Cập nhật lần cuối :
18/03/2026
thuốc trị ung thư   Dacarbazine  
Dạng tiêm
Tính ổn định của các dung dịch Độ ổn định khi trộn lẫn Những yếu tố ảnh hưởng đến độ ổn định Khả năng tương thích Đường dùng Tài liệu tham khảo Pdf
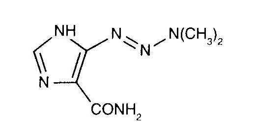
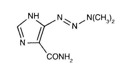
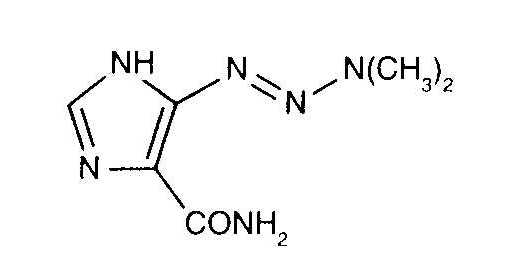
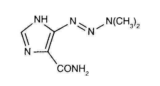
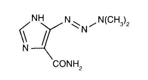
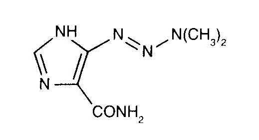
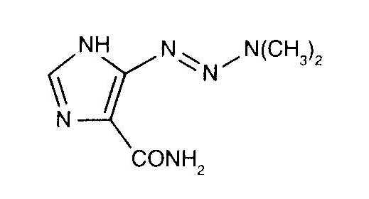
   Cấu trúc hóa học  

Tên thương mại   Tên thương mại     

Các tên thương mại được cung cấp và thành phần tá dược có thể khác nhau giữa các quốc gia và các hãng dược

Acocarb Mexico
Celdaz Ấn Độ, Peru
Dabaz Ấn Độ, Brazil
Dacarba Ấn Độ
Dacarbazin Áo, Ba Lan, Hungary, Malaysia
Dacarbazina Argentina, Brazil, Chile, Colombia, Ecuador, Mexico, Peru, Tây Ban Nha, Ý
Dacarbazine Ấn Độ, Anh, Bỉ, Canada, Hoa Kỳ, Iran, Ireland, new zealand, Thụy Điển, Úc, Đan Mạch
Dacarex Ấn Độ
Dacarin Ấn Độ
Dacarpalm Peru
Dacarzine Ấn Độ
Dacin Slovenia, Thụy Sỹ
Dacmed Ấn Độ
Daracina Colombia
Deticene Ả Rập Saudi, Bồ Đào Nha, Hà Lan, Hy Lạp, Pháp
Detimedac Colombia, Romania, Tunisia, Đức
DTIC Áo, Hoa Kỳ, new zealand
Fauldetic Bồ Đào Nha
Oncocarbil Argentina, Ecuador, Peru
Tiferomed Mexico
Khả năng tương thích   Dạng tiêm   Khả năng tương thích : Dacarbazine              
Màn hình này cho biết khả năng tương thích hoặc không tương thích, trong trường hợp này là loại không tương thích (kết tủa, thay đổi màu sắc, sửa đổi nhũ tương, v.v.). Sự tương hợp được chỉ ra ở đây chủ yếu chỉ là vật lý, với độ ổn định hóa học của mỗi phân tử hiếm khi được đánh giá. Việc đánh giá các hỗn hợp này được nghiên cứu để xem xét khả năng sử dụng vị trí Y cho bệnh nhân. Những dữ liệu này không thể được sử dụng để tạo hỗn hợp trước trong túi hoặc ống tiêm. Loại thông tin này có sẵn trong màn hình "Độ ổn định trong hỗn hợp».
Phân tử Dung môi Mục lục
Lượng mưa sau 1 giờ Không tương thích
Dạng tiêm Dacarbazine 4 mg/ml
Dạng tiêm Allopurinol sodium 3 mg/ml
NaCl 0,9% 307
Tương thích
Dạng tiêm Dacarbazine 4 mg/ml
Dạng tiêm Amifostine 10 mg/ml
Glucose 5% 3
Tương thích
Dạng tiêm Dacarbazine 4 mg/ml
Dạng tiêm Aztreonam 40 mg/ml
Glucose 5% 99
Tương thích
Dạng tiêm Dacarbazine 4 mg/ml
Dạng tiêm Doxorubicin hydrochloride liposome peg 0.4 mg/ml
Glucose 5% 251
Tương thích
Dạng tiêm Dacarbazine 4 mg/ml
Dạng tiêm Etoposide phosphate 5 mg/ml
Glucose 5% 1410
Tương thích
Dạng tiêm Dacarbazine 4 mg/ml
Dạng tiêm Filgrastim 30 µg/ml
Glucose 5% 244
Tương thích
Dạng tiêm Dacarbazine 4 mg/ml
Dạng tiêm Fludarabine phosphate 1 mg/ml
Glucose 5% 492
Tương thích
Dạng tiêm Dacarbazine 1.7 mg/ml
Dạng tiêm Granisetron hydrochloride 1 mg/ml
NaCl 0,9% 57
Không tương thích không xác định Không tương thích
Dạng tiêm Dacarbazine
Dạng tiêm Heparin sodium
3540
Lượng mưa ngay lập tức Không tương thích
Dạng tiêm Dacarbazine 25 mg/ml
Dạng tiêm Heparin sodium 100 UI/ml
NaCl 0,9% 860
Tương thích
Dạng tiêm Dacarbazine 4 mg/ml
Dạng tiêm Melphalan 0.1 mg/ml
NaCl 0,9% 169
Tương thích
Dạng tiêm Dacarbazine 3 mg/ml
Dạng tiêm Ondansetron hydrochloride 0,03 mg/ml
Glucose 5% 184
Tương thích
Dạng tiêm Dacarbazine
Glucose 5% 3605
Không tương thích không xác định Không tương thích
Dạng tiêm Dacarbazine
Dạng tiêm Heparin sodium
3267
Không tương thích không xác định Không tương thích
Dạng tiêm Dacarbazine
Dạng tiêm Heparin sodium
3605
Không tương thích không xác định Không tương thích
Dạng tiêm Dacarbazine
Dạng tiêm Hydrocortisone sodium succinate
3267
Không tương thích không xác định Không tương thích
Dạng tiêm Dacarbazine
Dạng tiêm Hydrocortisone sodium succinate
3605
Tương thích
Dạng tiêm Dacarbazine 1 mg/ml
Dạng tiêm Ondansetron hydrochloride 0,03 mg/ml
Glucose 5% 184
Tương thích
Dạng tiêm Dacarbazine 3 mg/ml
Dạng tiêm Ondansetron hydrochloride 0,3 mg/ml
Glucose 5% 184
Tương thích
Dạng tiêm Dacarbazine 1 mg/ml
Dạng tiêm Ondansetron hydrochloride 0,3 mg/ml
Glucose 5% 184
Lượng mưa ngay lập tức Không tương thích
Dạng tiêm Dacarbazine 4 mg/ml
Dạng tiêm Piperacillin sodium / tazobactam 40/5 mg/ml
Glucose 5% 81
Tương thích
Dạng tiêm Dacarbazine
NaCl 0,9% 3605
Tương thích
Dạng tiêm Dacarbazine 4 mg/ml
Dạng tiêm Ondansetron hydrochloride 1 mg/ml
NaCl 0,9% 334
Tương thích
Dạng tiêm Dacarbazine 4 mg/ml
Dạng tiêm Paclitaxel 1.2 mg/ml
Glucose 5% 248
Tương thích
Dạng tiêm Dacarbazine 4 mg/ml
Dạng tiêm Palonosetron hydrochloride 50 µg/ml
Glucose 5% 2107
Tương thích
Dạng tiêm Dacarbazine 4 mg/ml
Dạng tiêm Sargramostim 10 µg/ml
NaCl 0,9% 335
Không tương thích không xác định Không tương thích
Dạng tiêm Dacarbazine
Dạng tiêm Sodium bicarbonate
3605
Không tương thích không xác định Không tương thích
Dạng tiêm Dacarbazine
Dạng tiêm Sodium bicarbonate
3267
Tương thích
Dạng tiêm Dacarbazine 4 mg/ml
Dạng tiêm Teniposide 0.1 mg/ml
Glucose 5% 905
Tương thích
Dạng tiêm Dacarbazine 4 mg/ml
Dạng tiêm Thiotepa 1 mg/ml
Glucose 5% 249
Tương thích
Dạng tiêm Dacarbazine 4 mg/ml
Dạng tiêm Vinorelbine tartrate 1 mg/ml
NaCl 0,9% 84
Không tương thích không xác định Không tương thích
Dạng tiêm Dacarbazine
NaHCO3 3605

  Mentions Légales