Última actualização :
18/03/2026
droga contra o câncer   Dacarbazine  
injetável
Estabilidade em soluções simples Estabilidade em misturas Factores que afectam a sua estabilidade Compatibilidade Método de administração Bibliografía pdf
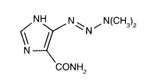
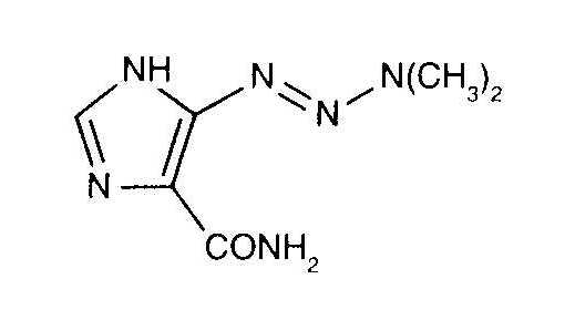
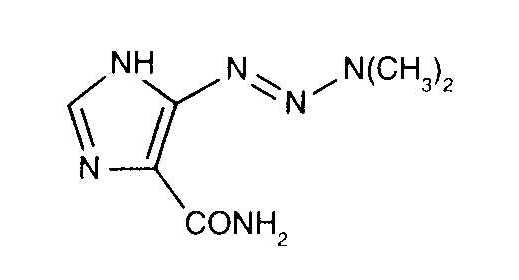
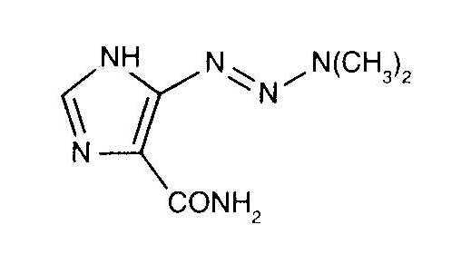
   estrutura química  

Nomes comerciais nos diversos países   Nomes comerciais nos diversos países     

OS NOMES COMERCIAIS SÃO INDICATIVOS E OS EXCIPIENTES DA FORMULAÇÃO PODEM SER DIFERENTES CONFORME O PAÍS E FABRICANTE.

Acocarb México
Celdaz Índia, Peru
Dabaz Brasil, Índia
Dacarba Índia
Dacarbazin Austria, Hungria, Malásia, Polonia
Dacarbazina Argentina, Brasil, Chilli, Colômbia, Equator, Espanha, Itália, México, Peru
Dacarbazine Australia, Bélgica, Canadá, Dinamarca, Estados Unidos de América, Gran-bretanha, Índia, Irã, Irlanda, nova Zelândia, Suècia
Dacarex Índia
Dacarin Índia
Dacarpalm Peru
Dacarzine Índia
Dacin Eslovenia, Suicia
Dacmed Índia
Daracina Colômbia
Deticene Arábia Saudita, França, Grècia, Países Baixos, Portugal
Detimedac Alemanha, Colômbia, Romènia, Tunísia
DTIC Austria, Estados Unidos de América, nova Zelândia
Fauldetic Portugal
Oncocarbil Argentina, Equator, Peru
Tiferomed México
Compatibilidade   injetável   Compatibilidade : Dacarbazine              
Este ecrã indica as compatibilidades ou incompatibilidades com, neste caso, o tipo de incompatibilidade (precipitação, mudança de cor, modificação de uma emulsão, etc.). As compatibilidades mostradas aqui são principalmente físicas, com a estabilidade química de cada molécula raramente sendo avaliada. A avaliação dessas misturas foi estudada para considerar a possibilidade de administração do local Y ao paciente. Estes dados não podem ser usados para fazer misturas antecipadamente em sacos ou seringas. Este tipo de informação está disponível na tela “Estabilidade na mistura».
molécula Solvente Bibliografia
Precipitação após 1 hora Incompatível
injetável Dacarbazine 4 mg/ml
injetável Allopurinol sodium 3 mg/ml
cloreto de sódio 0,9% 307
Compatível
injetável Dacarbazine 4 mg/ml
injetável Amifostine 10 mg/ml
Glucose 5% 3
Compatível
injetável Dacarbazine 4 mg/ml
injetável Aztreonam 40 mg/ml
Glucose 5% 99
Compatível
injetável Dacarbazine 4 mg/ml
injetável Doxorubicin hydrochloride liposome peg 0.4 mg/ml
Glucose 5% 251
Compatível
injetável Dacarbazine 4 mg/ml
injetável Etoposide phosphate 5 mg/ml
Glucose 5% 1410
Compatível
injetável Dacarbazine 4 mg/ml
injetável Filgrastim 30 µg/ml
Glucose 5% 244
Compatível
injetável Dacarbazine 4 mg/ml
injetável Fludarabine phosphate 1 mg/ml
Glucose 5% 492
Compatível
injetável Dacarbazine 1.7 mg/ml
injetável Granisetron hydrochloride 1 mg/ml
cloreto de sódio 0,9% 57
Incompatibilidade não especificada Incompatível
injetável Dacarbazine
injetável Heparin sodium
3540
Precipitação imediata Incompatível
injetável Dacarbazine 25 mg/ml
injetável Heparin sodium 100 UI/ml
cloreto de sódio 0,9% 860
Compatível
injetável Dacarbazine 4 mg/ml
injetável Melphalan 0.1 mg/ml
cloreto de sódio 0,9% 169
Compatível
injetável Dacarbazine 3 mg/ml
injetável Ondansetron hydrochloride 0,03 mg/ml
Glucose 5% 184
Compatível
injetável Dacarbazine
Glucose 5% 3605
Incompatibilidade não especificada Incompatível
injetável Dacarbazine
injetável Heparin sodium
3267
Incompatibilidade não especificada Incompatível
injetável Dacarbazine
injetável Heparin sodium
3605
Incompatibilidade não especificada Incompatível
injetável Dacarbazine
injetável Hydrocortisone sodium succinate
3267
Incompatibilidade não especificada Incompatível
injetável Dacarbazine
injetável Hydrocortisone sodium succinate
3605
Compatível
injetável Dacarbazine 1 mg/ml
injetável Ondansetron hydrochloride 0,03 mg/ml
Glucose 5% 184
Compatível
injetável Dacarbazine 3 mg/ml
injetável Ondansetron hydrochloride 0,3 mg/ml
Glucose 5% 184
Compatível
injetável Dacarbazine 1 mg/ml
injetável Ondansetron hydrochloride 0,3 mg/ml
Glucose 5% 184
Precipitação imediata Incompatível
injetável Dacarbazine 4 mg/ml
injetável Piperacillin sodium / tazobactam 40/5 mg/ml
Glucose 5% 81
Compatível
injetável Dacarbazine
cloreto de sódio 0,9% 3605
Compatível
injetável Dacarbazine 4 mg/ml
injetável Ondansetron hydrochloride 1 mg/ml
cloreto de sódio 0,9% 334
Compatível
injetável Dacarbazine 4 mg/ml
injetável Paclitaxel 1.2 mg/ml
Glucose 5% 248
Compatível
injetável Dacarbazine 4 mg/ml
injetável Palonosetron hydrochloride 50 µg/ml
Glucose 5% 2107
Compatível
injetável Dacarbazine 4 mg/ml
injetável Sargramostim 10 µg/ml
cloreto de sódio 0,9% 335
Incompatibilidade não especificada Incompatível
injetável Dacarbazine
injetável Sodium bicarbonate
3605
Incompatibilidade não especificada Incompatível
injetável Dacarbazine
injetável Sodium bicarbonate
3267
Compatível
injetável Dacarbazine 4 mg/ml
injetável Teniposide 0.1 mg/ml
Glucose 5% 905
Compatível
injetável Dacarbazine 4 mg/ml
injetável Thiotepa 1 mg/ml
Glucose 5% 249
Compatível
injetável Dacarbazine 4 mg/ml
injetável Vinorelbine tartrate 1 mg/ml
cloreto de sódio 0,9% 84
Incompatibilidade não especificada Incompatível
injetável Dacarbazine
NaHCO3 3605

  Mentions Légales