Seneste opdatering :
31/03/2026
Antibiotisk   Colistin mesilate sodium  
Aerosol
Injektion
Stabilitet af farmaceutiske tilberedninger Stabilitet i blandinger Faktorer der påvirker stabiliteten Kompatibilitet Bibliografi pdf
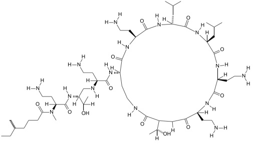
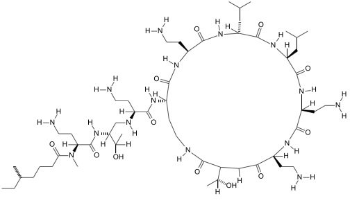
   Kemisk struktur  

Aerosol
Stabilitet i blandinger   Aerosol   Stabilitet i blandinger : Colistin mesilate sodium     
Beholder Hjælpestof Molekyle Temperatur Konservering Varighed af stabilitet Bibliografi
Polypropylen
Aerosol   Colistin mesilate sodium Medicinflaske til injektion80mg/3mL  Colistin CF®
Aerosol   Tobramycin sulfate Medicinflaske til injektion30mg/4 mL  Bramitob® (Asche Chiesi)
25°C
24 Time
Lys 3440
Polypropylen
Aerosol   Colistin mesilate sodium Medicinflaske til injektion80mg/3mL  Colistin CF®
Aerosol   Tobramycin sulfate Medicinflaske til injektion300mg/5mL  Tobi® (Novartis)
25°C
24 Time
Lys 3440
Polypropylen
Aerosol   Colistin mesilate sodium Medicinflaske til injektion80mg/3mL  Colistin CF®
Aerosol   Tobramycin sulfate Medicinflaske til injektion300mg/4mL  Bramitob® (Asche Chiesi)
25°C
24 Time
Lys 3440

  Mentions Légales