Ultimo aggiornamento :
31/03/2026
Antibiotico   Colistin mesilate sodium  
Aerosol
Iniezione
Stabilità dei preparati farmaceutici Stabilità in miscela Fattori che influenzano la stabilità Compatibilità Bibliografia pdf
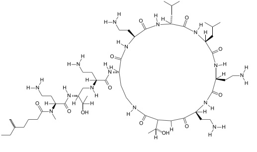
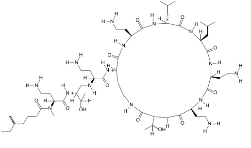
   Struttura chimica  

Aerosol
Stabilità in miscela   Aerosol   Stabilità in miscela : Colistin mesilate sodium     
contenitore eccipiente Molecola Temperatura Conservazione Durata della stabilità Bibliografia
Polipropilene
Aerosol   Colistin mesilate sodium Bottiglia di medicina per l'iniezione80mg/3mL  Colistin CF®
Aerosol   Tobramycin sulfate Bottiglia di medicina per l'iniezione30mg/4 mL  Bramitob® (Asche Chiesi)
25°C
24 Ora
Luce 3440
Polipropilene
Aerosol   Colistin mesilate sodium Bottiglia di medicina per l'iniezione80mg/3mL  Colistin CF®
Aerosol   Tobramycin sulfate Bottiglia di medicina per l'iniezione300mg/5mL  Tobi® (Novartis)
25°C
24 Ora
Luce 3440
Polipropilene
Aerosol   Colistin mesilate sodium Bottiglia di medicina per l'iniezione80mg/3mL  Colistin CF®
Aerosol   Tobramycin sulfate Bottiglia di medicina per l'iniezione300mg/4mL  Bramitob® (Asche Chiesi)
25°C
24 Ora
Luce 3440

  Mentions Légales