Poslední aktualizace :
31/03/2026
Antibiotikas   Colistin mesilate sodium  
Aerozolis
Įpurškimas
Stabilumas farmacinių preparatų Mišinių stabilumas Stabilumą lemiantys veiksniai Suderinamumas Bibliografija pdf
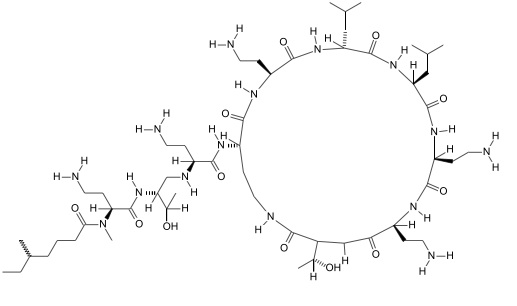
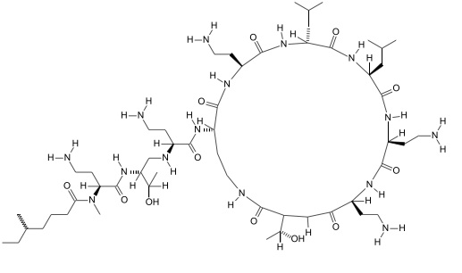
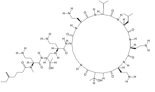
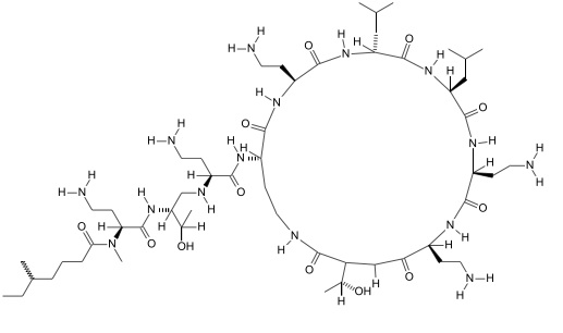
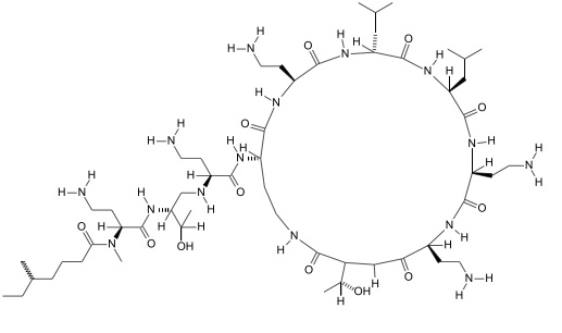
   Cheminė sandara  

Aerozolis
Mišinių stabilumas   Aerozolis   Mišinių stabilumas : Colistin mesilate sodium     
Pakuotė Ekscipientas Molekulė Temperatūra Laikymas Stabilumo trukmė Nuorodos
Polipropilenas
Aerozolis   Colistin mesilate sodium Vaistų buteliukas injekcijoms80mg/3mL  Colistin CF®
Aerozolis   Tobramycin sulfate Vaistų buteliukas injekcijoms30mg/4 mL  Bramitob® (Asche Chiesi)
25°C
24 Valanda
Šviesa 3440
Polipropilenas
Aerozolis   Colistin mesilate sodium Vaistų buteliukas injekcijoms80mg/3mL  Colistin CF®
Aerozolis   Tobramycin sulfate Vaistų buteliukas injekcijoms300mg/5mL  Tobi® (Novartis)
25°C
24 Valanda
Šviesa 3440
Polipropilenas
Aerozolis   Colistin mesilate sodium Vaistų buteliukas injekcijoms80mg/3mL  Colistin CF®
Aerozolis   Tobramycin sulfate Vaistų buteliukas injekcijoms300mg/4mL  Bramitob® (Asche Chiesi)
25°C
24 Valanda
Šviesa 3440

  Mentions Légales