آخر تحديث :
31/03/2026
مضاد حيوي   Colistin mesilate sodium  
الأيروصولات
حقن
استقرار المستحضرات الصيدلانية استقرار مخاليط العوامل التي تؤثر على الاستقرار التوافق مراجع pdf
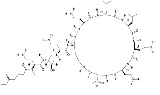
   التركيب الكيميائي  

الأيروصولات
استقرار مخاليط   الأيروصولات   استقرار مخاليط : Colistin mesilate sodium     
حاوية الاضافات مركب درجة الحرارة تخزين مدة الاستقرار مراجع
البولي بروبلين
الأيروصولات   Colistin mesilate sodium زجاجة الدواء للحقن80mg/3mL  Colistin CF®
الأيروصولات   Tobramycin sulfate زجاجة الدواء للحقن30mg/4 mL  Bramitob® (Asche Chiesi)
25°C
24 ساعة
ضوء 3440
البولي بروبلين
الأيروصولات   Colistin mesilate sodium زجاجة الدواء للحقن80mg/3mL  Colistin CF®
الأيروصولات   Tobramycin sulfate زجاجة الدواء للحقن300mg/5mL  Tobi® (Novartis)
25°C
24 ساعة
ضوء 3440
البولي بروبلين
الأيروصولات   Colistin mesilate sodium زجاجة الدواء للحقن80mg/3mL  Colistin CF®
الأيروصولات   Tobramycin sulfate زجاجة الدواء للحقن300mg/4mL  Bramitob® (Asche Chiesi)
25°C
24 ساعة
ضوء 3440

  Mentions Légales