Zadnji put ažurirano :
18/03/2026
lijek protiv karcinoma   Dacarbazine  
injekcija
Stabilizacija rješenja Stabilnost mješavine Stabilizacijski faktor Kompatibilnosti način davanja lijeka Bibliografija pdf
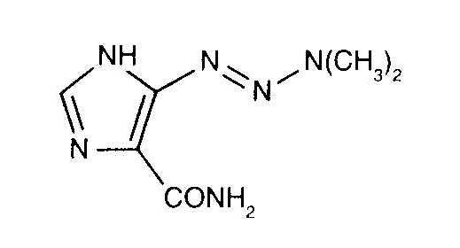
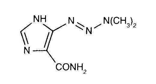
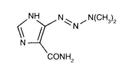
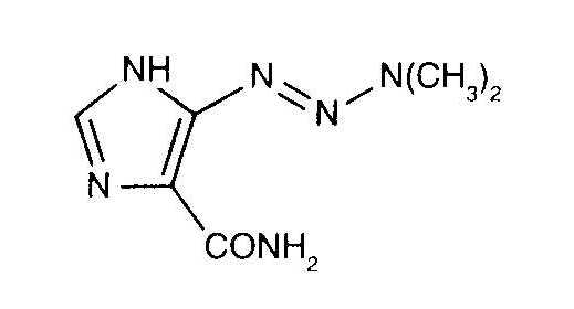
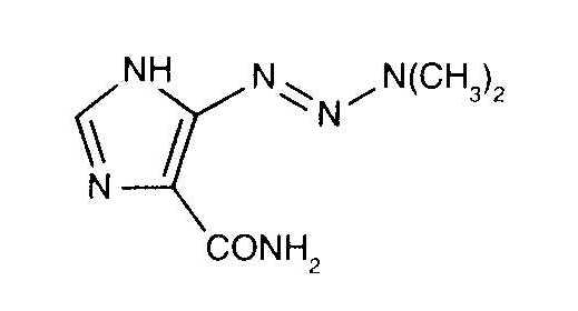
   Kemijska struktura  

Nekomercijalni   Nekomercijalni     

Zaštićeni nazivi su indikativni i sastav ekscipijensa može biti različit ovisno o državi i laboratorijima

Acocarb Meksiko
Celdaz Indija, Peru
Dabaz Indija, Brazil
Dacarba Indija
Dacarbazin Austrija, Madžarska, Malezija, Poljska
Dacarbazina Argentina, Brazil, Čile, Ekvador, Italija, Kolumbija, Meksiko, Peru, Španjolska
Dacarbazine Indija, Australija, Belgija, Danska, Iran, Irska, Kanada, novi Zeland, S A D, Švedska, Velika Britanija
Dacarex Indija
Dacarin Indija
Dacarpalm Peru
Dacarzine Indija
Dacin Slovenija, Švicarska
Dacmed Indija
Daracina Kolumbija
Deticene Francuska, Grčka, Nizozemska, Portugal, Saudijska Arabija
Detimedac Kolumbija, Njemačka, Rumunjska, Tunis
DTIC Austrija, novi Zeland, S A D
Fauldetic Portugal
Oncocarbil Argentina, Ekvador, Peru
Tiferomed Meksiko
Kompatibilnosti   injekcija   Kompatibilnosti : Dacarbazine              
Ovdje su prikazane kompatibilnosti ili nekompatibilnosti s tipom nekompatibilnosti (taloženje, promjena boje, modifikacija emulzije itd.) u ovom slučaju. Kompatibilnosti prikazane ovdje najčešće su fizikalne dok se kemijska stabilnost molekule rijetko procjenjuje. Procjena ovih mikstura je proučavana kako bi se razmotrila mogućnost primjene lijeka putem Y-mjesta. Ovi se podaci ne smiju koristiti za pripremu mikstura unaprijed u vrećicama ili štrcaljkama. Ova vrsta informacije se može pronaći u odjeljku « stabilnost u miksturama ».
molekula sredstvo za rastapanje Bibliografija
Padavine nakon 1 sata inkompatibilan
injekcija Dacarbazine 4 mg/ml
injekcija Allopurinol sodium 3 mg/ml
natrijumkorid 0,9% 307
Kompatibilan
injekcija Dacarbazine 4 mg/ml
injekcija Amifostine 10 mg/ml
glukoza 5% 3
Kompatibilan
injekcija Dacarbazine 4 mg/ml
injekcija Aztreonam 40 mg/ml
glukoza 5% 99
Kompatibilan
injekcija Dacarbazine 4 mg/ml
injekcija Doxorubicin hydrochloride liposome peg 0.4 mg/ml
glukoza 5% 251
Kompatibilan
injekcija Dacarbazine 4 mg/ml
injekcija Etoposide phosphate 5 mg/ml
glukoza 5% 1410
Kompatibilan
injekcija Dacarbazine 4 mg/ml
injekcija Filgrastim 30 µg/ml
glukoza 5% 244
Kompatibilan
injekcija Dacarbazine 4 mg/ml
injekcija Fludarabine phosphate 1 mg/ml
glukoza 5% 492
Kompatibilan
injekcija Dacarbazine 1.7 mg/ml
injekcija Granisetron hydrochloride 1 mg/ml
natrijumkorid 0,9% 57
Neodređena nespojivost inkompatibilan
injekcija Dacarbazine
injekcija Heparin sodium
3540
Neposredne oborine inkompatibilan
injekcija Dacarbazine 25 mg/ml
injekcija Heparin sodium 100 UI/ml
natrijumkorid 0,9% 860
Kompatibilan
injekcija Dacarbazine 4 mg/ml
injekcija Melphalan 0.1 mg/ml
natrijumkorid 0,9% 169
Kompatibilan
injekcija Dacarbazine 3 mg/ml
injekcija Ondansetron hydrochloride 0,03 mg/ml
glukoza 5% 184
Kompatibilan
injekcija Dacarbazine
glukoza 5% 3605
Neodređena nespojivost inkompatibilan
injekcija Dacarbazine
injekcija Heparin sodium
3267
Neodređena nespojivost inkompatibilan
injekcija Dacarbazine
injekcija Heparin sodium
3605
Neodređena nespojivost inkompatibilan
injekcija Dacarbazine
injekcija Hydrocortisone sodium succinate
3267
Neodređena nespojivost inkompatibilan
injekcija Dacarbazine
injekcija Hydrocortisone sodium succinate
3605
Kompatibilan
injekcija Dacarbazine 1 mg/ml
injekcija Ondansetron hydrochloride 0,03 mg/ml
glukoza 5% 184
Kompatibilan
injekcija Dacarbazine 3 mg/ml
injekcija Ondansetron hydrochloride 0,3 mg/ml
glukoza 5% 184
Kompatibilan
injekcija Dacarbazine 1 mg/ml
injekcija Ondansetron hydrochloride 0,3 mg/ml
glukoza 5% 184
Neposredne oborine inkompatibilan
injekcija Dacarbazine 4 mg/ml
injekcija Piperacillin sodium / tazobactam 40/5 mg/ml
glukoza 5% 81
Kompatibilan
injekcija Dacarbazine
natrijumkorid 0,9% 3605
Kompatibilan
injekcija Dacarbazine 4 mg/ml
injekcija Ondansetron hydrochloride 1 mg/ml
natrijumkorid 0,9% 334
Kompatibilan
injekcija Dacarbazine 4 mg/ml
injekcija Paclitaxel 1.2 mg/ml
glukoza 5% 248
Kompatibilan
injekcija Dacarbazine 4 mg/ml
injekcija Palonosetron hydrochloride 50 µg/ml
glukoza 5% 2107
Kompatibilan
injekcija Dacarbazine 4 mg/ml
injekcija Sargramostim 10 µg/ml
natrijumkorid 0,9% 335
Neodređena nespojivost inkompatibilan
injekcija Dacarbazine
injekcija Sodium bicarbonate
3605
Neodređena nespojivost inkompatibilan
injekcija Dacarbazine
injekcija Sodium bicarbonate
3267
Kompatibilan
injekcija Dacarbazine 4 mg/ml
injekcija Teniposide 0.1 mg/ml
glukoza 5% 905
Kompatibilan
injekcija Dacarbazine 4 mg/ml
injekcija Thiotepa 1 mg/ml
glukoza 5% 249
Kompatibilan
injekcija Dacarbazine 4 mg/ml
injekcija Vinorelbine tartrate 1 mg/ml
natrijumkorid 0,9% 84
Neodređena nespojivost inkompatibilan
injekcija Dacarbazine
NaHCO3 3605

  Mentions Légales