin B 0.1 mg/ml
injekce Isavuconazonium sulfate 1.5 mg/ml
GlukÛza 5% 3829
Okamžité srážení Nekompatibilní
injekce Amphotericin B 0.6 mg/ml
injekce Lansoprazole 0.55 mg/ml
Chlorid sodný 0,9% 1625
Nespecifikovaná nekompatibilita Nekompatibilní
injekce Amphotericin B
injekce Lidocaine hydrochloride
5060
Okamžité srážení Nekompatibilní
injekce Amphotericin B 0.6 mg/ml
injekce Linezolid 2 mg/ml
Žádné 1925
Nespecifikovaná nekompatibilita Nekompatibilní
injekce Amphotericin B
injekce Linezolid
3560
Srážky po 2 hodinách Nekompatibilní
injekce Amphotericin B 0,04 & 0,08 mg/ml
injekce Magnesium sulfate 2 & 4 mg/ml
GlukÛza 5% 682
Okamžitá zákal Nekompatibilní
injekce Amphotericin B 0.6 mg/ml
injekce Melphalan 0.1 mg/ml
Chlorid sodný 0,9% 169
Chemická nestabilita Nekompatibilní
injekce Amphotericin B 0.6 mg/ml
injekce Melphalan 0.1 mg/ml
GlukÛza 5% 169
Kompatibilní
injekce Amphotericin B 5 mg/ml
injekce Meropenem 1 & 50 mg/ml
Chlorid sodný 0,9% 266
Kompatibilní
injekce Amphotericin B 0.2 mg/ml
injekce Meropenem 1 & 20 mg/ml
Chlorid sodný 0,9% 266
Nespecifikovaná nekompatibilita Nekompatibilní
injekce Amphotericin B
injekce Metaraminol
5046
Nespecifikovaná nekompatibilita Nekompatibilní
injekce Amphotericin B
injekce N-acetylcysteine 200 mg/ml
Žádné 3766
Okamžité srážení Nekompatibilní
injekce Amphotericin B 0,5 mg/ml
injekce Nalbuphine hydrochloride 0,05 >>0,33 mg/ml
Chlorid sodný 0,9% 5097
Okamžité srážení Nekompatibilní
injekce Amphotericin B 0,5 mg/ml
injekce Nalbuphine hydrochloride 0,05 >> 0,33 mg/ml
GlukÛza 5% 4867
Nespecifikovaná nekompatibilita Nekompatibilní
injekce Amphotericin B 4 mg/ml
injekce Naloxone hydrochloride 0.4 mg/ml
Žádné 3408
Okamžitá zákal Nekompatibilní
injekce Amphotericin B 0.6 mg/ml
injekce Ondansetron hydrochloride 1 mg/ml
GlukÛza 5% 334
Okamžitá zákal Nekompatibilní
injekce Amphotericin B 0.1 mg/ml
injekce Oritavancin 0.8>>2 mg/ml
GlukÛza 5% 3152
Okamžitá zákal Nekompatibilní
injekce Amphotericin B 0.6 mg/ml
injekce Paclitaxel 1.2 mg/ml
GlukÛza 5% 248
Zákal za hodinu Nekompatibilní
injekce Amphotericin B
injekce Pantoprazole sodium
2090
Okamžité srážení Nekompatibilní
injekce Amphotericin B 0.6 mg/ml
injekce Pemetrexed disodium 20 mg/ml
Chlorid sodný 0,9% 1953
Nespecifikovaná nekompatibilita Nekompatibilní
injekce Amphotericin B
injekce Penicillin G sodium
3585
Kompatibilní
injekce Amphotericin B 0,1 mg/ml
injekce Pentoxifyllin 5 mg/ml
GlukÛza 5% 4543
Kompatibilní
injekce Amphotericin B 1 mg/ml
injekce Phloroglucinol 2,5 mg/ml
3791
Okamžité srážení Nekompatibilní
injekce Amphotericin B 0.6 mg/ml
injekce Piperacillin sodium / tazobactam 40/5 mg/ml
GlukÛza 5% 81
Okamžitá zákal Nekompatibilní
injekce Amphotericin B 0,1 mg/ml
injekce Plazomicin sulfate 24 mg/ml
Chlorid sodný 0,9% 4145
Okamžité srážení Nekompatibilní
injekce Amphotericin B 0.6 mg/ml
injekce Propofol 10 mg/ml
Žádné 300
Kompatibilní
injekce Amphotericin B 0.6 mg/ml
injekce Remifentanil hydrochloride 25 µg/ml
GlukÛza 5% 59
Okamžité srážení Nekompatibilní
injekce Amphotericin B 0.6 mg/ml
injekce Remifentanil hydrochloride 250 µg/ml
GlukÛza 5% 59
Nespecifikovaná nekompatibilita Nekompatibilní
injekce Amphotericin B
injekce Rocuronium bromide
3564
Okamžitá zákal Nekompatibilní
injekce Amphotericin B 50 mg/ml
injekce Salbutamol sulfate 1 mg/ml
Žádné 3216
Kompatibilní
injekce Amphotericin B 0.6 mg/ml
injekce Sargramostim 10 µg/ml
GlukÛza 5% 335
Okamžité srážení Nekompatibilní
injekce Amphotericin B 0.6 mg/ml
injekce Sargramostim 10 µg/ml
Chlorid sodný 0,9% 335
Okamžité srážení Nekompatibilní
injekce Amphotericin B 0,1 mg/ml
injekce Sildenafil citrate 0,6 mg/ml
GlukÛza 5% 4845
Chemická nestabilita Nekompatibilní
injekce Amphotericin B 0.1 mg/ml
injekce Sildenafil citrate 0,6 mg/ml
GlukÛza 5% 4845
Kompatibilní
injekce Amphotericin B 5 mg/ml
injekce Tacrolimus 1000 µg/ml
Voda pro injekci 479
Okamžitá zákal Nekompatibilní
injekce Amphotericin B 0,1 mg/ml
injekce Telavancin hydrochloride 7,5 mg/ml
GlukÛza 5% 3254
Kompatibilní
injekce Amphotericin B 0.6 mg/ml
injekce Teniposide 0.1 mg/ml
GlukÛza 5% 905
Okamžité srážení Nekompatibilní
injekce Amphotericin B
injekce Thiopental sodium 25 mg/ml
Chlorid sodný 0,9% 3767
Kompatibilní
injekce Amphotericin B 0.6 mg/ml
injekce Thiotepa 1 mg/ml
GlukÛza 5% 249
Nespecifikovaná nekompatibilita Nekompatibilní
injekce Amphotericin B
injekce Tigecycline
3332
Srážky po 8 hodinách Nekompatibilní
injekce Amphotericin B 0.1 mg/ml
injekce Verapamil hydrochloride 0.08 mg/ml
GlukÛza 5% 1057
Okamžité srážení Nekompatibilní
injekce Amphotericin B 0.1 mg/ml
injekce Verapamil hydrochloride 0.08 mg/ml
Chlorid sodný 0,9% 1057
Okamžité srážení Nekompatibilní
injekce Amphotericin B 0.6 mg/ml
injekce Vinorelbine tartrate 1 mg/ml
GlukÛza 5% 84
Kompatibilní
injekce Amphotericin B 0.6 mg/ml
injekce Zidovudine 4 mg/ml
GlukÛza 5% 337
Okamžité srážení Nekompatibilní
injekce Amphotericin B ? mg/ml
Chlorid sodný 0,9% 892
Okamžité srážení Nekompatibilní
injekce Amphotericin B 0.6 mg/ml
injekce Vinorelbine tartrate 1 mg/ml
Chlorid sodný 0,9% 84

  Mentions Légales