Viimeisin päivitys :
31/03/2026
Antibiootit   Colistin mesilate sodium  
Aerosoli
Injektioneste
Vakaus lääkevalmisteen Stabilius seoksissa Tekijät, jotka vaikuttavat stabiliuteen Yhteensopivuus Viitteet pdf
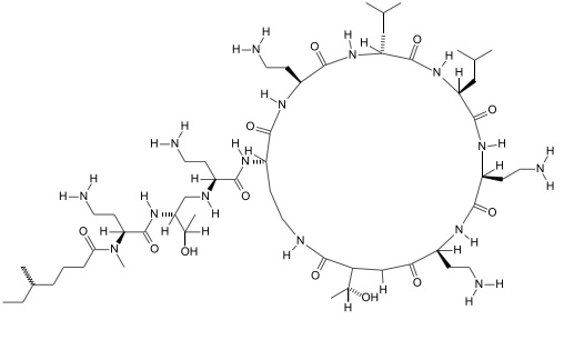
   Kemiallinen rakenne  

Aerosoli
Stabilius seoksissa   Aerosoli   Stabilius seoksissa : Colistin mesilate sodium     
Astia Apuaine Yhdiste Lämpötila Säilytys Vakauden kesto Viitteet
Polypropyleeni
Aerosoli   Colistin mesilate sodium Injektionestepullo80mg/3mL  Colistin CF®
Aerosoli   Tobramycin sulfate Injektionestepullo30mg/4 mL  Bramitob® (Asche Chiesi)
25°C
24 tunti
Valo 3440
Polypropyleeni
Aerosoli   Colistin mesilate sodium Injektionestepullo80mg/3mL  Colistin CF®
Aerosoli   Tobramycin sulfate Injektionestepullo300mg/5mL  Tobi® (Novartis)
25°C
24 tunti
Valo 3440
Polypropyleeni
Aerosoli   Colistin mesilate sodium Injektionestepullo80mg/3mL  Colistin CF®
Aerosoli   Tobramycin sulfate Injektionestepullo300mg/4mL  Bramitob® (Asche Chiesi)
25°C
24 tunti
Valo 3440

  Mentions Légales