Последнее обновление :
05/12/2025
Антибиотик   Colistin mesilate sodium  
Аэрозоль
Инъекция
Стабильность фармацевтических препаратов Стабильность смесей Факторы, которые влияют на стабильность Совместимость Библиография pdf
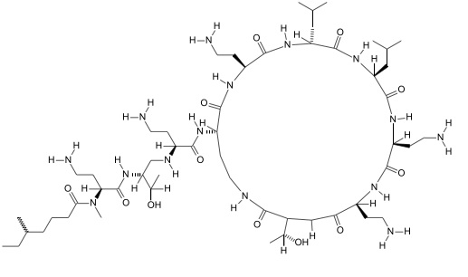
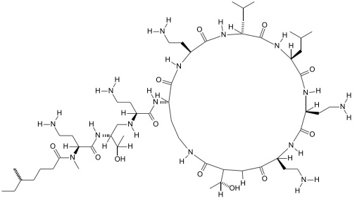
   Химическая структура  

Аэрозоль
Стабильность смесей   Аэрозоль   Стабильность смесей : Colistin mesilate sodium     
Упаковка Наполнитель Молекула Температура Хранение Продолжительность стабильности Ссылки
Полипропилен
Аэрозоль   Colistin mesilate sodium Медицинская бутылка для инъекций80mg/3mL  Colistin CF®
Аэрозоль   Tobramycin sulfate Медицинская бутылка для инъекций30mg/4 mL  Bramitob® (Asche Chiesi)
25°C
24 Час
Свет 3440
Полипропилен
Аэрозоль   Colistin mesilate sodium Медицинская бутылка для инъекций80mg/3mL  Colistin CF®
Аэрозоль   Tobramycin sulfate Медицинская бутылка для инъекций300mg/5mL  Tobi® (Novartis)
25°C
24 Час
Свет 3440
Полипропилен
Аэрозоль   Colistin mesilate sodium Медицинская бутылка для инъекций80mg/3mL  Colistin CF®
Аэрозоль   Tobramycin sulfate Медицинская бутылка для инъекций300mg/4mL  Bramitob® (Asche Chiesi)
25°C
24 Час
Свет 3440

  Mentions Légales