Última actualización :
31/03/2026
Antibiótico   Colistin mesilate sodium  
Aerosol
Inyectables
La estabilidad de las preparaciones farmacéuticas Estabilidad en mezcla Factores que influyen sobre la estabilidad Compatibilidades Bibliografía pdf
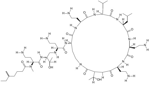
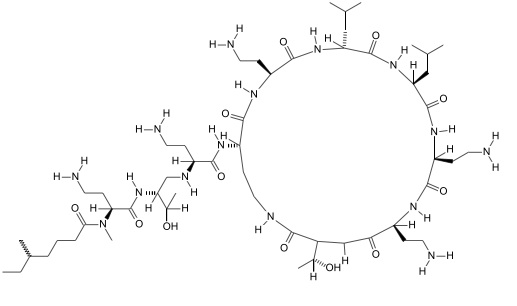
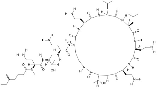
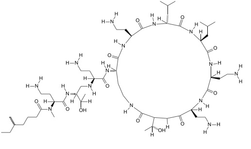
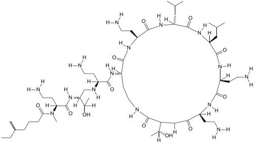
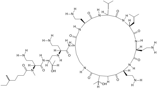
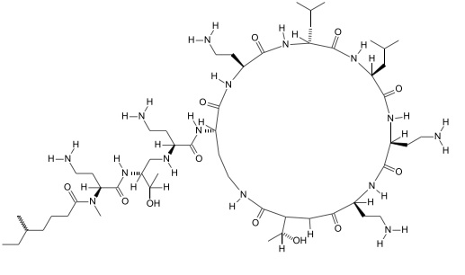
   Estructura química  

Aerosol
Estabilidad en mezcla   Aerosol   Estabilidad en mezcla : Colistin mesilate sodium     
Envase Excipiente Molécula Temperatura Conservación Duración de la estabilidad Bibliografía
Polipropileno
Aerosol   Colistin mesilate sodium Frasco para medicamentos inyectables80mg/3mL  Colistin CF®
Aerosol   Tobramycin sulfate Frasco para medicamentos inyectables30mg/4 mL  Bramitob® (Asche Chiesi)
25°C
24 Hora
Luz 3440
Polipropileno
Aerosol   Colistin mesilate sodium Frasco para medicamentos inyectables80mg/3mL  Colistin CF®
Aerosol   Tobramycin sulfate Frasco para medicamentos inyectables300mg/5mL  Tobi® (Novartis)
25°C
24 Hora
Luz 3440
Polipropileno
Aerosol   Colistin mesilate sodium Frasco para medicamentos inyectables80mg/3mL  Colistin CF®
Aerosol   Tobramycin sulfate Frasco para medicamentos inyectables300mg/4mL  Bramitob® (Asche Chiesi)
25°C
24 Hora
Luz 3440

  Mentions Légales