Останнє оновлення :
18/03/2026
Протипухлинний препарат   Dacarbazine  
ін'єкція
Стійкість в розчинах Стійкість сумішей Фактори, що впливають на стабільність Сумісність Шлях введення Список літератури pdf
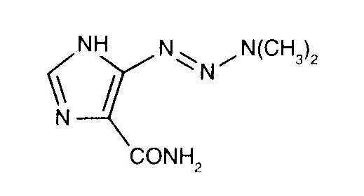
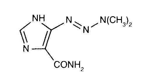
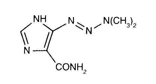
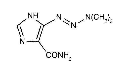
   Хімічна структура  

Торгова назва   Торгова назва     

Торгові назви є орієнтовними, а склад допоміжних речовин може бути різним залежно від країни та виробника

Acocarb Мексика
Celdaz Індія, Перу
Dabaz Індія, Бразилія
Dacarba Індія
Dacarbazin Австрія, Малайзія, Польща, Угорщина
Dacarbazina Іспанія, Італія, Аргентина, Бразилія, Еквадор, Колумбія, Мексика, Перу, Чилі
Dacarbazine Індія, Іран, Ірландія, Австралія, Бельгія, Великобританія, Данія, Канада, Нова Зеландія, Сполучені Штати Америки, Швеція
Dacarex Індія
Dacarin Індія
Dacarpalm Перу
Dacarzine Індія
Dacin Словенія, Швейцарія
Dacmed Індія
Daracina Колумбія
Deticene Греція, Нідерланди, Португалія, Саудівська Аравія, Франція
Detimedac Колумбія, Німеччина, Румунія, Туніс
DTIC Австрія, Нова Зеландія, Сполучені Штати Америки
Fauldetic Португалія
Oncocarbil Аргентина, Еквадор, Перу
Tiferomed Мексика
Сумісність   ін'єкція   Сумісність : Dacarbazine              
explication_incompatibilite_molecules
З'єднання Розчинник Список літератури
Опади через 1 год Несумісні
ін'єкція Dacarbazine 4 mg/ml
ін'єкція Allopurinol sodium 3 mg/ml
Натрію хлорид 0,9% 307
сумісний
ін'єкція Dacarbazine 4 mg/ml
ін'єкція Amifostine 10 mg/ml
Глюкоза 5% 3
сумісний
ін'єкція Dacarbazine 4 mg/ml
ін'єкція Aztreonam 40 mg/ml
Глюкоза 5% 99
сумісний
ін'єкція Dacarbazine 4 mg/ml
ін'єкція Doxorubicin hydrochloride liposome peg 0.4 mg/ml
Глюкоза 5% 251
сумісний
ін'єкція Dacarbazine 4 mg/ml
ін'єкція Etoposide phosphate 5 mg/ml
Глюкоза 5% 1410
сумісний
ін'єкція Dacarbazine 4 mg/ml
ін'єкція Filgrastim 30 µg/ml
Глюкоза 5% 244
сумісний
ін'єкція Dacarbazine 4 mg/ml
ін'єкція Fludarabine phosphate 1 mg/ml
Глюкоза 5% 492
сумісний
ін'єкція Dacarbazine 1.7 mg/ml
ін'єкція Granisetron hydrochloride 1 mg/ml
Натрію хлорид 0,9% 57
Неуточнена несумісність Несумісні
ін'єкція Dacarbazine
ін'єкція Heparin sodium
3540
Миттєві опади Несумісні
ін'єкція Dacarbazine 25 mg/ml
ін'єкція Heparin sodium 100 UI/ml
Натрію хлорид 0,9% 860
сумісний
ін'єкція Dacarbazine 4 mg/ml
ін'єкція Melphalan 0.1 mg/ml
Натрію хлорид 0,9% 169
сумісний
ін'єкція Dacarbazine 3 mg/ml
ін'єкція Ondansetron hydrochloride 0,03 mg/ml
Глюкоза 5% 184
сумісний
ін'єкція Dacarbazine
Глюкоза 5% 3605
Неуточнена несумісність Несумісні
ін'єкція Dacarbazine
ін'єкція Heparin sodium
3267
Неуточнена несумісність Несумісні
ін'єкція Dacarbazine
ін'єкція Heparin sodium
3605
Неуточнена несумісність Несумісні
ін'єкція Dacarbazine
ін'єкція Hydrocortisone sodium succinate
3267
Неуточнена несумісність Несумісні
ін'єкція Dacarbazine
ін'єкція Hydrocortisone sodium succinate
3605
сумісний
ін'єкція Dacarbazine 1 mg/ml
ін'єкція Ondansetron hydrochloride 0,03 mg/ml
Глюкоза 5% 184
сумісний
ін'єкція Dacarbazine 3 mg/ml
ін'єкція Ondansetron hydrochloride 0,3 mg/ml
Глюкоза 5% 184
сумісний
ін'єкція Dacarbazine 1 mg/ml
ін'єкція Ondansetron hydrochloride 0,3 mg/ml
Глюкоза 5% 184
Миттєві опади Несумісні
ін'єкція Dacarbazine 4 mg/ml
ін'єкція Piperacillin sodium / tazobactam 40/5 mg/ml
Глюкоза 5% 81
сумісний
ін'єкція Dacarbazine
Натрію хлорид 0,9% 3605
сумісний
ін'єкція Dacarbazine 4 mg/ml
ін'єкція Ondansetron hydrochloride 1 mg/ml
Натрію хлорид 0,9% 334
сумісний
ін'єкція Dacarbazine 4 mg/ml
ін'єкція Paclitaxel 1.2 mg/ml
Глюкоза 5% 248
сумісний
ін'єкція Dacarbazine 4 mg/ml
ін'єкція Palonosetron hydrochloride 50 µg/ml
Глюкоза 5% 2107
сумісний
ін'єкція Dacarbazine 4 mg/ml
ін'єкція Sargramostim 10 µg/ml
Натрію хлорид 0,9% 335
Неуточнена несумісність Несумісні
ін'єкція Dacarbazine
ін'єкція Sodium bicarbonate
3605
Неуточнена несумісність Несумісні
ін'єкція Dacarbazine
ін'єкція Sodium bicarbonate
3267
сумісний
ін'єкція Dacarbazine 4 mg/ml
ін'єкція Teniposide 0.1 mg/ml
Глюкоза 5% 905
сумісний
ін'єкція Dacarbazine 4 mg/ml
ін'єкція Thiotepa 1 mg/ml
Глюкоза 5% 249
сумісний
ін'єкція Dacarbazine 4 mg/ml
ін'єкція Vinorelbine tartrate 1 mg/ml
Натрію хлорид 0,9% 84
Неуточнена несумісність Несумісні
ін'єкція Dacarbazine
NaHCO3 3605

  Mentions Légales