Zadnji put ažurirano :
31/03/2026
antibiotik   Colistin mesilate sodium  
aerosol
injekcija
Stabilnost farmaceutskih pripravaka Stabilnost mješavine Stabilizacijski faktor Kompatibilnosti Bibliografija pdf
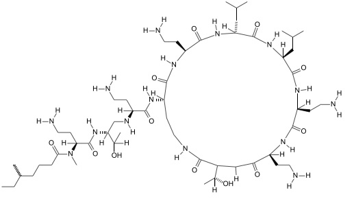
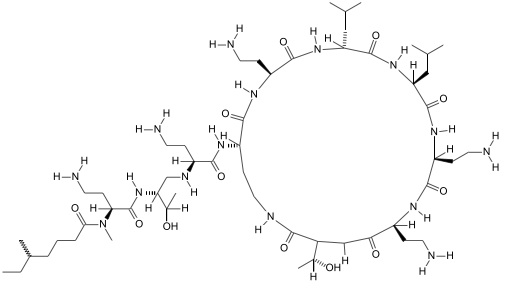
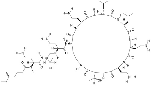
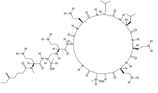
   Kemijska struktura  

aerosol
Stabilnost mješavine   aerosol   Stabilnost mješavine : Colistin mesilate sodium     
Kontejner pomoćna tvar molekula temperatura Konzerviranje Trajanje stabilnosti Bibliografija
polipropilen
aerosol   Colistin mesilate sodium bočica za injekcije80mg/3mL  Colistin CF®
aerosol   Tobramycin sulfate bočica za injekcije30mg/4 mL  Bramitob® (Asche Chiesi)
25°C
24 sat
svjetlost 3440
polipropilen
aerosol   Colistin mesilate sodium bočica za injekcije80mg/3mL  Colistin CF®
aerosol   Tobramycin sulfate bočica za injekcije300mg/5mL  Tobi® (Novartis)
25°C
24 sat
svjetlost 3440
polipropilen
aerosol   Colistin mesilate sodium bočica za injekcije80mg/3mL  Colistin CF®
aerosol   Tobramycin sulfate bočica za injekcije300mg/4mL  Bramitob® (Asche Chiesi)
25°C
24 sat
svjetlost 3440

  Mentions Légales