最新更新 :
31/03/2026
抗菌薬   Colistin mesilate sodium  
エアロゾル
注射薬
調剤時の安定性 混合時の安定性 安定性に影響する因子 互換性 引用文献 PDF
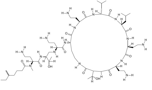
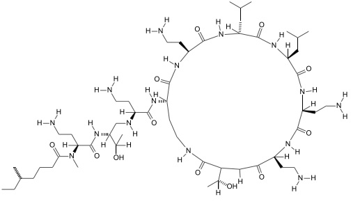
   化学構造  

エアロゾル
混合時の安定性   エアロゾル   混合時の安定性 : Colistin mesilate sodium     
容器 添加剤 化合物 温度 保管 安定期間 引用文献
ポリプロピレン
エアロゾル   Colistin mesilate sodium 注射用瓶80mg/3mL  Colistin CF®
エアロゾル   Tobramycin sulfate 注射用瓶30mg/4 mL  Bramitob® (Asche Chiesi)
25°C
24 時間
光 3440
ポリプロピレン
エアロゾル   Colistin mesilate sodium 注射用瓶80mg/3mL  Colistin CF®
エアロゾル   Tobramycin sulfate 注射用瓶300mg/5mL  Tobi® (Novartis)
25°C
24 時間
光 3440
ポリプロピレン
エアロゾル   Colistin mesilate sodium 注射用瓶80mg/3mL  Colistin CF®
エアロゾル   Tobramycin sulfate 注射用瓶300mg/4mL  Bramitob® (Asche Chiesi)
25°C
24 時間
光 3440

  Mentions Légales