Cập nhật lần cuối :
31/03/2026
Kháng sinh   Colistin mesilate sodium  
Khí dung
Dạng tiêm
Tính ổn định của các chế phẩm Độ ổn định khi trộn lẫn Những yếu tố ảnh hưởng đến độ ổn định Khả năng tương thích Tài liệu tham khảo Pdf
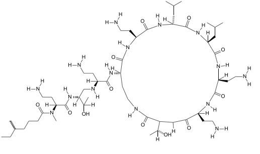
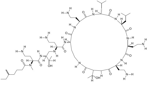
   Cấu trúc hóa học  

Khí dung
Độ ổn định khi trộn lẫn   Khí dung   Độ ổn định khi trộn lẫn : Colistin mesilate sodium     
Bao bì Tá dược Phân tử Nhiệt độ Bảo quản Thời gian ổn định Mục lục
Nhựa polypropylen
Khí dung   Colistin mesilate sodium Lọ thuốc tiêm80mg/3mL  Colistin CF®
Khí dung   Tobramycin sulfate Lọ thuốc tiêm30mg/4 mL  Bramitob® (Asche Chiesi)
25°C
24 Giờ
Ánh sáng 3440
Nhựa polypropylen
Khí dung   Colistin mesilate sodium Lọ thuốc tiêm80mg/3mL  Colistin CF®
Khí dung   Tobramycin sulfate Lọ thuốc tiêm300mg/5mL  Tobi® (Novartis)
25°C
24 Giờ
Ánh sáng 3440
Nhựa polypropylen
Khí dung   Colistin mesilate sodium Lọ thuốc tiêm80mg/3mL  Colistin CF®
Khí dung   Tobramycin sulfate Lọ thuốc tiêm300mg/4mL  Bramitob® (Asche Chiesi)
25°C
24 Giờ
Ánh sáng 3440

  Mentions Légales