Pēdējā atjaunošana :
31/03/2026
Antibiotika   Colistin mesilate sodium  
Aerosols
Injekcija
Stabilitāte farmaceitisko preparātu Maisījuma stabilitāte Stabilitāti ietekmējoši faktori Saderība Literatūras saraksts pdf
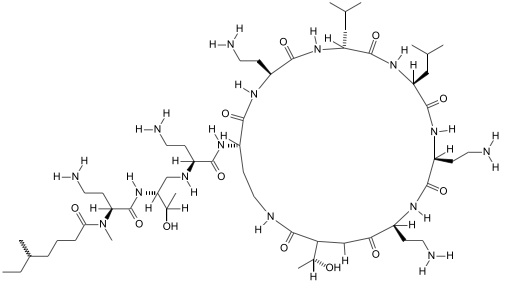
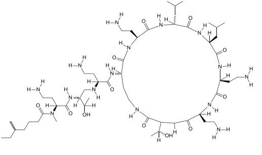
   Ķīmiskā uzbūve   

Aerosols
Maisījuma stabilitāte   Aerosols   Maisījuma stabilitāte : Colistin mesilate sodium     
Iepakojums Palīgviela Savienojums Temperatūra Glabāšana Stabilitātes ilgums Literatūras saraksts
Polipropilēns
Aerosols   Colistin mesilate sodium Medicīniskā pudele injekcijām80mg/3mL  Colistin CF®
Aerosols   Tobramycin sulfate Medicīniskā pudele injekcijām30mg/4 mL  Bramitob® (Asche Chiesi)
25°C
24 Stunda
Gaisma 3440
Polipropilēns
Aerosols   Colistin mesilate sodium Medicīniskā pudele injekcijām80mg/3mL  Colistin CF®
Aerosols   Tobramycin sulfate Medicīniskā pudele injekcijām300mg/5mL  Tobi® (Novartis)
25°C
24 Stunda
Gaisma 3440
Polipropilēns
Aerosols   Colistin mesilate sodium Medicīniskā pudele injekcijām80mg/3mL  Colistin CF®
Aerosols   Tobramycin sulfate Medicīniskā pudele injekcijām300mg/4mL  Bramitob® (Asche Chiesi)
25°C
24 Stunda
Gaisma 3440

  Mentions Légales