Ostatnia aktualizacja :
31/03/2026
Antybiotyk   Colistin mesilate sodium  
Aerozol
Injekcje
Stabilność preparatów farmaceutycznych Trwałość w mieszaninie Czynnik wpływający na trwałość Zgodność Bibliografia pdf
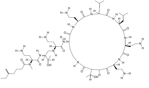
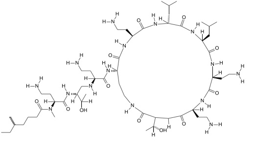
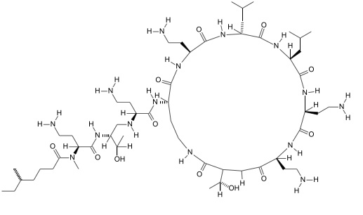
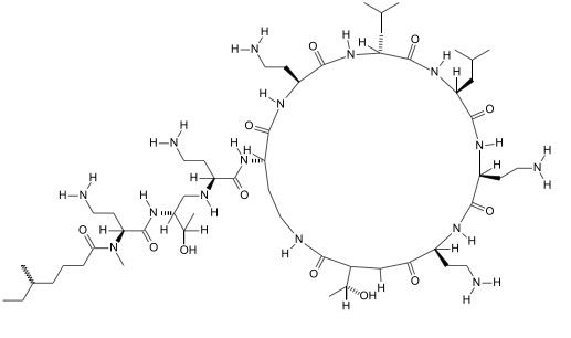
   Struktura chemiczna  

Aerozol
Trwałość w mieszaninie   Aerozol   Trwałość w mieszaninie : Colistin mesilate sodium     
Pojemnik Substancja pomocniczna Związek Temperatura Przechowywanie Czas trwania stabilności Bibliografia
Polipropylen
Aerozol   Colistin mesilate sodium Fiolka80mg/3mL  Colistin CF®
Aerozol   Tobramycin sulfate Fiolka30mg/4 mL  Bramitob® (Asche Chiesi)
25°C
24 Godzina
światło 3440
Polipropylen
Aerozol   Colistin mesilate sodium Fiolka80mg/3mL  Colistin CF®
Aerozol   Tobramycin sulfate Fiolka300mg/5mL  Tobi® (Novartis)
25°C
24 Godzina
światło 3440
Polipropylen
Aerozol   Colistin mesilate sodium Fiolka80mg/3mL  Colistin CF®
Aerozol   Tobramycin sulfate Fiolka300mg/4mL  Bramitob® (Asche Chiesi)
25°C
24 Godzina
światło 3440

  Mentions Légales