最新更新 :
31/03/2026
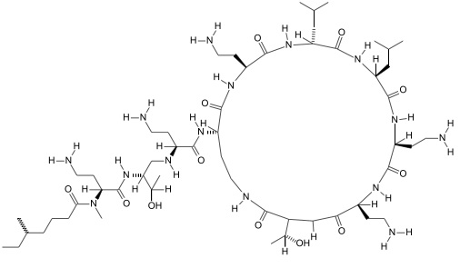
抗生素   Colistin mesilate sodium  
气雾剂
注射液
制剂的稳定性 混合物稳定性 影响稳定性的因素 兼容性 引用文献 PDF
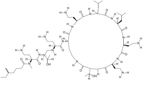
   化学式  

气雾剂
混合物稳定性   气雾剂   混合物稳定性 : Colistin mesilate sodium     
容器 添加剂 分子 温度 保存 穩定持續時間 引用文献
聚丙烯
气雾剂   Colistin mesilate sodium 注射用瓶80mg/3mL  Colistin CF®
气雾剂   Tobramycin sulfate 注射用瓶30mg/4 mL  Bramitob® (Asche Chiesi)
25°C
24 小时
光 3440
聚丙烯
气雾剂   Colistin mesilate sodium 注射用瓶80mg/3mL  Colistin CF®
气雾剂   Tobramycin sulfate 注射用瓶300mg/5mL  Tobi® (Novartis)
25°C
24 小时
光 3440
聚丙烯
气雾剂   Colistin mesilate sodium 注射用瓶80mg/3mL  Colistin CF®
气雾剂   Tobramycin sulfate 注射用瓶300mg/4mL  Bramitob® (Asche Chiesi)
25°C
24 小时
光 3440

  Mentions Légales