Poslední aktualizace :
31/03/2026
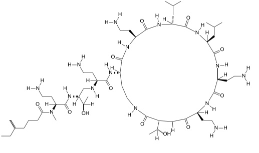
Antibiotikum   Colistin mesilate sodium  
Aerosol
injekce
Stabilita farmaceutických přípravků Stabilita směsí Faktory ovlivňující stabilitu Kompatibilita Odkazy pdf
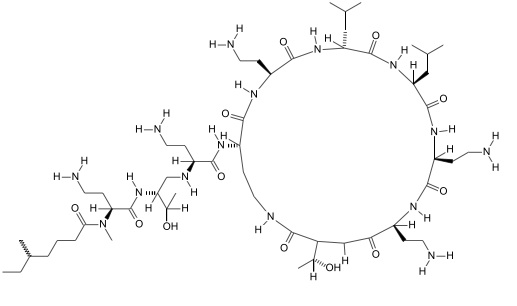
   Chemický vzorec  

Aerosol
Stabilita směsí   Aerosol   Stabilita směsí : Colistin mesilate sodium     
Obal Pomocné látky SlouËenina Teplota Uchovávání Trvání stability Odkazy
polypropylen
Aerosol   Colistin mesilate sodium Lékovka pro injekci80mg/3mL  Colistin CF®
Aerosol   Tobramycin sulfate Lékovka pro injekci30mg/4 mL  Bramitob® (Asche Chiesi)
25°C
24 Hodina
SvÏtlo 3440
polypropylen
Aerosol   Colistin mesilate sodium Lékovka pro injekci80mg/3mL  Colistin CF®
Aerosol   Tobramycin sulfate Lékovka pro injekci300mg/5mL  Tobi® (Novartis)
25°C
24 Hodina
SvÏtlo 3440
polypropylen
Aerosol   Colistin mesilate sodium Lékovka pro injekci80mg/3mL  Colistin CF®
Aerosol   Tobramycin sulfate Lékovka pro injekci300mg/4mL  Bramitob® (Asche Chiesi)
25°C
24 Hodina
SvÏtlo 3440

  Mentions Légales