Posledná aktualizácia :
31/03/2026
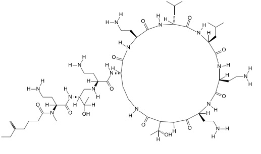
antibiotikum   Colistin mesilate sodium  
Aerosól
Injekcia
Stabilita farmaceutických prípravkov Stabilita v zmesiach Faktory ovplyvňujúce stabilitu Kompatibility Odkazy na literatúru PDF
   Chemický vzorec  

Aerosól
Stabilita v zmesiach   Aerosól   Stabilita v zmesiach : Colistin mesilate sodium     
obal Pomocná látka Zlúčenina teplota uchovávanie Trvanie stability odkazy na lieteratúru
polypropylén
Aerosól   Colistin mesilate sodium Injekčná liekovka80mg/3mL  Colistin CF®
Aerosól   Tobramycin sulfate Injekčná liekovka30mg/4 mL  Bramitob® (Asche Chiesi)
25°C
24 hodín
Za svetla 3440
polypropylén
Aerosól   Colistin mesilate sodium Injekčná liekovka80mg/3mL  Colistin CF®
Aerosól   Tobramycin sulfate Injekčná liekovka300mg/5mL  Tobi® (Novartis)
25°C
24 hodín
Za svetla 3440
polypropylén
Aerosól   Colistin mesilate sodium Injekčná liekovka80mg/3mL  Colistin CF®
Aerosól   Tobramycin sulfate Injekčná liekovka300mg/4mL  Bramitob® (Asche Chiesi)
25°C
24 hodín
Za svetla 3440

  Mentions Légales