آخر تحديث :
18/03/2026
المضادة للسرطان المخدرات   Dacarbazine  
حقن
الاستقرار في حلول استقرار مخاليط العوامل التي تؤثر على الاستقرار التوافق طريقة التعاطي مراجع pdf
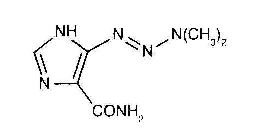
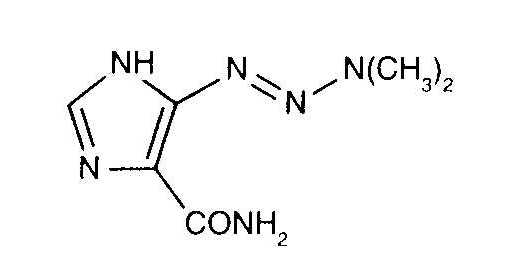
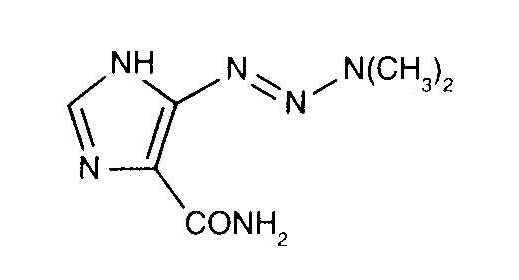
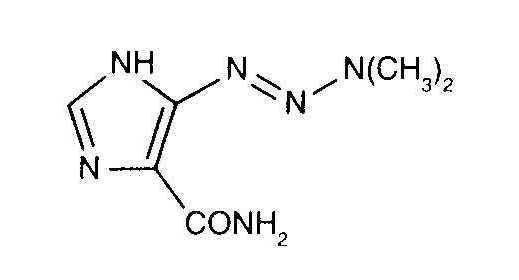
   التركيب الكيميائي  

حجز الاسم التجاري   حجز الاسم التجاري     

تحذير الأسماء التجاريه المختلفه قد تحتوي علي محتوي إضافات مختلفة حسب الدوله و المعمل

Acocarb المكسيك
Celdaz الهند, بيرو
Dabaz البرازيل, الهند
Dacarba الهند
Dacarbazin النمسا, بولندا, ماليزيا, هنغاريا
Dacarbazina إسبانيا, إيطاليا, الأرجنتين, الإكوادور, البرازيل, المكسيك, بيرو, تشيلي, كولومبيا
Dacarbazine أستراليا, إيران, الدنمارك, السويد, الهند, الولايات المتحدة, ايرلندا, بريطانيا العظمي, بلجيكا, زيلاندا الجديدة, كندا
Dacarex الهند
Dacarin الهند
Dacarpalm بيرو
Dacarzine الهند
Dacin سلوفينيا, سويسرا
Dacmed الهند
Daracina كولومبيا
Deticene البرتغال, العربية السعودية, فرنسا, هولندا, يونان
Detimedac ألمانيا, تونس, رومانيا, كولومبيا
DTIC النمسا, الولايات المتحدة, زيلاندا الجديدة
Fauldetic البرتغال
Oncocarbil الأرجنتين, الإكوادور, بيرو
Tiferomed المكسيك
التوافق   حقن   التوافق : Dacarbazine              
This screen indicates the compatibilities or incompatibilities with, in this case, the type of incompatibility (precipitation, color change, modification of an emulsion, etc.). The compatibilities shown here are mostly physical only, with the chemical stability of each molecule rarely being assessed. The evaluation of these mixtures was studied to consider the possibility of Y-site administration to the patient. These data cannot be used for making mixtures in advance in bags or syringes. This type of information is available in the screen "Stability in mixture ».
مركب مذيب مراجع
هطول الأمطار بعد 1 ساعة غير متوافق
حقن Dacarbazine 4 mg/ml
حقن Allopurinol sodium 3 mg/ml
كلوريد الصوديوم 0.9% 307
kompatibel
حقن Dacarbazine 4 mg/ml
حقن Amifostine 10 mg/ml
الجلوكوز %5 3
kompatibel
حقن Dacarbazine 4 mg/ml
حقن Aztreonam 40 mg/ml
الجلوكوز %5 99
kompatibel
حقن Dacarbazine 4 mg/ml
حقن Doxorubicin hydrochloride liposome peg 0.4 mg/ml
الجلوكوز %5 251
kompatibel
حقن Dacarbazine 4 mg/ml
حقن Etoposide phosphate 5 mg/ml
الجلوكوز %5 1410
kompatibel
حقن Dacarbazine 4 mg/ml
حقن Filgrastim 30 µg/ml
الجلوكوز %5 244
kompatibel
حقن Dacarbazine 4 mg/ml
حقن Fludarabine phosphate 1 mg/ml
الجلوكوز %5 492
kompatibel
حقن Dacarbazine 1.7 mg/ml
حقن Granisetron hydrochloride 1 mg/ml
كلوريد الصوديوم 0.9% 57
عدم توافق غير محدد غير متوافق
حقن Dacarbazine
حقن Heparin sodium
3540
هطول فوري غير متوافق
حقن Dacarbazine 25 mg/ml
حقن Heparin sodium 100 UI/ml
كلوريد الصوديوم 0.9% 860
kompatibel
حقن Dacarbazine 4 mg/ml
حقن Melphalan 0.1 mg/ml
كلوريد الصوديوم 0.9% 169
kompatibel
حقن Dacarbazine 3 mg/ml
حقن Ondansetron hydrochloride 0,03 mg/ml
الجلوكوز %5 184
kompatibel
حقن Dacarbazine
الجلوكوز %5 3605
عدم توافق غير محدد غير متوافق
حقن Dacarbazine
حقن Heparin sodium
3267
عدم توافق غير محدد غير متوافق
حقن Dacarbazine
حقن Heparin sodium
3605
عدم توافق غير محدد غير متوافق
حقن Dacarbazine
حقن Hydrocortisone sodium succinate
3267
عدم توافق غير محدد غير متوافق
حقن Dacarbazine
حقن Hydrocortisone sodium succinate
3605
kompatibel
حقن Dacarbazine 1 mg/ml
حقن Ondansetron hydrochloride 0,03 mg/ml
الجلوكوز %5 184
kompatibel
حقن Dacarbazine 3 mg/ml
حقن Ondansetron hydrochloride 0,3 mg/ml
الجلوكوز %5 184
kompatibel
حقن Dacarbazine 1 mg/ml
حقن Ondansetron hydrochloride 0,3 mg/ml
الجلوكوز %5 184
هطول فوري غير متوافق
حقن Dacarbazine 4 mg/ml
حقن Piperacillin sodium / tazobactam 40/5 mg/ml
الجلوكوز %5 81
kompatibel
حقن Dacarbazine
كلوريد الصوديوم 0.9% 3605
kompatibel
حقن Dacarbazine 4 mg/ml
حقن Ondansetron hydrochloride 1 mg/ml
كلوريد الصوديوم 0.9% 334
kompatibel
حقن Dacarbazine 4 mg/ml
حقن Paclitaxel 1.2 mg/ml
الجلوكوز %5 248
kompatibel
حقن Dacarbazine 4 mg/ml
حقن Palonosetron hydrochloride 50 µg/ml
الجلوكوز %5 2107
kompatibel
حقن Dacarbazine 4 mg/ml
حقن Sargramostim 10 µg/ml
كلوريد الصوديوم 0.9% 335
عدم توافق غير محدد غير متوافق
حقن Dacarbazine
حقن Sodium bicarbonate
3605
عدم توافق غير محدد غير متوافق
حقن Dacarbazine
حقن Sodium bicarbonate
3267
kompatibel
حقن Dacarbazine 4 mg/ml
حقن Teniposide 0.1 mg/ml
الجلوكوز %5 905
kompatibel
حقن Dacarbazine 4 mg/ml
حقن Thiotepa 1 mg/ml
الجلوكوز %5 249
kompatibel
حقن Dacarbazine 4 mg/ml
حقن Vinorelbine tartrate 1 mg/ml
كلوريد الصوديوم 0.9% 84
عدم توافق غير محدد غير متوافق
حقن Dacarbazine
NaHCO3 3605

  Mentions Légales