Última actualización :
27/11/2025
fármacos contra el cáncer   Dacarbazine  
Inyectables
Estabilidad en solucion Estabilidad en mezcla Factores que influyen sobre la estabilidad Compatibilidades método de inyección Bibliografía pdf
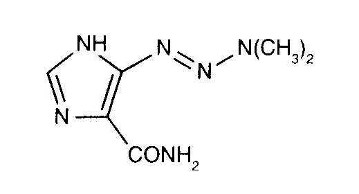
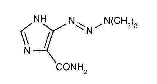
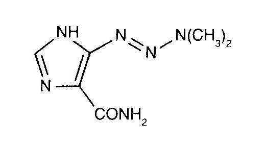
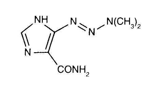
   Estructura química  

Nombre comercial   Nombre comercial     

Los nombres comerciales son orientativos y los excipientes de la formulación pueden ser distintos dependiendo del país y del laboratorio fabricante.

Acocarb México
Celdaz India, Marruecos
Dabaz Brasil, India
Dacarba India
Dacarbazin Austria, Hungría, Malasia, Polonia
Dacarbazina Argentina, Brasil, Chile, Colombia, Ecuador, España, Italia, Marruecos, México
Dacarbazine Australia, Bélgica, Canadá, Dinamarca, Estados Unidos de América, Gran Bretaña, India, Irán, Irlanda, Nueva Zelanda, Suecia
Dacarex India
Dacarin India
Dacarpalm Marruecos
Dacarzine India
Dacin Eslovenia, Suiza
Dacmed India
Daracina Colombia
Deticene Arabia Saudita, Francia, Grecia, Países Bajos, Portugal
Detimedac Alemania, Colombia, Rumania, Túnez
DTIC Austria, Estados Unidos de América, Nueva Zelanda
Fauldetic Portugal
Oncocarbil Argentina, Ecuador, Marruecos
Tiferomed México
Compatibilidades   Inyectables   Compatibilidades : Dacarbazine              
Esta pantalla muestra las compatibilidades o incompatibilidades, así como el tipo de incompatibilidad (precipitación, cambio de color, modificación de una emulsión, etc). Las compatibilidades que se recogen aquí son fundamentalmente físicas, mostrando raramente la estabilidad química de la molécula. La evaluación de estas mezclas se estudió con el fin de de comprobar la posibilidad de administración en Y al paciente. Estos datos no pueden utilizarse en el caso de la preparación de mezclas dentro de bolsas o jeringas. Este tipo de información está disponible en la pantalla “Estabilidad en mezcla”.
Molécula Solvente Bibliografía
Precipitación después de 1 hora Incompatible
Inyectables Dacarbazine 4 mg/ml
Inyectables Allopurinol sodium 3 mg/ml
Cloruro de sodio 0,9% 307
Compatible
Inyectables Dacarbazine 4 mg/ml
Inyectables Amifostine 10 mg/ml
Glucosa 5% 3
Compatible
Inyectables Dacarbazine 4 mg/ml
Inyectables Aztreonam 40 mg/ml
Glucosa 5% 99
Compatible
Inyectables Dacarbazine 4 mg/ml
Inyectables Doxorubicin hydrochloride liposome peg 0.4 mg/ml
Glucosa 5% 251
Compatible
Inyectables Dacarbazine 4 mg/ml
Inyectables Etoposide phosphate 5 mg/ml
Glucosa 5% 1410
Compatible
Inyectables Dacarbazine 4 mg/ml
Inyectables Filgrastim 30 µg/ml
Glucosa 5% 244
Compatible
Inyectables Dacarbazine 4 mg/ml
Inyectables Fludarabine phosphate 1 mg/ml
Glucosa 5% 492
Compatible
Inyectables Dacarbazine 1.7 mg/ml
Inyectables Granisetron hydrochloride 1 mg/ml
Cloruro de sodio 0,9% 57
Incompatibilidad no especificada Incompatible
Inyectables Dacarbazine
Inyectables Heparin sodium
3540
Precipitación inmediata Incompatible
Inyectables Dacarbazine 25 mg/ml
Inyectables Heparin sodium 100 UI/ml
Cloruro de sodio 0,9% 860
Compatible
Inyectables Dacarbazine 4 mg/ml
Inyectables Melphalan 0.1 mg/ml
Cloruro de sodio 0,9% 169
Compatible
Inyectables Dacarbazine 3 mg/ml
Inyectables Ondansetron hydrochloride 0,03 mg/ml
Glucosa 5% 184
Compatible
Inyectables Dacarbazine
Glucosa 5% 3605
Incompatibilidad no especificada Incompatible
Inyectables Dacarbazine
Inyectables Heparin sodium
3267
Incompatibilidad no especificada Incompatible
Inyectables Dacarbazine
Inyectables Heparin sodium
3605
Incompatibilidad no especificada Incompatible
Inyectables Dacarbazine
Inyectables Hydrocortisone sodium succinate
3267
Incompatibilidad no especificada Incompatible
Inyectables Dacarbazine
Inyectables Hydrocortisone sodium succinate
3605
Compatible
Inyectables Dacarbazine 1 mg/ml
Inyectables Ondansetron hydrochloride 0,03 mg/ml
Glucosa 5% 184
Compatible
Inyectables Dacarbazine 3 mg/ml
Inyectables Ondansetron hydrochloride 0,3 mg/ml
Glucosa 5% 184
Compatible
Inyectables Dacarbazine 1 mg/ml
Inyectables Ondansetron hydrochloride 0,3 mg/ml
Glucosa 5% 184
Precipitación inmediata Incompatible
Inyectables Dacarbazine 4 mg/ml
Inyectables Piperacillin sodium / tazobactam 40/5 mg/ml
Glucosa 5% 81
Compatible
Inyectables Dacarbazine
Cloruro de sodio 0,9% 3605
Compatible
Inyectables Dacarbazine 4 mg/ml
Inyectables Ondansetron hydrochloride 1 mg/ml
Cloruro de sodio 0,9% 334
Compatible
Inyectables Dacarbazine 4 mg/ml
Inyectables Paclitaxel 1.2 mg/ml
Glucosa 5% 248
Compatible
Inyectables Dacarbazine 4 mg/ml
Inyectables Palonosetron hydrochloride 50 µg/ml
Glucosa 5% 2107
Compatible
Inyectables Dacarbazine 4 mg/ml
Inyectables Sargramostim 10 µg/ml
Cloruro de sodio 0,9% 335
Incompatibilidad no especificada Incompatible
Inyectables Dacarbazine
Inyectables Sodium bicarbonate
3605
Incompatibilidad no especificada Incompatible
Inyectables Dacarbazine
Inyectables Sodium bicarbonate
3267
Compatible
Inyectables Dacarbazine 4 mg/ml
Inyectables Teniposide 0.1 mg/ml
Glucosa 5% 905
Compatible
Inyectables Dacarbazine 4 mg/ml
Inyectables Thiotepa 1 mg/ml
Glucosa 5% 249
Compatible
Inyectables Dacarbazine 4 mg/ml
Inyectables Vinorelbine tartrate 1 mg/ml
Cloruro de sodio 0,9% 84
Incompatibilidad no especificada Incompatible
Inyectables Dacarbazine
NaHCO3 3605

  Mentions Légales