Última actualização :
31/03/2026
antibiótico   Colistin mesilate sodium  
aerossol
injetável
Estabilidade de preparações farmacêuticas Estabilidade em misturas Factores que afectam a sua estabilidade Compatibilidade Bibliografía pdf
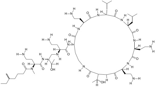
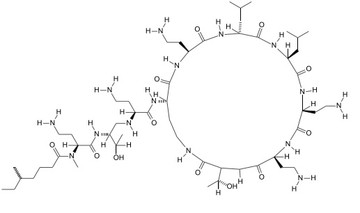
   estrutura química  

aerossol
Estabilidade em misturas   aerossol   Estabilidade em misturas : Colistin mesilate sodium     
Embalagem excipiente molécula temperatura conservação Duração da estabilidade Bibliografia
Polipropileno
aerossol   Colistin mesilate sodium frasco de medicamento para injeção80mg/3mL  Colistin CF®
aerossol   Tobramycin sulfate frasco de medicamento para injeção30mg/4 mL  Bramitob® (Asche Chiesi)
25°C
24 hora
luz 3440
Polipropileno
aerossol   Colistin mesilate sodium frasco de medicamento para injeção80mg/3mL  Colistin CF®
aerossol   Tobramycin sulfate frasco de medicamento para injeção300mg/5mL  Tobi® (Novartis)
25°C
24 hora
luz 3440
Polipropileno
aerossol   Colistin mesilate sodium frasco de medicamento para injeção80mg/3mL  Colistin CF®
aerossol   Tobramycin sulfate frasco de medicamento para injeção300mg/4mL  Bramitob® (Asche Chiesi)
25°C
24 hora
luz 3440

  Mentions Légales