Laatste update :
31/03/2026
Antibioticum   Colistin mesilate sodium  
Aerosol
injecteerbaar geneesmiddel
Stabiliteit van farmaceutische preparaten Stabiliteit in mengsels Factoren die de stabiliteit beïnvloeden Verenigbaarheden Literatuur pdf
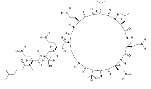
   Molecuulstructuur  

Aerosol
Stabiliteit in mengsels   Aerosol   Stabiliteit in mengsels : Colistin mesilate sodium     
Verpakking  ikˈsipēənt hulpstof Stof Temperatuur Bewaring Duur van de stabiliteit Literatuur
Polypropyleen (PP)
Aerosol   Colistin mesilate sodium Geneeskunde fles voor injectie80mg/3mL  Colistin CF®
Aerosol   Tobramycin sulfate Geneeskunde fles voor injectie30mg/4 mL  Bramitob® (Asche Chiesi)
25°C
24 Uur
Licht 3440
Polypropyleen (PP)
Aerosol   Colistin mesilate sodium Geneeskunde fles voor injectie80mg/3mL  Colistin CF®
Aerosol   Tobramycin sulfate Geneeskunde fles voor injectie300mg/5mL  Tobi® (Novartis)
25°C
24 Uur
Licht 3440
Polypropyleen (PP)
Aerosol   Colistin mesilate sodium Geneeskunde fles voor injectie80mg/3mL  Colistin CF®
Aerosol   Tobramycin sulfate Geneeskunde fles voor injectie300mg/4mL  Bramitob® (Asche Chiesi)
25°C
24 Uur
Licht 3440

  Mentions Légales