Utolsó frissítés :
31/03/2026
Antibiotikum   Colistin mesilate sodium  
aeroszol
Injekció
Stabilitása gyógyszerészeti készítmények A keverékek stabilitása Stabilitást befolyásoló tényezők Kompatibilitás Irodalom pdf
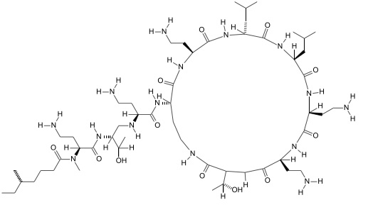
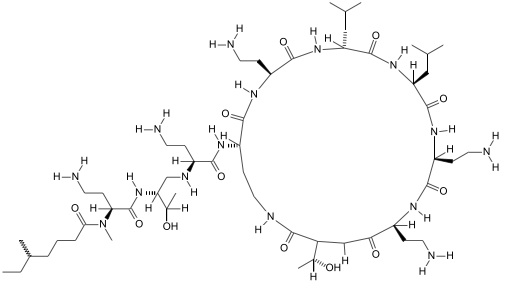
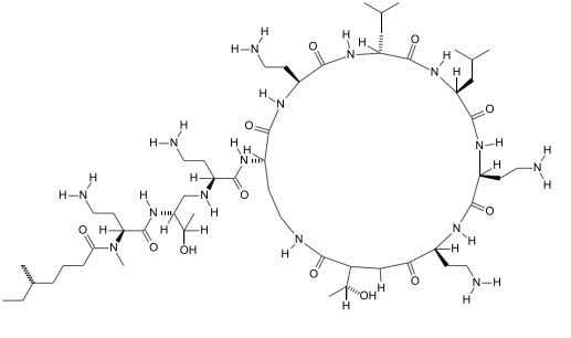
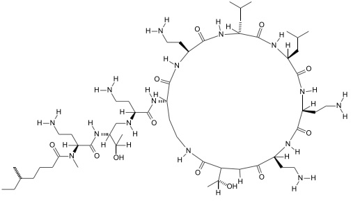
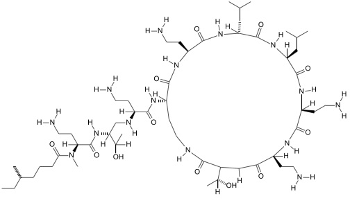
   Kémiai szerkezet   

aeroszol
A keverékek stabilitása   aeroszol   A keverékek stabilitása : Colistin mesilate sodium     
Csomagolás segédanyag Vegyület Hőmérséklet Tárolás A stabilitás időtartama Irodalom
Polipropilén
aeroszol   Colistin mesilate sodium Injekcióhoz való űveg80mg/3mL  Colistin CF®
aeroszol   Tobramycin sulfate Injekcióhoz való űveg30mg/4 mL  Bramitob® (Asche Chiesi)
25°C
24 Óra
Fény 3440
Polipropilén
aeroszol   Colistin mesilate sodium Injekcióhoz való űveg80mg/3mL  Colistin CF®
aeroszol   Tobramycin sulfate Injekcióhoz való űveg300mg/5mL  Tobi® (Novartis)
25°C
24 Óra
Fény 3440
Polipropilén
aeroszol   Colistin mesilate sodium Injekcióhoz való űveg80mg/3mL  Colistin CF®
aeroszol   Tobramycin sulfate Injekcióhoz való űveg300mg/4mL  Bramitob® (Asche Chiesi)
25°C
24 Óra
Fény 3440

  Mentions Légales